| 334 |
chapter 1 실전문제 20번 문제 질문
|
orient12** |
2021-03-10 |
| 글제목 |
chapter 1 실전문제 20번 문제 질문 |
| 작성자 |
orient12** |
등록일 |
2021-03-10 |
|
문제를 풀때 1번 답을 골라야하나 2번 답을 골라야하나 햇갈립니다. 선생님의 해설을 들었을 때, 빈칸 전 후로 첫번째 이유, 두번째 이유가 나오니 '게다가'가 나와야한다고 설명해주셨는데, 전 문장이 '다른 나라의 언어는 우리 모국어보다 더 깊은 지식을 제공한다' 이고, 후 문장이 '외국 문화에 대한 진정한 통찰력을 기르기 위해 그 나라의 언어를 배워야 한다' 라고 해석될 때, 전문장이 이유이고, 그러므로 후문장이 결론이다 식으로 봐도 자연스럽다고 느껴져서 혼동이 오는 것 같습니다. 문제를 풀다가 이런 논리적인 오류가 생길 때 어떻게 정확하게 구분해야 하나요? 또 이런 논리력을 기르려면 어떤 방식으로 공부를 해야하는지도 궁금합니다. |
|
| └ |
답변^^ |
hj_jeo** |
2021-03-12 |
| 글제목 |
답변^^ |
| 작성자 |
hj_jeo** |
등록일 |
2021-03-12 |
|
전 문장이 `다른 나라의 언어는 우리 모국어보다 더 깊은 지식을 제공한다` 라고 해석되요? 성욱학생이 far deeper이라는 비교급을 외국어와 모국어의 비교로 잘못 이해한것 같은데 지금문장 'Knowledge of English, French, Russian, Chinese or any other language provides a far deeper knowledge of our own language.' 에는 외국어와 우리의 언어를 비교하는 말이 아니에요. 해석을 다시 해보면, 외국어에 대한 지식은 우리 자신의 언어에 더 깊은 지식을(외국어의 지식이 생기기 전보다) 제공해준다 에요 의역하면 외국어를 습득하면 모국어의 지식도 전보다 깊어진다 정도로 이해할 수 있어요. 그렇다면 모국어의 지식이 깊어지는 것과 외국문화의 통찰력이 생기는것은 인과관계도 없을 뿐더러 아무런 관계도 없다고 볼 수 있죠? 그렇다면 개별적인 2가지 근거를 제시했다는 말이 이해가 됬어요?
방금의 경우처럼 논리적인 오류가 생겼다면 정확한 해석을 통한 이해가 안된 경우가 대부분이에요. 스스로 논리적인 오류가 생겼다면 다시한번 내가 내용이해를 제대로 한것인가를 생각해보세요! |
|
| 333 |
목표대학 질문
|
tkdgus** |
2021-03-09 |
| 글제목 |
목표대학 질문 |
| 작성자 |
tkdgus** |
등록일 |
2021-03-09 |
|
세종대와 경기권주요대학이 목표라고 했던 학생입니다.! (목표 대학이 너무 낮다고 하신....ㅠㅠ) 일단 답변 너무 감사합니다. 제가 수시가 바로 붙어서 수능은 안봤고 수시로 수학4 영어4..? 정도 했던거 같습니다.. 사실 제가 대학이랑 병행하고 있어 편입에 완전 몰두를 못할거같아서 목표를 그렇게 잡았고 (꾸준히 듣고는 있습니다), 수시지원때도 크게 데인적이 있어서.. 높게 잡지를 못하는거같습니다 지금부터 차근차근하면 될까요? |
|
| └ |
차근차근 |
anamso** |
2021-03-09 |
| 글제목 |
차근차근 |
| 작성자 |
anamso** |
등록일 |
2021-03-09 |
|
편입은 원하면 스무곳이상의 대학 시험을 볼 수 있습니다. 수시나 수능처럼 떨어지면 다른 곳을 못 가는 상황이 아니죠.
