| 958 |
질문
|
ipsin** |
2022-10-07 |
| 글제목 |
질문 |
| 작성자 |
ipsin** |
등록일 |
2022-10-07 |
|

그리고 또 하나 질문이 직교사영이 벡터를 말하는건가요? 정사영과 정사영 벡터는 서로 다르듯이 그냥 직교사영도 있으면 직교사영벡터도 있을 것 같아서 질문드려봤습니다. 직교사영이 20성대 기출문제 풀이에서 나와서 궁금해서 질문드려봤어요. |
|
| └ |
정사영 행렬 |
anamso** |
2022-10-08 |
| 글제목 |
정사영 행렬 |
| 작성자 |
anamso** |
등록일 |
2022-10-08 |
|
이부분은, 사실 용어가 혼동되서 쓰여서 가르치는 저도 혼란스러울 때가 많아요. 그래서 혼동을 피하기 위해 문제 조건 자체를 보고 파악하는게 좋아요.
P는 B 까지 붙여준 행렬이에요. B는 정사영 시킬 점이구 문제 조건에 나와있어야겠죠. T 는 정사영행렬인데 이건 B는 뺏죠? 아 이렇게 물어봤다는건 B값을 주지 않았을거에요. 그러세 B를 뺀 T만 구해야합니다.
직교사영=정사영입니다.
정사영은 보통 길이고, 정사영벡터라하면 그걸 단위벡터 붙여서 벡터를 만들어준 것인데요. 사실 이것도 어떤 문제나 개념서에서 구별하지 않고 쓰는 경우도 많습니다. 그래서 주어진 보기가 스칼라냐 벡터냐를 봐야겠구요. 확실한건 벡터란 말이 붙으면 무조건 벡터이기 때문에 값이 (A,B,C) 이렇게 나와야합니다.
직교사영과 벡터 그냥 문제 보기를 보고 접근하셔야합니다. |
|
| 957 |
2강 16번 문제 질문입니다.
|
minhyoung1** |
2022-10-07 |
| 글제목 |
2강 16번 문제 질문입니다. |
| 작성자 |
minhyoung1** |
등록일 |
2022-10-07 |
|
안녕하세요 정형진선생님! 좋은 강의 잘듣고있습니다 감사합니다 :) 현강 녹화본이랑 이랑 인강이랑 느낌이 많이 다르시네요 ㅋㅋㅋㅋㅋ 재밌어여!!
질문 드립니다. 본문 답이 inadequate인것이 이해가잘 가지 않아서요,
civillized societies가 -> superstition으로 weighed 되어있고( -) 이것은 instability의 증거라고 되어있는데 instability가 불안정성이라면 본문의 inconstant (지속적이지 않은, 변덕스러운)이 더 instability에 가까운 정답이라고 생각하는데 어찌 inadequate이 정답인것인지 잘 이해가 되지 않습니다!! 설명 부탁드립니다!
|
|
| └ |
답변^^ |
hj_jeo** |
2022-10-07 |
| 글제목 |
답변^^ |
| 작성자 |
hj_jeo** |
등록일 |
2022-10-07 |
|
ㅎㅎㅎㅎㅎ 일단 빈칸의 주어가 the base of knowledge라는걸 체크해야되요. 그럼 이 글에서 지식 기반은 superstition을 이야기 하는걸 테니까 미신은 지속적이지 않다, 보다는 부적절하다가 적절한 -맥락 이겠죠?ㅎㅎ 또 질문있으면 주세요~~
|
|
| 956 |
직교대각화
|
ipsin** |
2022-10-06 |
| 글제목 |
직교대각화 |
| 작성자 |
ipsin** |
등록일 |
2022-10-06 |
|
교수님 파이널 심화정리 한양대 편에서 직교대각화라는 유형을 배웠는데 이게 공부하고나서 느낀게 전에 선형대수학 커리큘럼에서 배웠던 2차형식으로 행렬로 X^TAX을 이용해서 주축으로의 변형인 대각화를 한 것과 무슨 내용의 차이인지 모르겠어요. 둘 다 똑같은 내용인거 같은데 한양대의 직교대각화의 유형의 내용과 선형대수학 커리큘럼에서 배운 18강과 19강의 2차형식과 대칭행렬에서 배운 내용과 도대체 무엇이 차이점이 있나요? 쭉 한번 복습해봤는데 도대체 무슨 차이지..?싶네요 주축형으로 바꿔주는 대각화도 결국에는 비틀어지거나 평행이동된 식을 기본꼴로 만들어주기위해서 쓰는거고 한양대의 직교대각화도 결국에는 비틀어져 있는 것을 원래대로 바꿔주기 위한 게 아닌가요? |
|
| └ |
같은 내용입니다. |
anamso** |
2022-10-08 |
| 글제목 |
같은 내용입니다. |
| 작성자 |
anamso** |
등록일 |
2022-10-08 |
|
같은 내용인데 일반 선형대수 강의에서는 깊게 가지 않고 공식만 외워서 풀어요.
