| 994 |
질문..
|
ipsin** |
2022-10-23 |
| 글제목 |
질문.. |
| 작성자 |
ipsin** |
등록일 |
2022-10-23 |
|


답이 안나오는 이유가 뭔지 모르겠습니다.
|
|
| └ |
안되는 이유 |
anamso** |
2022-10-24 |
| 글제목 |
안되는 이유 |
| 작성자 |
anamso** |
등록일 |
2022-10-24 |
|
사실 극값의 f'(x)=0 인 점을 찾는게 아니라
원래 부호가 바끼는 점을 찾는 겁니다. 하지만 '일반적'으로는 0을 기준으로 부호가 바뀌기 때문에
f'(x)=0 인 점을 찾아 집어넣죠.
주어진 식은 일단 일반적이지 않은 경우죠? 삼각함수라 -1~1을 벗어날 수 가 없습니다.
삼각함수값이 1이 0이라고 해도 결국 부호가 바껴야하는데 1보다 커질 수 없어서 부호가 바뀌지가 않아 극값이라 볼 수 없겠습니다.
그리고 보통 극값은 주어진 범위 '안'에 존재하고 범이 경계선 값으로 답이 되는 경우는 없기 때문에
그냥 -1 1을 제외하고 푸는게 속편합니다. |
|
| 993 |
pg315 유형학습 2 계산
|
edga** |
2022-10-22 |
| 글제목 |
pg315 유형학습 2 계산 |
| 작성자 |
edga** |
등록일 |
2022-10-22 |
|
유형학습2번에서 x바는 계산이 잘되었는데, y바를 계산하는데 자꾸 답이랑 틀리게 나오더라구요... 귀찮으시겠지만 y바 계산하는거 풀이한번만 올려주실수있으신가요? 감사합니다.. |
|
| └ |
다소 복잡 |
anamso** |
2022-10-22 |
| 글제목 |
다소 복잡 |
| 작성자 |
anamso** |
등록일 |
2022-10-22 |
|
밑에 쓰인 것처럼 y바를 기존 y바 쓰이는 공식으로 쓰면 안됩니다!

|
|
| 992 |
20숭실20번
|
ipsin** |
2022-10-21 |
| 글제목 |
20숭실20번 |
| 작성자 |
ipsin** |
등록일 |
2022-10-21 |
|

가와 나보기는 풀었는데
(다)보기를 저렇게 풀어서 극점이 안나온다고 풀었는데 해설지에서는 "하나의 교점을 가지며 이때 f(x)는 극솟값을 갖는다."라고 나와있어서 질문드립니다. |
|
| └ |
와우 |
anamso** |
2022-10-22 |
| 글제목 |
와우 |
| 작성자 |
anamso** |
등록일 |
2022-10-22 |
|
그래프 그려서 정말 잘 풀엇어요!
그런데 왜 (다)를 풀 때 갑자기 그래프를 버리고 해석하려고 ㅠ 그래서 실수가 나았습니다.
일단 일반적인 방정식이라면 그렇게 해석할 수 있지만 지금 상황은 보이다시피
x가 오직 양수일 때만 고려해야해요. 그래서 교점이 1개라고 해서 이게 중근이라고 볼 수 없는 것이죠.
그림에서 보이다시피 2a가 양수일 때 미분값은 지금 보라색으로 표시한 부분 이전에는 - 이고 그 이후는 + 입니다.
딱 하나의 극솟값이 존재하겠네요.
그래프 이쁘게 잘 그렸는데 (다)만 왜 그래프를 떠나 해석했는지 아쉽 ㅠ |
|
| 991 |
행동등행렬이 뭐죠..
|
tlsaudc** |
2022-10-21 |
| 글제목 |
행동등행렬이 뭐죠.. |
| 작성자 |
tlsaudc** |
등록일 |
2022-10-21 |
|
찾아봐도 알수가없네요 |
|
| └ |
랭크가 같은 행렬입니다! |
anamso** |
2022-10-22 |
| 글제목 |
랭크가 같은 행렬입니다! |
| 작성자 |
anamso** |
등록일 |
2022-10-22 |
|
용어를 한글로 번역하면 너무 다양해지죠. 차라리 영어로 통일시켜주면 좋으련만 ㅠ
아무튼 행동등=랭크가 같은 행렬
|
|
| 990 |
명사뒤에 pp나 ing가 따라붙엇을때
|
twice08** |
2022-10-21 |
| 글제목 |
명사뒤에 pp나 ing가 따라붙엇을때 |
| 작성자 |
twice08** |
등록일 |
2022-10-21 |
|
(주관대+be 동사 ) 생략으로 보라고하셧엇는데 , 제가 지금 문법 분사파트를공부하는데 the girl playing the piano = The girl is playing the piano 로 되어있더러구요.
엄밀히 말하면 형진샘 말씀대로 girl 과 is 사이에 주관대를 추가해서봐야 윗 문장과 뜻이 완전히 일치하게되는거겟죠? 강의항상감사합니다 |
|
| └ |
답변^^ |
hj_jeo** |
2022-10-29 |
| 글제목 |
답변^^ |
| 작성자 |
hj_jeo** |
등록일 |
2022-10-29 |
|
그렇지ㅎㅎ 항상 답을 먼저 유추하고 질문하는 태도가 너무 좋네~^^ |
|
| 989 |
20숭실21번
|
ipsin** |
2022-10-21 |
| 글제목 |
20숭실21번 |
| 작성자 |
ipsin** |
등록일 |
2022-10-21 |
|