차근차근 준비하시면 정말 경기권대학은 충분히 가실 겁니다. 그 위에 인서울 중위권 대학이상은 단순 준비 이상으로 노력과 방향이 필요하구요.
학교를 다니시면 일단 수학 진도를 나가주세요. 편입수학은 내용이 많아서 지금 조금씩이라도 진도를 뺴야 10~11월에 마무리 하실 수 있습니다. 영어는 일단 수학하시고 여유 있으실 때 하시면 좋을 거 같습니다.
만약 세종대가 정말 목표시면 수학만 하시면 됩니다. 세종대처럼 수학만 보는 학교가 가천대가 또 있죠. 실제로 영어 준비가 힘든 친구는 세종대/가천대를 목표로 많이합니다.
결론 : 차근차근하시면 됩니다!
|
|
| 332 |
P39 유형학습4
|
minchul4** |
2021-03-08 |
| 글제목 |
P39 유형학습4 |
| 작성자 |
minchul4** |
등록일 |
2021-03-08 |
|
선생님 lim an을 묻는다는거 자체가 수렴한다고 가정했을때 lim an-1, lim an-2 그리고 lim an은 전부 같은 값 아닌가요? 왜 이 문제에서는 적용이 안되는 건가요? |
|
| └ |
답변입니다! |
anamso** |
2021-03-09 |
| 글제목 |
답변입니다! |
| 작성자 |
anamso** |
등록일 |
2021-03-09 |
|
애초에 an an-1 다 같습니다!
하지만 문제 조건자체를 통해서 답을 구할 수 가 없습니다.
같은값이라 치면 0=0 이기 때문이져.
2x-x=3x-2x 라는 방정식으로는 x를 구할 수 없는 이치죠.
따라서 귀찮지만..an을 직접 구해야합니다! |
|
| 331 |
커리큘럼 질문있습니다..
|
tkdgus** |
2021-03-07 |
| 글제목 |
커리큘럼 질문있습니다.. |
| 작성자 |
tkdgus** |
등록일 |
2021-03-07 |
|
고생많으십니다 선생님. 제 목표 대학이 세종대와 경기권 주요 대학들인데 선생님 커리큘럼만 싹다 그대로 따라가면 될까요? 다른 책들은 안살펴봐도 될까요 ㅠㅠ...
|
|
| └ |
답변입니다. |
anamso** |
2021-03-09 |
| 글제목 |
답변입니다. |
| 작성자 |
anamso** |
등록일 |
2021-03-09 |
|
목표가...너무 낮습니다.
보통 목표보다 바로 아래 현실을 이룬다죠. (저도 서울대 물리학과 꿈이었으나 다행히 고대갔네요.)
아무튼 지금 현재 어떤 상태인지가 어떤인지 중요합니다 세종대를 목표로 하셨다면 수학만 보면 되는데.
수학 기본베이스가 된다면 세종대는 사실 그리 어렵지 않습니다. 작년에 춘천에서 대학 다니는 학생이 7월부터 준비해서 세종대 붙었네요.
커리큘럼 그대로 가시면 되지만. 본인이 영어와 수학이 어느정도인지 알려주면 조금 더 자세한 답변을 해줄 수 있게씁니다 :) |
|
| 330 |
문제 질문있습니다.
|
ook9** |
2021-03-07 |
| 글제목 |
문제 질문있습니다. |
| 작성자 |
ook9** |
등록일 |
2021-03-07 |
|
안녕하세요 선생님 해커스 편입 이론정리 문제 다시 풀다가 질문있어서 연락 드립니다. 해커스 편입 이론정립책에서 챕터 7 이론 정립 2번문제에서 지문에 In California, the time is three hours earlier than the time in New York. If it's 8 o'clock in New York, it must be ______ 지문에서 캘리포니아가 뉴욕보다 3시간 빠르다고 했으니까 그럼 답은 11시로 가야 하는거 아닌가요? 답에는 5시라도 나와서 문의 드립니다. 만약 5시면 캘리포니아가 뉴욕보다 3시간 느리다는 건대 글러라면 earlier 이 아니라 later 로 가야 맞지 않나요? |
|
| └ |
답변^^ |
hj_jeo** |
2021-03-07 |
| 글제목 |
답변^^ |
| 작성자 |
hj_jeo** |
등록일 |
2021-03-07 |
|
지금 뉴욕이 8시일때 캘리포니아가 몇시냐고 물어본거니까 3시간 이른 5시라고 하는게 맞죠? 왜 11시라고 생각하는거지?