왜냐하면 한양대를 제외하고 이걸 원리까지 이해하고 식까지 쓰면서 공부하지는 않거든요.
그래서 한양대를 꼭 합격해야하는 학생들만 위해서 따로 더 추가강의를 한 내용입니다.
그런데 한양대 문제를 풀어보면 알겠지만 이게 배운다고해서 바로 싶게 풀 수 있는 문제는 아니에요.
정말 이 파트가 어려워지면 정말 끝도 없기 때문에 이 문제는 스킵하거나 답지를 외워서 푸는 걸 추천하고 있습니다. |
|
| 955 |
17한양대 질문
|
ipsin** |
2022-10-06 |
| 글제목 |
17한양대 질문 |
| 작성자 |
ipsin** |
등록일 |
2022-10-06 |
|


미궁 속으로 빠져버리는 듯한 느낌이 드네요..
|
|
| └ |
답변입니다. |
anamso** |
2022-10-08 |
| 글제목 |
답변입니다. |
| 작성자 |
anamso** |
등록일 |
2022-10-08 |
|
우리가 평상시 AX의 A를 행렬표현이라 많이 쓰는데요. 여기에서 X는 x,y,z 세 좌표이죠.
1,x,x^2 도 그냥 각각 똑같이 x좌표 y좌표 z좌표라 생각하면 됩니다.
그리고 그냥 평상시 A 행렬 구하면 됩니다.
그게 표현한 것처럼 (1,0,0) (0,1,0) (0,0,1) 이기도해요.
|
|
| 954 |
서강대 기출 질문
|
ipsin** |
2022-10-05 |
| 글제목 |
서강대 기출 질문 |
| 작성자 |
ipsin** |
등록일 |
2022-10-05 |
|

최소한 b벡터가 (b1,b2,b3)가 아니라 (b1,b2) 였으면 풀렸을텐데 그게 아니라 (b1,b2,b3)라서 제가 애초에 접근을 잘못했는지 그리고 무엇을 놓쳤는지 모르겠습니다..
그리고 추가 질문은 기저벡터가 좌표축을 이루고 독립벡터라는 것을 몇 달전의 질문에 대한 답변으로 알게되었는데 그렇다면 기저벡터는 독립이면서 수직이어야 기저벡터인가요?? 좌표축이 이때까지 수직인 것만 보다보니까 기저벡터가 어떤 하나의 공간의 좌표축을 구성하는 벡터라고 했으니까 독립이면서 동시에 수직인 벡터가 아니라 독립이면서 동시에 수직이고 동시에 좌표축까지 쓰이는 벡터를 기저벡터라고 하는지 궁금합니다. |
|
| └ |
답변 |
anamso** |
2022-10-08 |
| 글제목 |
답변 |
| 작성자 |
anamso** |
등록일 |
2022-10-08 |
|
답이 좀 늦어서 미안해요.!
서강대 문제는 충분히 혼동할만해요. 굉장히 생소한 문제이죠.
일단 지금 보여준 풀이는 영공간의 원소를 구한 것인데요.
치역인 상공간과 영공간은 수직한다는 개념으로 접근한 것이죠? 좋은 풀입니다!
일반적으로 그렇게 문제가 많이 나오기도 하구요.
하지만 서강대가 물어본 보기에 주어진 좌표가 세개 밖에 없죠?
엇, 뭔가 이상하죠? 여기서 캐치를 해야했습니다.