|
|
| └ |
피타고라스 |
anamso** |
2022-10-22 |
| 글제목 |
피타고라스 |
| 작성자 |
anamso** |
등록일 |
2022-10-22 |
|
일단 h^2+r^2=100 을 왜 썻는지 생각해봐야 합니다.
이 식은 h와 r을 높이 밑변을 갖는 직각 빗변 10을 의미하죠? 하지만 그려준 그림대로
빗변이 10이고 할 수 있는 근거는 없습니다.
아랫그림처럼 h-10을 해야합니다

|
|
| 988 |
문재웅용 2 질뮨입니다.
|
twice08** |
2022-10-21 |
| 글제목 |
문재웅용 2 질뮨입니다. |
| 작성자 |
twice08** |
등록일 |
2022-10-21 |
|
The Native American inherited . 이 안되는 이유가 inherit 이 물려받다라는 의미라서라고 하셨는데, 그러면 저 문장이 The Native American (was) inherited (by somebody). 이기때문에 말이 안 되는 것이라고 이해해도되나요? 능동문은 Somebody inherited The Native American. 라고 이해해도 될까요?ㅠㅠ 능동수동 어렵스니다... |
|
| └ |
답변^^ |
hj_jeo** |
2022-10-21 |
| 글제목 |
답변^^ |
| 작성자 |
hj_jeo** |
등록일 |
2022-10-21 |
|
그렇지ㅎㅎ 그자리에 inherited가 들어가면 pp가 되는거고 native American을 물려받는건 말이 안되니까ㅎㅎ 잘했어요ㅎㅎ |
|
| 987 |
19건대27번
|
ipsin** |
2022-10-20 |
| 글제목 |
19건대27번 |
| 작성자 |
ipsin** |
등록일 |
2022-10-20 |
|