혹시 빠르다 라는 말에서 앞서 간다 라는말로 이해한거에요? 그럴 수 있겠네..ㅎㅎ 그러면 시간이 빨리간다 보다 '이르다' 라는말로 이해해보세요 wake up two or three hours earlier than usual 그리고 다시 이 말을 해석해보세요. 평소보다 2, 3시간 일찍 일어라나는 거죠? 늦게 일어나라는게 아니라? 이해되었나요?
|
|
| 329 |
엄밀한 의미의 극한 질문입니다.
|
jjh04** |
2021-03-07 |
| 글제목 |
엄밀한 의미의 극한 질문입니다. |
| 작성자 |
jjh04** |
등록일 |
2021-03-07 |
|
| 미분학1 62p 유형학습1 질문입니다
델타값의 최대를 구하라고 했는데 3과 5중에서 왜 3이 최대인지 모르겠습니다. |
|
| └ |
답변입니다. |
anamso** |
2021-03-09 |
| 글제목 |
답변입니다. |
| 작성자 |
anamso** |
등록일 |
2021-03-09 |
|
일단 델타min 값을 잡아야 합니다.
만약 5를 잡는다면 x의 범위의 5가 되면 엡실론의 범위를 넘어설수 있읍니다.
하지만 3읍 잡는다면 엡실론의 범위를 넘어설 수가 없죠.
제가 그래프로 설명했죠? 그래프를 그려보시면 아실수 있을겁니다.
5를 잡으면 양방향으로 주어진 엡십론 방향을 넘어섭니다. |
|
| 328 |
강의 5강 15분, 02번 지문
|
playtim** |
2021-03-07 |
| 글제목 |
강의 5강 15분, 02번 지문 |
| 작성자 |
playtim** |
등록일 |
2021-03-07 |
|
2번 지문 3번째 지문에서 that은 어떻게 해석하나요? that절이 형용사절인가요 명사절인가요? "두개의 당 리더들은 낙관적이다. that절에 대해서" 라고 해석한다면 '왜 대해서' 라고 하나요? about이 숨겨져있나요? |
|
| └ |
답변^^ |
hj_jeo** |
2021-03-07 |
| 글제목 |
답변^^ |
| 작성자 |
hj_jeo** |
등록일 |
2021-03-07 |
|
optimistic뒤에 of the fact나 about the fact가 빠져 있다고 생각해 보세요 그렇다면 뒤에 나오는 that절은 fact의 동격역할을 하는 명사절. 문법을 설명하자면 이렇게 되는것이고 우리가 흔이 이야기 하는 be sure that도 마찬가지에요 sure위에 of the fact를 생략하고 이야기 했다고 생각해보면 that은 fact의 동격을 이루는 명사절 이해 되나요?
하지만 우리가 be sure that에서 that이 무슨역할을 하는지 궁금해하는건 문법을 분류하는데서 의미를 찾는 학자들의 역할이지 영어를 이해하는것에 주 목적을 두고있는 우리에겐 의미 없는 일이에요 따라서 이번에 optimistic that을 해석할때 자연스레 about을 넣어서 해석이 가능했다면 그것을 경험으로 삼고 넘어가고 비슷한 상황에서 해석만 할 줄 알면 충분합니다^^
|
|
| 327 |
2강 25분의 5번 지문중
|
playtim** |
2021-03-06 |
| 글제목 |
2강 25분의 5번 지문중 |
| 작성자 |
playtim** |
등록일 |
2021-03-06 |
|
5번 지문에서 the ever은 어떻게 해석하나요? |
|
| └ |
답변^^ |
hj_jeo** |
2021-03-07 |
| 글제목 |
답변^^ |
| 작성자 |
hj_jeo** |
등록일 |
2021-03-07 |
|
ever increasing 에서 ever 이야기 하는거죠? ever 에는 continuously에 뜻이 있어요 항상 증가하기만 하는 이런느낌으로 읽어보세요 Nuclear devastation was an ever-present threat 이걸로 다시한번 연습해보세요 |
|
| 326 |
선생님 질문이 있습니다.