"아, 이 공간은 4차원에서 3차원으로 공간이동하는 것인데, 치역이 속한 3차원과 영공간이 속한 4차원을 비교한 게 아니라
치역과 같은 차원인 3차원에 벡터를 알고 싶구나?! 그러면 치역과 수직인 3차원의 벡터를 찾아야지!"
그럼 문제는 그 수많은 치역 벡터들은 어떻게 표현해야 하는지가 키포인트인데요.
단순하게 가면 돼요. 치역은 AX라는거! X=(x,y,z,w) 로 집어넣어서 계산할게요.
참고로 여기서 랭크는 하시면 안됩니다. 랭크는 AX=0 일 적용할 수 있지만 치역 그 자체를 구할 때는 쓰면 안됩니다.
AX=(x+2y+3z+5w,2x+4y+8z-8w,z-w) 이렇게 나오고 이 값들이 바로 치역입니다. x,y,z,w 에 아무 값이나 집어 넣어볼까요? 1,1,1,1 집어넣으면 치역은 (11,22,0) 이 나옵니다. 여러 치역 중에 하나이죠. 그럼 당연히 보기에서 이 치역과 수직이 되어야겠죠? 내적이 0이 되어야겠구요. 그게 가능한 보기는? 1번 뿐이없네요!
추가 질문에 대한 답변은,
기저벡터는 독립은 맞으나 수직할 필요까지는 없어요. 물론 수직이면 굉장히 편하기 때문에 수직인 걸 많이 쓰는 걸 뿐 필요조건은 아닙니다.
결론: 기저벡터는 독립이기만 하면 좋다. 하지만 수직인 걸 쓰는게 쓰기 좋고 보통 그렇게 조건을 많이 준다. |
|
| 953 |
질문
|
ipsin** |
2022-10-04 |
| 글제목 |
질문 |
| 작성자 |
ipsin** |
등록일 |
2022-10-04 |
|

이렇게 이해했는데 맞게 한건지 궁금합니다.
|
|
| └ |
잘 이해했습니다. |
anamso** |
2022-10-05 |
| 글제목 |
잘 이해했습니다. |
| 작성자 |
anamso** |
등록일 |
2022-10-05 |
|
우리가 행렬 A를 구할 수 있다면 그냥 RANK 로 바로 알 수 있겠지만
주어진 문제는 좌표가 아닌 행렬로 주어져서 이걸 행렬 A로 한다면 4X4가 구하기 너무 힘듭니다. 물론 우린 배웠지만요 :)
그래서 행렬A를 구하지 않고 독립인지 아닌지 체크해서 갯수로 구햇습니다 |
|
| 952 |
답이랑 풀이랑 달라요.
|
ssn24** |
2022-10-04 |
| 글제목 |
답이랑 풀이랑 달라요. |
| 작성자 |
ssn24** |
등록일 |
2022-10-04 |
|
| 안녕하세요 선생님.
29번 <0,0,-1>이 답인데 정답은 <0,0,1>로 해설지에 나오고 [(B) 정답]
34번 <1,2,2>면 답이 5인데 D 선지는 12입니다.
34번만 3번 넘게 푸느라 5분 넘게 날렸네요.
3개 틀렸는데 그 중 2개가 이겁니다..
|
|
| └ |
엇 ㅠ |
anamso** |
2022-10-05 |
| 글제목 |
엇 ㅠ |
| 작성자 |
anamso** |
등록일 |
2022-10-05 |
|
헉 이상하네요. 제가 가진 원본은 잘되었는데
29번 0,0,-1 맞고
34번도 보기가 D 5가 되어야 하는데. 완전 오류네요. ㅠ 3번 넘게 풀었다니 미안해요.
진도 나가기 벅찬 9월이고 영어랑 같이 풀었을텐데
수학 1개 밖에 안틀렸다니... 올해 무조건 좋은 결과가 나올거 같네요. :) |
|
| 951 |
안녕하세요 선생님
|
ssn24** |
2022-10-04 |
| 글제목 |
안녕하세요 선생님 |
| 작성자 |
ssn24** |
등록일 |
2022-10-04 |
|
안녕하세요 선생님. 이번 시험에서 독해를 제외한 전 영역에서 평균 이상을 받고, 응시자 최고점을 받은 영역(수학/논리) 도 있습니다.
