| 1024 |
정사영정리에 관한 쓰임새
|
ipsin** |
2022-11-09 |
| 글제목 |
정사영정리에 관한 쓰임새 |
| 작성자 |
ipsin** |
등록일 |
2022-11-09 |
|


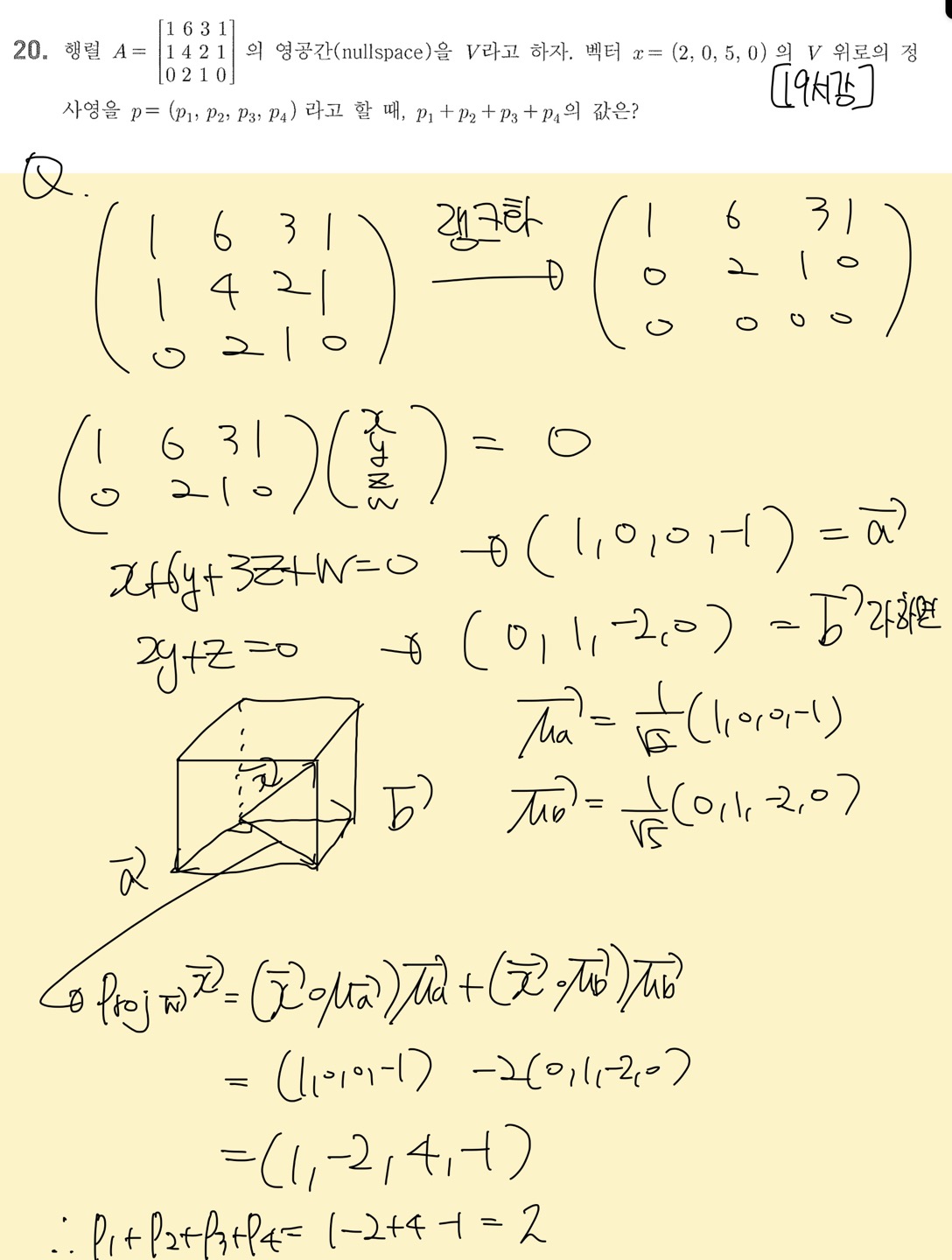
더 정확하게 말씀드리자면 정사영 정리를 왜 쓰는지 이유를 모르겠어요.. 사실 영공간의 기저가 2개의 벡터가 나오는데 (1,0,0,-1) 이랑 (0,1-2,0)으로 나오는데요 여기서 그냥 두 벡터 중 하나를 골라서 x벡터 정사영시키면 안되나요?