|
minchul4** |
2021-03-05 |
| 글제목 |
선생님 질문이 있습니다. |
| 작성자 |
minchul4** |
등록일 |
2021-03-05 |
|
선생님 안녕하세요 이번에 선생님 수업을 듣고 대학교에 합격한 친구가 추천해줘서 선생님 수업을 듣게 될것같습니다. 그전에 궁금한 사항들이 있는데 현재 나와있는 인강들을 들으면 될까요? 아니면 이번해 새로 촬영하시나요? 나와있는 인강들을 듣게되면 기초수학, 미분학/적분학, 선형대수, 미적분학2, 공업수학 이렇게 풀 커리큘럼을 타면 될까요? 그리고 마지막으로 노베이스가 아니면 기초수학은 꼭 들어야할까요?
감사합니다! |
|
| └ |
답변입니다. |
anamso** |
2021-03-06 |
| 글제목 |
답변입니다. |
| 작성자 |
anamso** |
등록일 |
2021-03-06 |
|
일단 어떤 친구인지 너무 궁금하네요 ㅋㅋ
이번에 새로 촬영 중에 있는데 아무래도 작업 때문에 현상수업보다는 늦습니다.
노베이스가 아니면
본인이 함수에 대한 개념이 있으시면 바로 미적분학 시작해도 됩니다.
그게 아니라면 적어도 집합-삼각함수는 정리하시는 걸 추천합니다.
그리고 초반에 너무 급하지 않게 차곡차곡 쌓는다는 기분으로 공부하셨으면 좋겠네요. |
|
| 325 |
교재 55페이지 답변에 대해
|
playtim** |
2021-03-05 |
| 글제목 |
교재 55페이지 답변에 대해 |
| 작성자 |
playtim** |
등록일 |
2021-03-05 |
|
Why are you so smart? 여기서 why는 의문 부사입니다. 따라서 주어가 될 수 없지요. 부사니까 수식어구로 괄호를 치는 것입니다.
Who is smart, here? 에서는 who가 의문 대명사입니다. 따라서 주어가 될 수 있지요.
의문사 중에서 주어가 되는 경우는 의문 대명사이고, 주어가 안되는 경우는 의문 부사 입니다.
교슈님께서 답변해주시ㄴ 예문을 보니깐 Why are you so smart? 가 의문부사라고 하셨는데 why를 빼고 봤을 때 뒷문장이 완전한 절이라서 괄호로 묶고 Who is smart, here? 에서 who를 빼면 불완전한 절이니깐 who가 주어 역할을 하는 의문 대명사라고 보면 될 것 같다는 생각이 들었는데 교재에 나온 문장인 Why are some activities, such as eating and reproducing, common to all organisms,…여기서 suchㄹ를 생략하고 보면
Why are some activities common to all organisms,… 이러한데 위의 예문에서처럼 why를 빼고 뒷문장을 봤을 때 are some activities common 평서문으로 만들었을 땐 some activities are common 이 주어 동사 보어로 완전해서 why를 괄호쳤다고 생각하면 되나요?
질문하면서 궁금한게 생겼는데 의문부사는 도치를 해야하나요? 간접의문문일때는 도치를 안하고 물음표가 있을 때만 도치를 하나요? 교수님께서 들어준 예시를 보면 Who is smart, here? 의문대명사는 주어 동사 보어 순서인데 Why are you so smart? 이 예시에서는 부사 동사 주어 보어 순서로 와서 물음표와는 상관이 없나 궁금합니다! |
|
| └ |
답변입니다 |
jk6** |
2021-03-06 |
| 글제목 |
답변입니다 |
| 작성자 |
jk6** |
등록일 |
2021-03-06 |
|
첫 번째 질문,
some activities are common 이 주어 동사 보어로 완전해서 why를 괄호쳤다고 생각하면 되나요?
