| 1069 |
이상적분에 관해서 질문 있습니다.
|
sehyun07** |
2022-11-18 |
| 글제목 |
이상적분에 관해서 질문 있습니다. |
| 작성자 |
sehyun07** |
등록일 |
2022-11-18 |
|
안녕하세요 교수님!
이상적분 부분은 급수 부분 파트 끝나고 다시 보라고 하셨던 것이 기억이 납니다. 제가 공부해본 결과 1부터 무한대까지 이상적분은 급수로 보고 거기서 수열의 극한처럼 다뤄서 처리하는 것으로 이해했습니다. 그런데, 사진에서 빨간색으로 표시한 부분처럼 0부터 1까지의 무한급수들은 그래프를 그리기 어려운 부분인데, 전부 암기해야 할까요? 혹시 빠르게 수렴,발산 판단 할 수 있는 방법이 있는지 궁금합니다.
혹시 이상적분 부분은 따로 강의되는 내용이 있는지도 궁금합니다.
이상적분 부분이 사설 모의고사에서 많이 출제되었었는데 중요한 부분일까요?

|
|
| └ |
이상적분 판단 |
anamso** |
2022-11-19 |
| 글제목 |
이상적분 판단 |
| 작성자 |
anamso** |
등록일 |
2022-11-19 |
|
판단하는 법은 그래프로 혹은 무한급수로 판단하는 법을 추천해요.
1/x 이 발산인지 수렴인지 기준이죠? 이 부분은 0~1사이에도 적용하는겁니다.
0~1사이엣 1/x 보다 납작하면 수렴입니다.
혹은 아래처럼 급수로 풀어볼수도 있습니다.

|
|
| 1068 |
벡터표현법
|
ipsin** |
2022-11-18 |
| 글제목 |
벡터표현법 |
| 작성자 |
ipsin** |
등록일 |
2022-11-18 |
|

이때까지 질문했던 것중에서 가장 모르겠습니다 이 부분은.. |
|
| └ |
답변입니다. |
anamso** |
2022-11-18 |
| 글제목 |
답변입니다. |
| 작성자 |
anamso** |
등록일 |
2022-11-18 |
|
그냥 F1=a F2=b F3=c 입니다.
그냥 이 내용이 물리역학적으로 굉장히 중요한 내용이고
힘Force를 강조하기 위해 F1,F2,F3 란 표현을 쓴 것 뿐입니다.
그리고 F1,F2,F3는 변수값이 주어지기도 해서 단순히 a,b,c라고 표현하면 상수로만 착각되기도 하니까요. |
|
| 1067 |
선형변환 후 이동한 영역의 면적
|
ipsin** |
2022-11-17 |
| 글제목 |
선형변환 후 이동한 영역의 면적 |
| 작성자 |
ipsin** |
등록일 |
2022-11-17 |
|

|
|
| └ |
답변입니다. |
anamso** |
2022-11-18 |
| 글제목 |
답변입니다. |
| 작성자 |
anamso** |
등록일 |
2022-11-18 |
|
결론부터 얘기하면 3차원 점 변환을은 공식이 유효하지 않습니다.
변형된 넓이는 변형전넓이에 행렬식을 곱하라 배웠죠.
그 원리는 설명을 하지 않았고 교재에도 없는 내용입니다.
이해하려면 복잡한 내용이 순차적으로 들어가기 때문에 설명하지는 않습니다.
사실 기출 중에 3차원 좌표를 준 적이 없는데요.
중앙대에서 이걸 낸 적이 한번 있었고
억울하겠지만 공식을 외운 수험생이 오히려 틀린 문제입니다.
처음 좌표가 3차원이면 직접 돌려서 구해야겠습니다. |
|
| 1066 |
급수의 수렴에 대해 질문 있습니다.
|
sehyun07** |
2022-11-17 |
| 글제목 |
급수의 수렴에 대해 질문 있습니다. |
| 작성자 |
sehyun07** |
등록일 |
2022-11-17 |
|
안녕하세요 교수님!
다름이 아니라, 미분2 급수 부분 44쪽 유형학습 2번 급수의 수렴 문제에 대해서 질문이 있습니다. 보기의 (라) 조건 급수 an이 수렴하면 극한값 이다.
라는 조건이 거짓이라고 합니다. 혹시 이 거짓인 이유에 대한 반례가 뭔지 궁금합니다. |
|
| └ |
으아 |
anamso** |
2022-11-18 |
| 글제목 |
으아 |
| 작성자 |
anamso** |
등록일 |
2022-11-18 |
|
어렵네요..
골똘히 생각해본 반례가...
일단 an 무한대가 0으로 가면서.... 절대값까지 고려한다면
..........!!!!
아래 적어봅니다.