|
|
| └ |
정사영 정리를 쓰는 이유 |
anamso** |
2022-11-10 |
| 글제목 |
정사영 정리를 쓰는 이유 |
| 작성자 |
anamso** |
등록일 |
2022-11-10 |
|
정사영 정리를 쓰는 이유는
어떠한 특정한 한개의 벡터 위에 정사영한 게 아니라 평면과 같은 여러 벡터로 이루어진 공간위에 할 때 씁니다.
보통 두 벡터로 이루어진 평면을 주로 물어봅니다. 3차원이상이 되면 엄청 복잡하기 떄문에.
지금 그림에서 w라는 평면위에 올린 정사영을 구하라 한 것이구요.
물론 정사영 v 바로 밑에 있는 벡터를 알 수 있다면 그 벡터와 정사영벡터를 구하면 됩니다. 근데 바로 밑에 놓인 벡터는 주어져 있지 않기 떄문에
x축과 y축과 대응되는 u1, u2와 정사영을 하고 벡터합으로 표현 한 것이지요.
정사영 정리를 쓸 때 꼭 직각일 필요가 없으나 직각이 아닌 경우는 다른 추가적인 체크사항이 필요합니다. 그런 불필요를 막기 위해 그냥 직각 상태의 벡터를 이용합니다. |
|
| 1023 |
19서강11번
|
ipsin** |
2022-11-08 |
| 글제목 |
19서강11번 |
| 작성자 |
ipsin** |
등록일 |
2022-11-08 |
|

곡면식을 구해야 그라디언트에프를 구해서 접평면을 만들 수 있는데 중요한게 곡면식을 못만들겠습니다. 어떻게 만드나요? y^2이 어떻게 나오는걸까요..? |
|
| └ |
y^2 ! |
anamso** |
2022-11-10 |
| 글제목 |
y^2 ! |
| 작성자 |
anamso** |
등록일 |
2022-11-10 |
|
일단 z=x^2+y^2 알죠? 근데 이 식은 y=x^2을 y축으로 돌린 모양이죠?
저거 역시 +1 일 뿐 y=x^2 을 돌린것뿐 그러면 z=x^2+y^2 인걸 '직관'적으로 알 수 있습니다.