아주 잘했네요~!!! ^^ 바로 그것입니다.
다음 질문들,
의문부사는 도치를 해야하나요? ---> 아니요, 의문 부사, 의문 대명사, 의문 형용사 이런 게 문제가 아니고, 직접 의문문이라 도치한 것이죠. (문법에서 의문문 편 참조하세요)
간접의문문일때는 도치를 안하고 물음표가 있을 때만 도치를 하나요? ---> 네, 그렇죠. 문법에서 의문문 편을 참조하면 이와 관련된 내용(질문 아직 안했지만 아마도 궁금할 내용 ^^)들이 좌악~~ 나옵니다.
Who is smart, here? 의문대명사는 주어 동사 보어 순서인데 Why are you so smart? 이 예시에서는 부사 동사 주어 보어 순서로 와서 물음표와는 상관이 없나 궁금합니다! ---> 물음표가 있는 것이 직접의문문이고, 간접의문문과 달리 도치를 하죠. 하지만 의문사가 주어일 경우는 직접 의문문도 도치를 안합니다.
일일이 물을 수록 궁금하죠? 일일이 답하기도 그렇습니다~^^ 아예 의문문 편을 은희학생을 붙들고 수업을 해야 될 거 같단 생각이 듭니다. 앞서 질문에 대한 답글 마지막 부분에서도 말씀드렸지만, 질문하는 내용들은 기초 문법들에 관해서 공부가 되어 있지 않아서 하는 질문들입니다.
제 강의는 독해 강의라, 지문에 나와 있는 문장에 대해서만 자세한 설명을 하는 것이지, 나오지 않은 많은 경우들 까지 한 번에 모든 설명을 하는 것은 힘듭니다. 그러면 독해 진도를 나가지 못하고, 한 문장 할 때마다 그와 관련된 모든 문법적 지식들을 완벽하게 설명해야 하니까요. 그래서 문법 강의가 따로 있는 것입니다. 은희학생처럼 궁금한 것이 많고 모르는 것이 많은 데, 관련된 모든 경우를 다 알고 싶은 경우에 꼭!!!!! 필요한 것이 바로 문법수업입니다.
지금까지 저한테 해오는 일련의 질문들을 보면, 기본적으로 은희학생이 앞으로 매우 공부를 잘 해갈거란 느낌이 듭니다. 그냥 몰라서 하는 질문이 아니라 본인이 고민하고 해결하려는 모습이 아주 확실히 보이거든요. 이번 질문도 첫 번째 같은 것은 정말 칭찬하고 싶습니다. 그래서 더더욱 기초 문법 한 권은 먼저 끝내 보라고 권하는 것입니다.
마음 같아서는 제가 문법 수업도 해 드리고 싶지만, 그게 안되니, 당분간은 답답하더라도 꼭!!! 문법의 기초를 먼저 완성해 보세요. 그러면 지금 궁금한 많은 것들의 답을 저한테 일일이 묻고 답변을 기다리는 것보다 훨씬 빨리, 그리고 더 시원하게 해결할 수 있을 겁니다.
그럼, 앞으로도 발전하는 모습 기대해 보겠습니다! |
|
| 324 |
교재 1부 챕터4 19번째 지문(P.76)
|
playtim** |
2021-03-05 |
| 글제목 |
교재 1부 챕터4 19번째 지문(P.76) |
| 작성자 |
playtim** |
등록일 |
2021-03-05 |
|
2번째 줄 문장을 보면 assume뒤에 that절이 나오고 ,or that(2번째 절) ,that(3번째 절) ,and that (4번째 절이 나오는데) 3번째 절에서 어떻게 ,뒤에 that이 나올 수 있나요? 문법시간에 that앞에는 ,콤마와 전치사는 못온다고 배웠는데 왜 구문에서는 가능하게 쓰였나요?