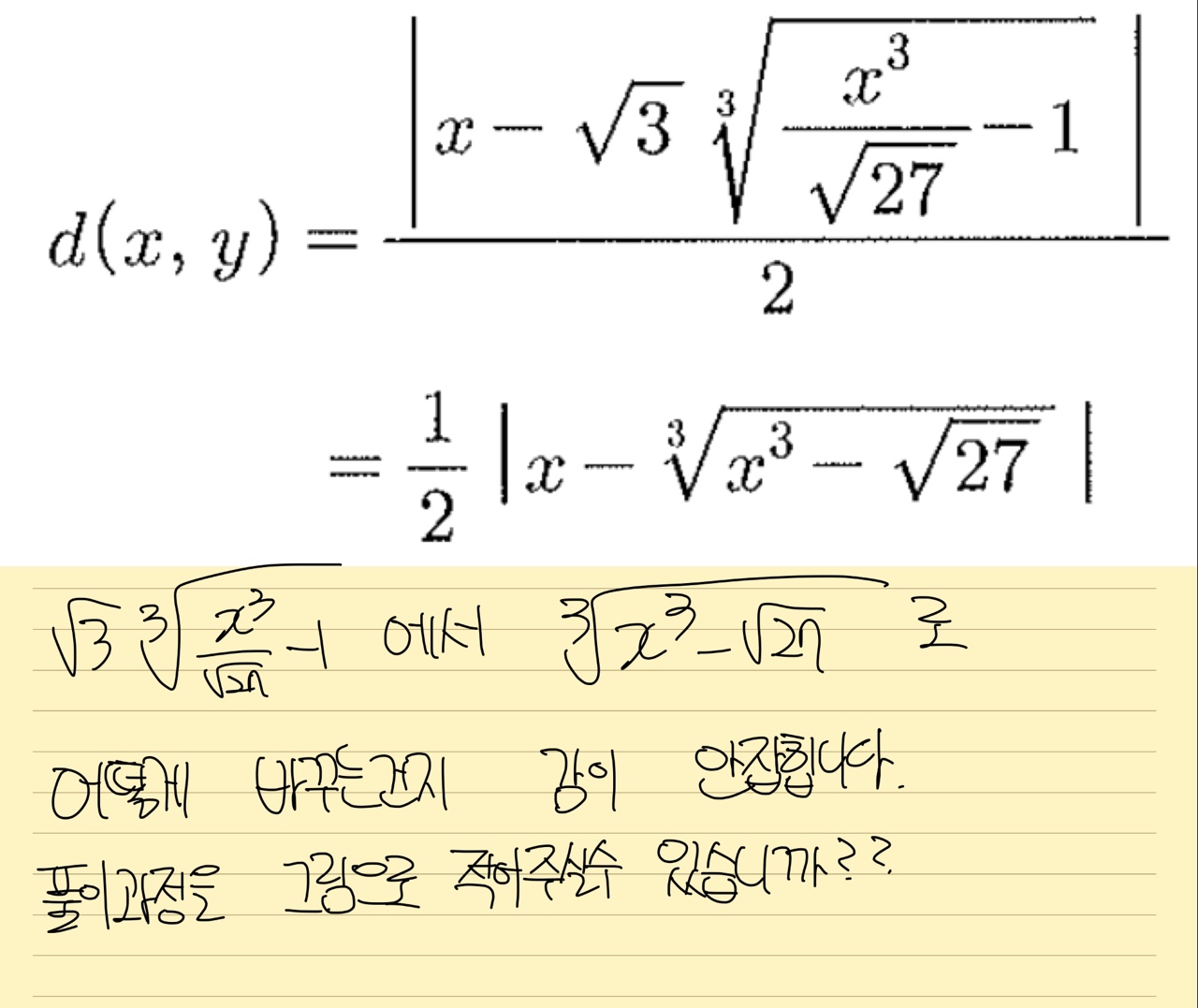
저렇게 바꿔주는 과정을 잘 모르겠습니다.
|
|
| └ |
여기! |
anamso** |
2022-10-22 |
| 글제목 |
여기! |
| 작성자 |
anamso** |
등록일 |
2022-10-22 |
|
아래처럼 쏙 집어넣으면 되겠습니다! 근데 그거랑 별개로 이 문제는 실전에서 스킵해야 합니다.