z축 기준에 빙글 돌린 모양이라 z 머리 꼭대기서 보면 원처럼 돌기 때문에 원식이 되어야 하므로 x^2+y^2이 표현되기도 하구요.
|
|
| 1022 |
19서강7번
|
ipsin** |
2022-11-08 |
| 글제목 |
19서강7번 |
| 작성자 |
ipsin** |
등록일 |
2022-11-08 |
|


|
|
| └ |
무한급수문제 |
anamso** |
2022-11-10 |
| 글제목 |
무한급수문제 |
| 작성자 |
anamso** |
등록일 |
2022-11-10 |
|
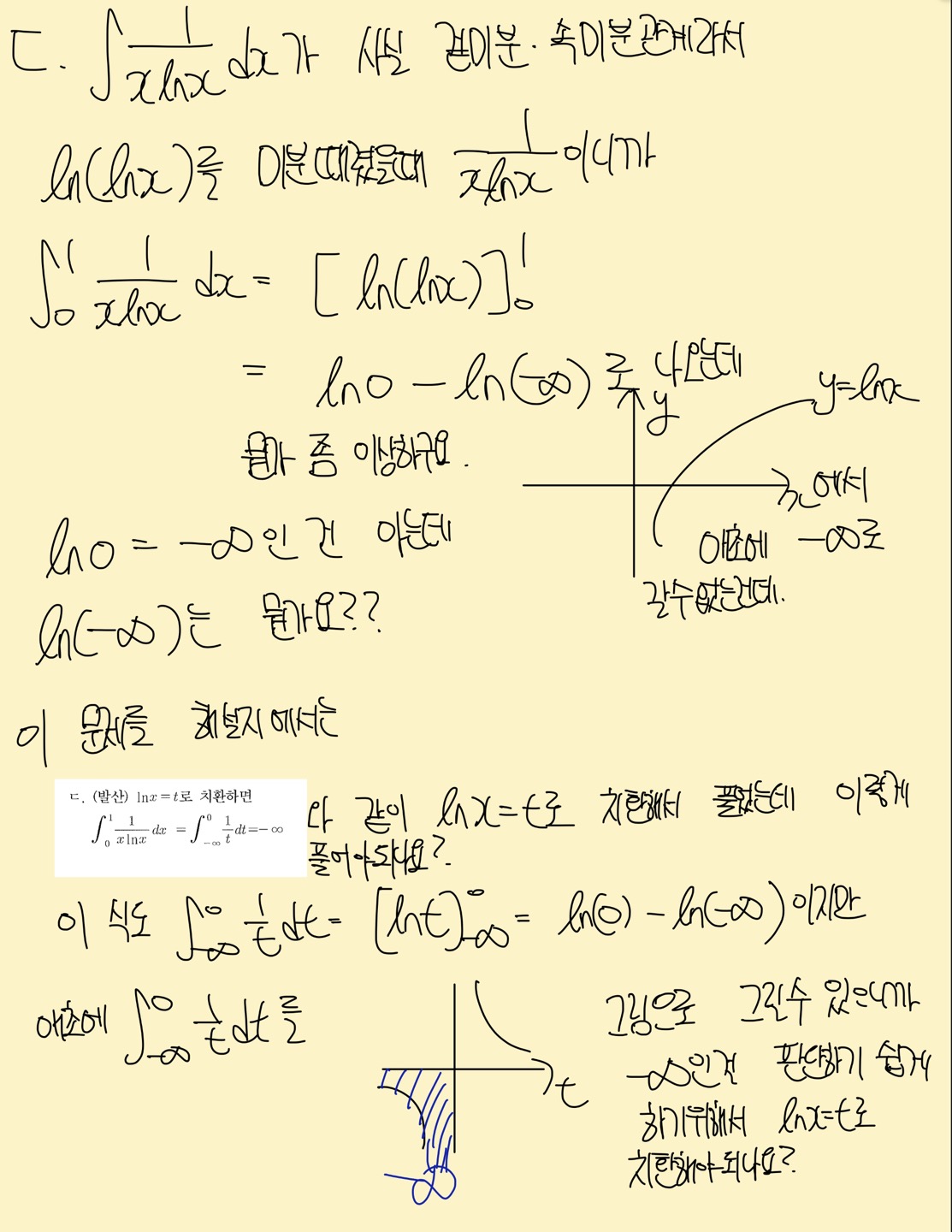
ㄱ. 무조건 1/x보다 밑에 있으면 수렴입니다. 주어진 식은 x^2/e^root2 네요. 가장 큰 지수함수가 분모에 있습니다. 당연히 분모가 엄청 크니 1/x보다 밑에 그려질 수 밖에 없습니다. 그러니 수렴입니다.
ㄷ.해설처럼 치환해도 되고 ln(-무한대)는 애초에 ln은에 양수값만 집어넣을 수 있습니다. 그래서 절대값을 씌어서 그래프에서 ln무한대입니다. ln무한대는 그냥 무한대일 뿐이죠. 그럼 무한대-무한대인데 어느 무한대가 더 큰 무한대인지 판단하려면 또 다른 극한을 표현을 더 써야하는데. 그렇게 하는건 불필요하죠.
이런 번거로움 때문에 그냥 애초 1/x(lnx)는 발산이고 1/x(lnx)^2는 수렴이라고 수업 때 강조했는데요. 이거 역시 1/x(lnx)는 사실 x보다 작은 lnx가 영향을 크게 주지 않기 때문에 1/x로 봐도 무방합니다.
1/x은 알다시피 발간이구요.
ㄴ. 일단 해설처럼 푸는게 정석인데요. 사실 저 문제가 자주 보는 문제가 아니라 시험장에서 저 문제를 저렇게 푸는 건 사실 힘든일이죠. 그래도 1-t 나 적분구간이 뒤집힐걸 보면 그래도 치환을 하는 모양이란 걸 유추가 됩니다.