그리고 20번 지문에서 (P.77) 두번 째 줄을 보면 They have certain ideas about which food will increase their ~~~이렇게 나와있는데 about이 (그들은 ~관해 정확한 생각을 가지고 있다.) ~관해 라는 전치사인줄 알았는데 뒤에 주어 동사가 나오는 것이 이상하다고 생각됩니다. about이 접속사도 가능한가요? 해석은 같나요? |
|
| └ |
답변입니다 |
jk6** |
2021-03-06 |
| 글제목 |
답변입니다 |
| 작성자 |
jk6** |
등록일 |
2021-03-06 |
|
궁금한게 많지요? ^^
먼저, 첫 번째 질문에 대해서,
문법시간에 that앞에는 ,콤마와 전치사는 못온다고 배웠는데 왜 구문에서는 가능하게 쓰였나요?
콤마와 전치사 앞에 못 오는 that으로 관계 대명사가 있습니다. 계속적 용법과 전치사의 목적격으로 오지 못한다는 얘기지요.
본문에서 assume 뒤에 쓰인 that은 명사절 접속사 입니다. 명사절 접속사는 전치사 뒤에 오는 경우도 있습니다. in이나 but 등이지요.
또, 콤마뒤에 올 때도 있습니다. 나열구조에서 그렇죠.
그리고, 두 번째 질문에 대해서,
전치사인줄 알았는데 뒤에 주어 동사가 나오는 것이 이상하다고 생각됩니다. about이 접속사도 가능한가요?
전치사 맞습니다.
전치사는 전명구를 이룬다는 것은 알고 있죠?
which food will increase their ~
이하가 전치사의 목적절 역할을 하는 명사절 입니다.
그래서 about과 합쳐져서 전명구를 이루는 것이죠.
은희 학생이 계속해서 굉장히 많은 질문을 하고 있는데 ^^,
지켜 보니까, 독해와 구문 이전에 아직 문법적인 부분들이 어느정도 쌓여있지 않다는 걸 느꼈습니다.
문법 공부가 좀 되고 나면 지금보다 훨씬 덜 답답할 것입니다.
그 날이 빨리 오기를! |
|
| 323 |
질문이요!
|
andychoi20** |
2021-03-04 |
| 글제목 |
질문이요! |
| 작성자 |
andychoi20** |
등록일 |
2021-03-04 |
|
안녕하세요 교수님! 해답지에 나와있는 방법과 다른 방법으로 풀어볼려고 했는데 끝내 답이 나오지 않아서 이렇게 질문을 드립니다. 29페이지 예제 20번문제에서 해답지와는 다른 방법으로 풀어보았는데 답이 안나와서 이렇게 질문을 드립니다. 저는 2018을 x로 놓고 2019를 x+1로 놓았습니다. 그렇게 x에 대한 식을 풀어서 계산하니까 x-1/2 즉, 2018-1/2가 나오네요... 어느 부분을 놓치고 있는 것인지 모르겠습니다... |
|
| └ |
답변입니다. |
anamso** |
2021-03-06 |
| 글제목 |
답변입니다. |
| 작성자 |
anamso** |
등록일 |
2021-03-06 |
|
일단 시도는 좋앗습니다!
하지만 계산시 몫에 1/2 라는 분수가 들어가지요 분수가 있으면 안됩니다!
분수가 생기기 직전 나머지가 X^2+2X 이죠. 집어넣고 계산하시면 이갑이 2019^2-1과 같은값입니다.