|
|
| 986 |
건국대학교 2
|
20** |
2022-10-20 |
| 글제목 |
건국대학교 2 |
| 작성자 |
20** |
등록일 |
2022-10-20 |
|
선생님, 바쁘신 와중에 답변 감사합니다. ㅠ ㅠ! 기초부터 기출까지 '건국대학교' 편입을 준비하려면 이강휘 선생님의 어느 과목을 이수하면 좋을지 필수 이수 과목명 추천 부탁드립니다. ( 예 : [2024 최신대비][이강휘] 편입 기초 고등수학' ) 아무런 기초도 없습니다. ㅠ ㅠ... 건국대학교에서 출제하는 범위 안에서 준비하려고 합니다. 감사합니다. |
|
| └ |
답변입니다. |
anamso** |
2022-10-22 |
| 글제목 |
답변입니다. |
| 작성자 |
anamso** |
등록일 |
2022-10-22 |
|
건국대 정말 좋죠. 캠퍼스 너무 이쁘고 위치도 너무 좋고 ㅎㅎ
하지만 건국대 편입은 다른 학교랑 좀 달라서 골치도 아파요.ㅠ
일단 영어수학을 1시간 안에 봐야합니다. 그래서 문제풀이 스킬이 정말 중요한 학교입니다.
정말 맛있는 것만 골라 먹어야 하거든요.
그리고 공업수학은 안나오고 선형대수도 온전히 나오지 않습니다. 선형대수에서 고등학교 기하벡터가 주로 나오죠.
그렇다고 우리가 건대만을 위해 고등학교 기벡을 할 순 없고 선형대수에서 접한 내용을 기본으로 접근하셔야 합니다.
커리큘럼은 기초-극학미분1-적분1-선형대수(정말정말 건대만 가고 싶으면 평면직선벡터부분만)-중적분, 까지 하면 됩니다.
저는 기초는 쉬운 고1베이스로 하고 있구요.
일단 들어보시고 소화하기 힘들면 제게 말해주시면 더 쉬운 교재를 추천해드릴게요!!
|
|
| 985 |
건국대학교
|
20** |
2022-10-19 |
| 글제목 |
건국대학교 |
| 작성자 |
20** |
등록일 |
2022-10-19 |
|
안녕하세요, 선생님 ^^ 건국대학교 편입수학 기출 5개년 강의 만들어 주실 수 있나요~? 정말 간절합니다. ㅠ ㅠ....!!!!! |
|
| └ |
헉 5개년이요?! |
anamso** |
2022-10-19 |
| 글제목 |
헉 5개년이요?! |
| 작성자 |
anamso** |
등록일 |
2022-10-19 |
|
건대만 5개년까지는 힘들거 같은데...ㅠ
건대시험은 너무 적은 30분안에 맛있는걸 골라 먹는 스킬이 굉장히 중요해요.
너무 어려운 중적분이나 벡터 문제는 처다도 보지말고요.
건대 시험전에 5개년을 정리합 자료를 만들어 공유하겠습니다. |
|
| 984 |
학습방법 질문있습니다.
|
hoseong07** |
2022-10-19 |
| 글제목 |
학습방법 질문있습니다. |
| 작성자 |
hoseong07** |
등록일 |
2022-10-19 |
|
안녕하세요 선생님🙂 제가 8월부터 시작해서 수업시간에 같이 푼 문제들 위주로 복습하면서 미적분2까지 진도를 나갔습니다. 남은 기간 동안 기출문제 위주로 푸는 것이 좋을까요? 아니면 기출문제 수를 줄이고 책에 있는 다른 유형이나 기출예상문제를 푸는 게 좋을까요? |
|
| └ |
기출!! |
anamso** |
2022-10-19 |
| 글제목 |
기출!! |
| 작성자 |
anamso** |
등록일 |
2022-10-19 |
|
진도를 다 나갔따면 기출 빨리 푸는게 좋아요.
기출을 풀면서 기출에 나온 유사한 문제를 우리가 풀어본 문제랑 비교하면서 푸는게 best 입니다!
기출 처음 풀 때는 시간재지말고 오픈북하면서 사전처럼 찾아서 풀어보세요 :) |
|
| 983 |
자료
|
choiqhdt** |
2022-10-18 |
| 글제목 |
자료 |
| 작성자 |
choiqhdt** |
등록일 |
2022-10-18 |
|
자료가 동국대 해설 답지네요. 다시 올ㄹ주세요. |
|
| └ |
안녕하세요, |
adm** |
2022-10-27 |
| 글제목 |
안녕하세요, |
| 작성자 |
adm** |
등록일 |
2022-10-27 |
|
안녕하세요, 해커스편입입니다.
현재 문의주신 강의에 동국대[자연계] 문제 및 해설 자료가 있는 점을 확인했습니다.
요청하시는 자료를 구체적으로 말씀해주시면 확인 후, 답변드리겠습니다. |
|
| 982 |
자료
|
sdj45** |
2022-10-17 |
| 글제목 |
자료 |
| 작성자 |
sdj45** |
등록일 |
2022-10-17 |
|
이현수 교수님 핸드아웃 중 탑시크릿은 일반 해설로 되어있는데, 만약 업로드 오류라면 시간내주셔서 한번만 부탁드리겠습니다! |
|
| 981 |
질문!
|
syj37** |
2022-10-16 |
| 글제목 |
질문! |
| 작성자 |
syj37** |
등록일 |
2022-10-16 |
|
안녕하세요! 매번 친절하게 답해주셔서 감사합니다 ;)
1) 이화여대는 어떤 식으로 준비하면 좋을까요?
2) 이화여대 기출 있으면 보내주시면 감사하겠습니다! tiara3782@naver.com
3) 10월 1일에 친 홍익대학교 자연계 모의고사 수학 36번 퇴화차원 구하는 문제 강의를 들었는데 설명을 잘 안 해주셔서 혹시 설명 해주실 수 있을까요? |
|
| └ |
답변드립니다. |
sh_h** |
2022-10-17 |
| 글제목 |
답변드립니다. |
| 작성자 |
sh_h** |
등록일 |
2022-10-17 |
|

|
|
| 980 |
21성대 45번
|
ipsin** |
2022-10-16 |
| 글제목 |
21성대 45번 |
| 작성자 |
ipsin** |
등록일 |
2022-10-16 |
|


무엇을 놓쳤을까요.. 혹시 몰라서 공수 특수해 구하는 파트를 다시 복습해봤는데도 이렇게 푸는게 맞는데 정답이 안나오네요 ㅠ |
|
| └ |
엇 크나큰 잘못을... |
anamso** |
2022-10-19 |
| 글제목 |
엇 크나큰 잘못을... |
| 작성자 |
anamso** |
등록일 |
2022-10-19 |
|
잘햇는데
f(D)=sinx or cosx 는 1-bD+(b^2-a)D^2 을 쓰는게 아니라
m sin nx = me^nix 를 만들고 실수부분허수부분 쓰는 공식인
m/(알파제곱+베타제곱)*(acosnx-bsinnx) 기억나시나요?!!
요걸 쓰면 나옵니다! |
|