근데 독해를 완전 말아먹었습니다. 과도한 스키밍의 결과인 것 같습니다. 그리고 매 시험마다 너무 들쭉 날쭉합니다.
근데 지금 다시 풀어보니까 독해 2지문은 너무 쉽고 답도 너무 뻔하게 보인다고 느껴졌습니다. 허나 시험시간에는 이게 무슨 말이야? 라는 생각밖에 안듭니다.
혼자 기출 풀어보면 점수 잘 나옵니다. 특히 건/홍/숭/인하 는 고득점이 나오지만 시험만 보면 적게는 10, 많게는 20점가량 차이가납니다.
진짜 제 실력을 모르겠고 어떻게 해결해야 할까요..? 독해 양을 늘려야 할까요?
독해양은 2일 당 기출 1회분 + 교재 3지문(Top7) 풉니다. |
|
| └ |
답변입니다 |
jk6** |
2022-10-06 |
| 글제목 |
답변입니다 |
| 작성자 |
jk6** |
등록일 |
2022-10-06 |
|
윤호 학생 스스로가 이미 해결책을 알고 있다고 생각합니다. 바로 저번 성대 모의고사 후에 올린 질문과 제 대답이 그 해결책 입니다.
정확히 읽는 연습이 필요합니다. 시간을 좀 더 사용하더라도 '정확히' 읽을 수 있는 실력.
평소의 독해량은 그정도면 충분합니다. 중요한 건 양이 아니라 질입니다. 다독이 아니라 정독이라는 것이죠.
남은 기간동안 독해 공부를 할 때, 양은 적어도 좋으니, 정독을 하도록 하세요. 각 지문마다 소재는 뭐고, 주제는 뭐고, 문단은 어떻게 나뉘고, 각 문단의 핵심어는 무엇이고, 지문 전체의 구성은 어떤 식으로 되어 있고 등등, 맥락을 파악하는 공부(맥락 독해)를 하는 겁니다.
스키밍 만으로는 안정적인 점수가 나오지 않습니다. 잘 맞을 때는 훅 올랐다가 안 맞는 지문이 나오면 무슨 소린지 모른채 점수가 뚝 떨어지죠.
'맥락독해'를 가르치는 강의를 들어보는 것도 방향을 잡는데 도움이 될 수 있습니다. 혼자서만 끙끙 앓지 말고, 제대로된 강의를 듣고 방법을 빨리 캐치하는 것이 장기적으로 시간을 절약하는 것일 수도 있습니다.
자, 어쨌든, 방법과 방향은 알고 있으니, 계속 반복되는 실수를 저지르지 말고, 제대로된 방향으로 나아가길 바랍니다.
응원하겠습니다!!!
|
|
| 950 |
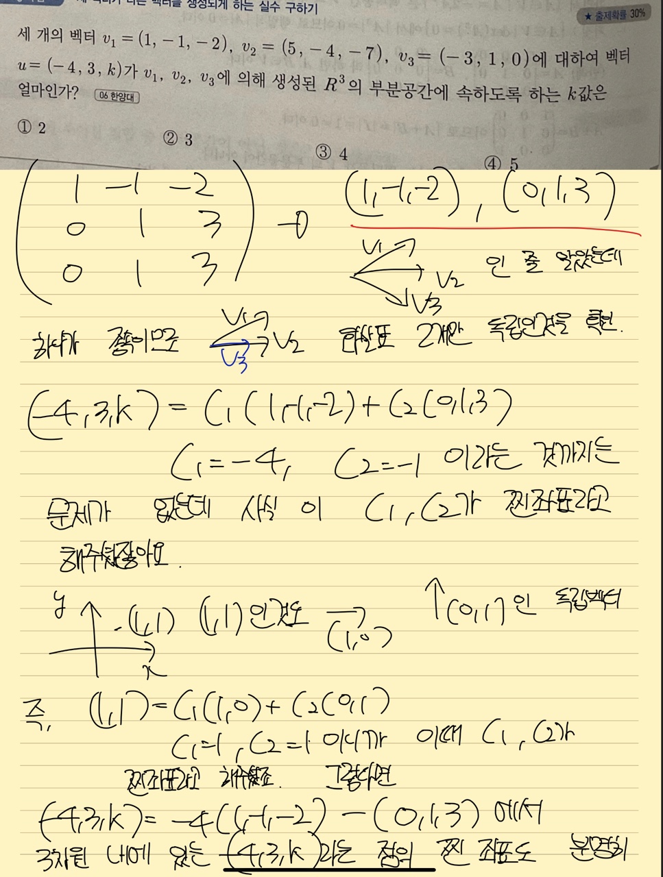
질문
|
ipsin** |
2022-10-03 |
| 글제목 |
질문 |
| 작성자 |
ipsin** |
등록일 |
2022-10-03 |
|
선대를 한번 쭉 복습하다가 뭔가 이해가 안되는 부분이 있어서 질문드립니다.. 