분수가 나오 직전 나머지로 해야합니다 :) 풀이시도 좋았습니다! |
|
| 322 |
선생님 커리큘럼 다시 한번 질문드립니다
|
Ral** |
2021-03-04 |
| 글제목 |
선생님 커리큘럼 다시 한번 질문드립니다 |
| 작성자 |
Ral** |
등록일 |
2021-03-04 |
|
우선 저번에 답변 너무 친절하게 달아주셔서 감사합니다 정말 생각이 많았는데 심적으로 많은 도움을 받은 것 같아요 말씀해주신것처럼 수학 포기하지 않고 열심히해보려고 쎈 라이트 수학 책 사서 개념 확인하면서 보고 있습니다! 선생님께선 기초 정리는 3월 넘어가기전에 다 끝내는게 가장 좋다고 말씀하셨는데 밑에 다시 말씀주시기를 3~4월까지는 미적분1을 하라고 말씀주셨는데 제가 지금 기초가 많이 부족한데 벌써 3월이고 쎈 라이트 그리고 선생님 기초 집합 & 미적분학을 같이 들으면서 미적분학1을 수강하라고 말씀해주시는건지 기초 집합 삼각함수 & 기초 미적분학은 건너띄고 미분학 1 먼저 들으면서 부족한 부분은 쎈 수학으로 보충하라고 말씀해주신건지 궁금해서 다시 질문남깁니다! 또 만약 미분학 1로 바로 들어갔을경우에 이해 할 수 있는지에 대한 여부도 답변해주시면 감사하겠습니다
|
|
| └ |
정해드리겠습니다! |
anamso** |
2021-03-06 |
| 글제목 |
정해드리겠습니다! |
| 작성자 |
anamso** |
등록일 |
2021-03-06 |
|
일단 기초를 3월 안에 정리하시고
4월부터 미분1을 시작하는 게 좋을 거 같습니다.
미분학을 바로 해도 괜찮겠지만 지금 기초가 약하고 같이 하다보면 정신 어질어질 하실 듯하니
3월에 기초를 잡는 쪽으로 공부하셨으면 좋겠습니다 :)
기초 잡으실 때 이해를 우선으로 해주세요. 특히 대부분 함수를 그래프로 그릴 수 있게! |
|
| 321 |
교재 55페이지
|
playtim** |
2021-03-02 |
| 글제목 |
교재 55페이지 |
| 작성자 |
playtim** |
등록일 |
2021-03-02 |
|
Why are some activities, such as eating and reproducing, common to all organisms,… 이 문장에서 저는 why를 주어 are을 동사 some부터 콤마앞까지 명사절(보어)로 보고 해석을 할려고했는데 교수님께서는 why를 괄호치시고 동사 주어 순으로 설명해주셨습니다. 접속사(명사절)중 의문 대명사나 의문부사가 그대로 해석해서 주어가 되는 경우가 있던데 그냥 의문문을 만드는 의문사랑 항상 헷갈리는데 두 개 비교해서 알려주시면안될까요?ㅠㅠ |
|
| └ |
답변입니다 |
jk6** |
2021-03-04 |
| 글제목 |
답변입니다 |
| 작성자 |
jk6** |
등록일 |
2021-03-04 |
|
이건 구문 이전에 문법에서 공부 해야할 사항으로 문법 강의를 통해 정확히 알아 둬야 하겠습니다.
그래도 최대한 핵심 사항만을 간략히 말씀드리자면,
의문사 중에서 주어가 되는 경우는 의문 대명사이고, 주어가 안되는 경우는 의문 부사 입니다.
또 의문 대명사가 주어만 되는 것도 아니고 의문사에 의문 형용사란 것도 있어서 그 용법과도 구분해야 합니다.
따라서, 질문한 의문 대명사와 의문 부사의 정의와 용례, 쓰임과 의미등에 대해서는
한 두 마디로 이 강의의 게시판으로 정리하기엔 너무 많은 내용이므로, (질문에 대한 답변으로 수업을 할 수는 없겠죠?^^)
문법 강의를 통해 많은 시간 공부하셔야 하고요~!
간단한 예문으로 구분 짓는 것으로 독해 수업에 대한 답변으로 삼겠습니다.
Why are you so smart? 여기서 why는 의문 부사입니다. 따라서 주어가 될 수 없지요. 부사니까 수식어구로 괄호를 치는 것입니다.