|
|
| 1065 |
역삼각함수안에 삼각함수
|
wodn04** |
2022-11-16 |
| 글제목 |
역삼각함수안에 삼각함수 |
| 작성자 |
wodn04** |
등록일 |
2022-11-16 |
|
답이 1번이었습니다 저도 f(x)를 x로 두고 풀었는데 왜 틀린건지 모르겠어요.. |
|
| └ |
맞는데요?!! |
anamso** |
2022-11-18 |
| 글제목 |
맞는데요?!! |
| 작성자 |
anamso** |
등록일 |
2022-11-18 |
|
치환 잘하셨고 arcos(cosx)=x 입니다.
그래서 답이 3번 아닌가요?!
만약 3번이 답이 아니면 arccos 범위트릭이 있는거 같은데 당장 눈에 보이진 않는군요.

|
|
| 1064 |
감마함수
|
ipsin** |
2022-11-16 |
| 글제목 |
감마함수 |
| 작성자 |
ipsin** |
등록일 |
2022-11-16 |
|

|
|
| └ |
그냥 외웁니다. |
anamso** |
2022-11-18 |
| 글제목 |
그냥 외웁니다. |
| 작성자 |
anamso** |
등록일 |
2022-11-18 |
|
부분적분으로 푸는게 맞지만 수가 어려워지만 식이 복잡해지기에
그냥 외웁니다.
(-1/2)! 도 감마함수 유도과정 중에 만들어지는데 실전에서 이걸 푸는 건 적합하지 않습니다.
이것도 그냥 외웁니다.
이해하고 싶으시면
https://www.youtube.com/watch?v=5K3tfbA5gtk
요 강의를 짧게 들어보세요! |
|
| 1063 |
정칙특이점
|
ipsin** |
2022-11-16 |
| 글제목 |
정칙특이점 |
| 작성자 |
ipsin** |
등록일 |
2022-11-16 |
|
교수님 정칙특이점을 실전에서 스킵한다고 한다할지라도 풀이하는 과정들을 보고싶은데 볼 수 있을지가 궁금합니다. |
|
| └ |
답변입니다. |
anamso** |
2022-11-18 |
| 글제목 |
답변입니다. |
| 작성자 |
anamso** |
등록일 |
2022-11-18 |
|
정칙특이점 복소수 강의에서 설명합니다!
다만... 복소함수론을 제대로 팔려면 너무 오래걸리고 머리가 터집니다.
그래서 강의에서는 정말 아주 기본적인 설명만 해놨습니다.
그런데.. 중앙대 최근 기출에서 도를 넘은 문제가 출제되었습니다.
이건 제 기존 강의로는 커버가 되지 않습니다.
저는 당연히 버리라고 하는데요.
그래도 더 풀고 싶고 궁금하다면 답변 해드리겠습니다. |
|
| 1062 |
중앙대 기출 2022년
|
kyj3** |
2022-11-16 |
| 글제목 |
중앙대 기출 2022년 |
| 작성자 |
kyj3** |
등록일 |
2022-11-16 |
|
안녕하세요 선생님 2022년도 중앙대 공업수학 답지를 구할려고 하는데 답지가 잘 나오지가 않네요,,, 혹시 사이트나 파일 있으시면 공유 부탁드려도 될까요....ㅠ |
|
| └ |
답변입니다. |
anamso** |
2022-11-18 |
| 글제목 |
답변입니다. |
| 작성자 |
anamso** |
등록일 |
2022-11-18 |
|
아직 저도 파일로 받지 못한 상태인데요.
곧 받게 되면 바로 올려드릴게요!
이번달 말에 한번 더 글올려주시겠어요?! |
|
| 1061 |
17성대41번
|
ipsin** |
2022-11-16 |
| 글제목 |
17성대41번 |
| 작성자 |
ipsin** |
등록일 |
2022-11-16 |
|



정확히는 1번 원넓이식에서 d세타를 창조해준건데.. 수업에서 여러가지의 적분식 인테그랄ydx부터 시작해서 인테그랄파이y^2dx등등이 있지만 가장 예를 들기 쉽게 인테그랄ydx가 넓이를 다 더한 식인데 이것도 처음에 그림그려서 ydx가 하나의 넓이이고 이거를 다 더하고 싶으니까 이 ydx라는 식에다가 인테그랄을 붙인게 다고 여기에서 dx가 있으니까 적분구간을 이 dx에 맞춰서 x=a, x=b까지 이렇게 해서 넓이를 구할 수가 있었는데 여기서 말하고 싶은 바는 ydx라는 넓이 식에서 인테그랄을 씌운거잖아요. dx를 창조해낸 것이 아니라. 근데, 제가 풀이한 1번 원넓이식에서 원넓이식 파이*반지름^2에서 z축을 제거한 식인 파이*코사인제곱세타를 만들어서 여기에서 다 더하고 싶으니까 인테그랄을 씌웠는데 여기서 d세타가 없더라구요.. 그래서 d세타를 그냥 창조해줬는데 "알아서" 이렇게 써서 푼 것이 아니라 애매모호하게 해서 푼 거라서 잘 모르겠습니다. 특히 이 부분이..
앞에서 언급한 대로 시간이 너무 오래걸려서 답지를 보니까 파푸스를 이용해서 풀었는데