|
|
| └ |
좌표는 오직 |
anamso** |
2022-10-05 |
| 글제목 |
좌표는 오직 |
| 작성자 |
anamso** |
등록일 |
2022-10-05 |
|
좌표는 오직 기저벡터로만 표현할 수 있어요.
그래서 물어본 문제의 주어진 벡터3개는 기저가 아닌 벡터들이라 좌표를 표현해주진 못해요.
c1, c2 는 걍 그 벡터를 -4번 -1번 눌러서 갈 수 있는것이지 이게 좌표는 아니에요.
좌표를 물어볼 땐 반드시 벡터가 기저로 쓸 수 있는 독립관계여야 합니다!
그게 아니면 물어볼 수도 없으니 걱정마세요 ㅎㅎ
|
|
| 949 |
국민20 20번 질문
|
ipsin** |
2022-09-30 |
| 글제목 |
국민20 20번 질문 |
| 작성자 |
ipsin** |
등록일 |
2022-09-30 |
|

|
|
| └ |
발산 |
anamso** |
2022-10-01 |
| 글제목 |
발산 |
| 작성자 |
anamso** |
등록일 |
2022-10-01 |
|
'발산'을 보자마자 삼중적분 식을 떠올리는건 당연해요.
그런데 엄밀히 따지면 삼중적분식은 발산을 이용한 발산 '정리'입니다.
발산 divF= Fx+Fy+Fy 단순 공식입니다! |
|
| 948 |
국민20 19번
|
ipsin** |
2022-09-30 |
| 글제목 |
국민20 19번 |
| 작성자 |
ipsin** |
등록일 |
2022-09-30 |
|

이렇게 해서 보기ㄷ은 틀렸는데 제가 뭘 잘못했을까요 교수님
|
|
| └ |
오잉 잘했는데요? |
anamso** |
2022-10-01 |
| 글제목 |
오잉 잘했는데요? |
| 작성자 |
anamso** |
등록일 |
2022-10-01 |
|
예시로 잘 집어넣고 아주 잘 계산했어요. 이런게 바로 실전 풀이죠.
그리고 ㄷ는 틀렸다고 판단했고요. 답도 ㄷ은 거짓입니다. 정답입니다! |
|
| 947 |
커리큘럼 질문 드립니다.
|
twice08** |
2022-09-30 |
| 글제목 |
커리큘럼 질문 드립니다. |
| 작성자 |
twice08** |
등록일 |
2022-09-30 |
|
기본이론논리 - 문제응용 1 - 문제응용 2 듣고나서 ,
심화문풀을 들어야하나요 아니면 문제 응용 논리를 들어야하나요? |
|
| └ |
답변^^ |
hj_jeo** |
2022-10-07 |
| 글제목 |
답변^^ |
| 작성자 |
hj_jeo** |
등록일 |
2022-10-07 |
|
심화 문풀이 문제응용논리의 최신버전이라고 생각하면되요! 심화들으면 됩니다^^ |
|
| 946 |
국민대20
|
ipsin** |
2022-09-30 |
| 글제목 |
국민대20 |
| 작성자 |
ipsin** |
등록일 |
2022-09-30 |
|

|
|
| └ |
네 |
anamso** |
2022-10-01 |
| 글제목 |
네 |
| 작성자 |
anamso** |
등록일 |
2022-10-01 |
|
n*sin(1/n) 은 무한대와 0이기 때문에 누가 더 쎈지 바로 알 수 없습니다. 그렇기에 치환하고 풀어야합니다!
sin무한대는 커봤자 1이니 당연 알 수 있는 것이구요.