Who is smart, here? 에서는 who가 의문 대명사입니다. 따라서 주어가 될 수 있지요.
|
|
| 320 |
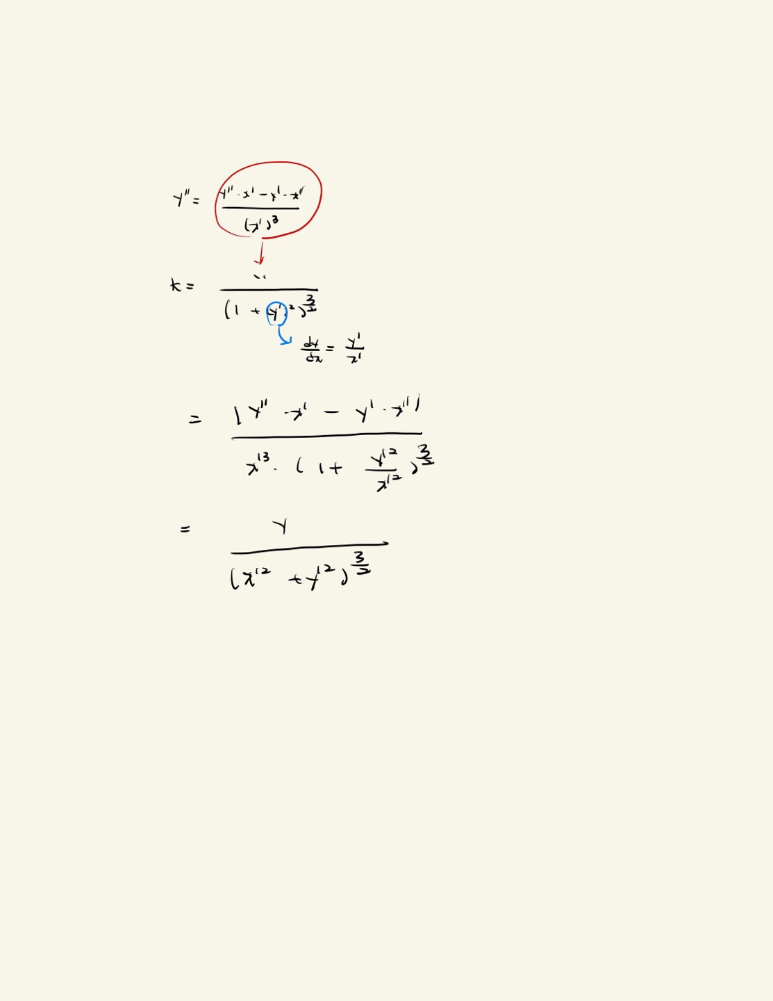
매개곡선 곡률증명 질문이요.
|
tlsaudc** |
2021-03-02 |
| 글제목 |
매개곡선 곡률증명 질문이요. |
| 작성자 |
tlsaudc** |
등록일 |
2021-03-02 |
|
증명에서는 l y''x'- y'x'' l / (x')^3 = l y''x'- y'x'' l / (x'^2 + y'^2)^3/2 인데 문제에 값을 적용시켜보면 분모의 x'^3 과 (x'^2 + y'^2)^3/2 이 틀린데 이유가 뭔가요? 증명에서 ds 와 dx 를 동일시 해서 생긴 오차아닌가요? |
|
| └ |
답변입니다. |
anamso** |
2021-03-02 |
| 글제목 |
답변입니다. |
| 작성자 |
anamso** |
등록일 |
2021-03-02 |
|
증명에 쓰인 x'과 x'은 dt에 대한 미분이고
K=에 쓰인 미분 y' = dy/dx 이기 때문입니다. 이걸 매개미분으로 바꾸면 y'/x'으로 바꺼서 해야죠.
넘 복잡하죠? 그래서 외우거나.
x=f(t) y=g(t)에서 직전 dy/dx를 뽑아서 푸는게 좀 더 편합니다.

|
|