|
|
| └ |
답변입니다. |
anamso** |
2022-11-18 |
| 글제목 |
답변입니다. |
| 작성자 |
anamso** |
등록일 |
2022-11-18 |
|
일단 그림이 잘못 그려졌습니다.
r=cos세타는 우리가 외웠다시피 지름이 1인 원입니다.
x와 y가 세타와 연관되있기 떄문에 세타값이 정해지면 x,y도 정해집니다.
해설 풀이도 약간 어거지로 되어있는데
아래 새로 푼 건 올려놓겠습니다.
참고로 이 문제는 현장에서 풀면 안되는 문제입니다.

|
|
| 1060 |
18성대8번재질문
|
ipsin** |
2022-11-16 |
| 글제목 |
18성대8번재질문 |
| 작성자 |
ipsin** |
등록일 |
2022-11-16 |
|


식이 (y-5)^2pi가 나온건 어떻게 이해하겠다고쳐도 적분구간이 0~1이 아니라 1~2가 나온 이유가 무엇인가요? 왜 이렇게 되는지 모르겠습니다.

|
|
| └ |
답변입니다. |
anamso** |
2022-11-16 |
| 글제목 |
답변입니다. |
| 작성자 |
anamso** |
등록일 |
2022-11-16 |
|
0~1이라고 하려면 y축(x=0)이라는 말이 있어야 하는데 그런 말이 없습니다.
문제에서 워딩이
주어진 함수와
x=1 세로선과 과 y=5 가로선으로 둘러싸인 부분은 해설에서 그려지 범위값이 됩니다. |
|
| 1059 |
상미분방정식 적분인수에 관련해서 질문 있습니다.
|
sehyun07** |
2022-11-15 |
| 글제목 |
상미분방정식 적분인수에 관련해서 질문 있습니다. |
| 작성자 |
sehyun07** |
등록일 |
2022-11-15 |
|
안녕하세요 교수님!
다름이 아니라, P(x,y)dx + Q(x,y)dy=0 꼴에서 Py!=Qx 라면 적분인수를 구해서 곱해서 완전미방으로 만들라고 했던것이 기억이 납니다. 이때 3가지 형태가 있는데 , 문제에서 만약 X에 관한 적분인수를 만들어서 쓰라고 하면 그렇게 할 수 있는데 아예 힌트가 없거나 보기가 없는 경우 이 3가지 경우의 수를 모두 일일이 식을 써서 구해야 하는지 궁금합니다!
|
|
| └ |
완전비방 |
anamso** |
2022-11-16 |
| 글제목 |
완전비방 |
| 작성자 |
anamso** |
등록일 |
2022-11-16 |
|
일일히 다 구해봐야합니다 ㅠ
하지만!!
기출을 풀면 알겠지만 적분인수가 보기에 주어져있거나
이때는 그냥 적분인수를 붙여서 확인하면 되니까 쉽죠?
혹은 최근 성대문제처럼 적분된 값이 주어져있는데요.
이런 경우 그냥 1번~5번부터 차례대로 다시 미분해서 체크하면 역으로 유추할 수 있습니다.
완전미방 적분인자는 새로 구하려고 하지말고 최대한 보기를 이용해야해요. 안그러면 너무 오래걸려요. |
|
| 1058 |
세종대 기출 질문
|
khy65** |
2022-11-15 |
| 글제목 |
세종대 기출 질문 |
| 작성자 |
khy65** |
등록일 |
2022-11-15 |
|
지금 집에서 가까운... 세종대 목표로 기출 풀어보고 있는데요! 기출풀면서 쉬운건 무조건 맞고 어려운건 찍자..라는 마음으로 풀고있는데 풀다보니까 지금봤는데 오답감점제라는게 있네요..? 이럴 경우에 찍어도 못 맞추겠다 싶은 문제는 아예 답을 체크 안하는 것도 괜찮나요..? 혹시 무슨 전략이 있을까 하여 질문드립니다! ㅠ