사실 이것도 원래 부정형이고 대부분 해설에서 로피탈로 푸는데요.
그런데 아는 우리 입장에서 이걸 부정형으로 풀 필요 없겠죠?! |
|
| 945 |
국민대20
|
ipsin** |
2022-09-30 |
| 글제목 |
국민대20 |
| 작성자 |
ipsin** |
등록일 |
2022-09-30 |
|

교수님 아주 기본적인 상미분 문제의 질문인 1번문제인데요
제가 공수를 풀면서 실제로 저렇게 답이 안나오는 경우를 많이 봤는데 교수님은 1/y(1-y)를 찢어주실 때 -1/(y-1)y로까지는 해주는건 저랑 똑같은데 이 -1을 우항으로 옮기더시더라구요 저는 -1을 우항으로 안넘겨서 사진처럼 저렇게 했는데 방금 전에 언급했듯이 저렇게 교수님과 공수커리를 따라가다가 답이 안나오는 경우를 많이 봤는데 특별히 안되는 이유가 있나요?
그리고 8번문제에 인테그랄 적분구간이 x^2이 아니라 x^3 아닌가요?? 풀어보니까 정답 3번나오는데 제가 해설이 없어서 답 확인을 못합니다 교수님 |
|
| └ |
답변입니다. |
anamso** |
2022-10-01 |
| 글제목 |
답변입니다. |
| 작성자 |
anamso** |
등록일 |
2022-10-01 |
|
좋은 질문이에요. 이 문제는 나중에 국민대에서 한번 풀어주는 문제인데요.
별거 아닌 문제인데, 실제 수험생들이 많이 틀린 문제이기도 합니다.
왜냐하면 우리가 1/x 적분할 때 lnx 라고 하잖아요?
근데 사실 엄밀히 따지면 ln|x| 로 해줘야 합니다. 절대값을 붙여야 해요.
ln 은 - 값은 가지고 있을 수 없기 때문이죠. 사실 대다수 적분은 이걸 굳이 고려하지 않아요.
쓸데없이 혼동없이 실제로 + 로 주어지게끔 문제가 나옵니다.
하지만.... 이 문제는 y가 1/2 값이 나오죠?
하지만 ln(y-1) 로 적게 되면 ln(-1/2) 가 나와 음수가 됩니다. 그래서 음수가 나오지 않도록 ln(y-1) 가 아닌 ln(1-y)로 전개해야 합니다.
참 치사한 문제죠.. 그래서 저 같은 경우, 이런 불상사를 방지하기 위해 1/AB 전개할 때 그냥 A가 작은걸 앞에 두고 B가 큰걸 뒤에 두거나해서 양수 음수가 뒤집는걸 미리 방지해서 풉니다.
8번은, 아마 오타일거에요. X^3 맞습니다. |
|
| 944 |
라플라스 문제
|
ipsin** |
2022-09-29 |
| 글제목 |
라플라스 문제 |
| 작성자 |
ipsin** |
등록일 |
2022-09-29 |
|

이렇게 했는데 답이 안나오는 거 같아서 해설지를 보니까
적분구간을 파이/w로 되어있는데 이게 아니라 2파이/w 로 해줘야 되는거아닌가요??
|
|
| └ |
적분구간 함수를 확인해야합니다. |
anamso** |
2022-10-01 |
| 글제목 |
적분구간 함수를 확인해야합니다. |
| 작성자 |
anamso** |
등록일 |
2022-10-01 |
|
물론 주기는 2pi/w가 맞습니다.
일반적으로 그 주기동안 쓰이는 식이 공통적으로 1개라면 1개식에 2pi/w를 집어넣으면 되겠죠.
하지만 주어진 상황은 pi/w 일 때 함수식과 pi/w~2pi/w에 쓰이는 식이 다릅니다.
그래서 주기는 2pi/w가 맞지만 주어진 식에는 pi/w만 써야하고 pi/w~2pi/w 에는 함수가 0이라 식을 적지 않은 것 뿐입니다. |
|