|
|
| └ |
답변입니다. |
anamso** |
2022-11-16 |
| 글제목 |
답변입니다. |
| 작성자 |
anamso** |
등록일 |
2022-11-16 |
|
네 세종대 같은 경우 오답감점이 있죠.
배점의 1/5인데요. 수험생 입장에서 쫄릴 수 밖에 없지만.
찍기를 제가 평소 강조해온 방식으로 근거 있게 찍을 수 있다면 당연히 찍어야죠.
하지만 정말 아무 근거 없이 찍는다면 찍지 말아야겟습니다.
PS: 하지만 저라면 그래도 찍어서 운이라도 바라겠습니다... 5개찍어서 1하나만 맞춰도 본전이잖아요. 다틀리면 정말 운이 없는거.. |
|
| 1057 |
중앙대 22년도 30번
|
kyj3** |
2022-11-15 |
| 글제목 |
중앙대 22년도 30번 |
| 작성자 |
kyj3** |
등록일 |
2022-11-15 |
|
| 안녕하새요 선생님
중앙대학교 22년도 문제를 풀다가 모르는 문제가 생겨서 질문하겠습니다
첫번째 식을 유수 정리를 하려는데 세번 미분을 해야되서 과연 시험장에서 풀 시간이 될까는 생각이 들었습니다
혹시 여기에 간단한 공식이 있을까요?
그리고 두번째 식은 강좌에서 안나오는 유형이었습니다 하지만 21년도 중앙대 기출에 있어서 답지를 봤더니 1/z 만 신경쓰면 된다고 했습니다. 이 문제도 역시 1/z만 신경쓰면 되는 문제인가요?
|
|
| └ |
답변입니다. |
anamso** |
2022-11-16 |
| 글제목 |
답변입니다. |
| 작성자 |
anamso** |
등록일 |
2022-11-16 |
|
아쉽게도 간단한 공식은 없습니다 ㅠ 해설에 나와 있는 그대로 따라하는 수 밖에 없습니다.
최근 중앙대 기출에서 제가 다룬 복소함수 내용을 벗어난 게 나오고 있어요.
올해 또 출제자가 뭘 낼지 몰라요.. 정말 에휴...
그래서 복소함수를 풀바에 다른 유형 문제를 확실히 푼다는 마인드로 접근하는게 좋다고 얘기했지만
굳이 복소함수를 맞추고 싶다면 이해를 넘어 그냥 기출 문제를 통으로 외우는 수 밖에 없겠습니다.
|
|
| 1056 |
로그 계산 관련하여 질문이 있습니다.
|
sehyun07** |
2022-11-15 |
| 글제목 |
로그 계산 관련하여 질문이 있습니다. |
| 작성자 |
sehyun07** |
등록일 |
2022-11-15 |
|

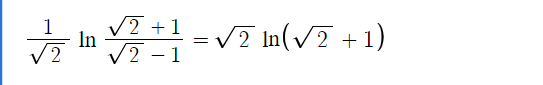
미적분 2 343쪽 문제에서 로그 계산을 하는데, 이 부분이 어떻게 이렇게 되는지 이해가 되지 않습니다..
|
|
| └ |
유리화해야합니다! |
anamso** |
2022-11-16 |
| 글제목 |
유리화해야합니다! |
| 작성자 |
anamso** |
등록일 |
2022-11-16 |
|


|
|
| 1055 |
질문
|
ipsin** |
2022-11-15 |
| 글제목 |
질문 |
| 작성자 |
ipsin** |
등록일 |
2022-11-15 |
|

맞다면 뭘 보고 이 문제가 복소평면으로 구하는 문제인 것을 판단할 수 있나요?
또한, 공업수학 강의에서는 감마함수를 언급하고 있었는데 이때까지 교수님 커리큘럼을 들어오면서 감마함수를 배운적이 없는데 이 경우는 어떻게 해야 하나요? |
|
| └ |
답변입니다. |
anamso** |
2022-11-16 |
| 글제목 |
답변입니다. |
| 작성자 |
anamso** |
등록일 |
2022-11-16 |
|
분모의 정수로는 인수분해가 안되는 방정식이 있을 때 복소수를 해야합니다.
x^2+1 은 실수로는 인수분해가 안되고 (x+i)(x-i) 처럼 i를 이용해야하죠. 복소수를 써야합니다.
감마함수는 적분1 p.57 내용에 있는데요.
최근 업로드된 강의에선 요 내용이 빠져있었나요?!
문제가 e^-x * x^n 적분형태로 주어질텐데
p.57 상단 감마함수 정의식을 외우면 감마함수 관련 문제는 다 풀릴니다.
추가적으로 (-1/2)! = 루트pi 까지 외우면 좋겠습니다.
|
|