문제는 그 이후인데요. 분수함수와 삼각함수라 부분적을 해도 쉬운 모양이 나오지 않습니다.
여기서는 무한급수로 판단하는게 좋습니다.
sint=x-x^3/3! 무한급수로 표현할 수 있죠? 그럼 sin(pi*t)=pi*t-pi^3*t^3/6 이고 이걸 t로 나눈 함수값 역시 존재한다는 걸 알 수 있습니다.
무한급수 문제는 정확히 푸는 건 현실적으로 힘듭니다. 1/x보다 작은지 판단하거나 안되면 급수를 써서라도 빠르게 판단하고 넘어가야합니다.
|
|
| 1021 |
19서강2번
|
ipsin** |
2022-11-08 |
| 글제목 |
19서강2번 |
| 작성자 |
ipsin** |
등록일 |
2022-11-08 |
|


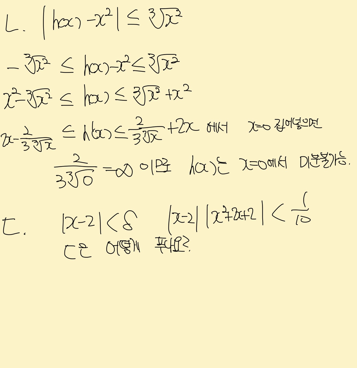
ㄷ은 알듯말듯싶으면서도 어떻게 접근해야 될까요?
|
|
| └ |
답변입니다. |
anamso** |
2022-11-09 |
| 글제목 |
답변입니다. |
| 작성자 |
anamso** |
등록일 |
2022-11-09 |
|
ㄱ. f(x)+g(x)는 미분불가능하지만 f(x)g(x) 미분가능한 함수 찾으란 말입니다. 예를 집어넣은 x^3 + |x| 는 f(x)+g(x)는 미분불가능이지만 x^3*|x|는 미분가능한 좋은 예네요.
ㄷ.은 엄밀한 극한의 정의입니다. 제가 처음 미분강의할 때 거의 안나오는 내용이라 이해하기 힘들면 스킵하라고 했던.. 저 같은 경우는 그래프로 수업을 했는데요.
그런데 애초에 다른 객관식 문제는 구체적으로 델타가 얼만지 물어보는데 이건 존재하냐 안하냐를 물어본 이상한 문제네요. 서술형 문제를 너무 대충 낸 거 같네요.
당연히 존재하죠. 델타를 10을 잡으면 -8 |
|
| 1020 |
unit.81 6번문장 질문입니다.
|
kj041** |
2022-11-08 |
| 글제목 |
unit.81 6번문장 질문입니다. |
| 작성자 |
kj041** |
등록일 |
2022-11-08 |
|
p.160 6번지문
My car isn't working , so i need a skiild mechanic to repair it. 위에 문장에서 뒤에 to repair it이 반드시 mechanic(명사)를 수식하는 형용사구로 구분 해야 하나요? to 부정사의 목적(~하기 위해)을 나타내는 부사구도 가능한지 궁금하여 질문합니다.
꼭 완강 하겠습니다~! 겨울 감기 조심하세요. |
|
| └ |
답변입니다 |
jk6** |
2022-11-08 |
| 글제목 |
답변입니다 |
| 작성자 |
jk6** |
등록일 |
2022-11-08 |
|
불가능 합니다 ^^ 왜냐하면, '~하기 위해'라고 해석을 할 때는 문장의 주어가 부정사의 의미상 주어인 경우 입니다. 예) I need a pencil to write a memo. 나는 메모를 적기위해 펜이 필요하다. (여기서 to write의 의미상 주어는 pencil이 아니고 I)
질문한 예문에서 to repair의 의미상 주어는 문장의 목적어(a skilled mechanic)이므로, '~하기 위해'라고 해석하면 안되는 것입니다. 명쾌하게 구분이 되죠?
좋은 질문이었습니다! 공부는 느리더라도 꾸준히가 중요합니다. 꼭 완강하세요 ^^
응원하겠습니다~! |
|
| 1019 |
추가문제 프린트
|
jhn04** |
2022-11-07 |
| 글제목 |
추가문제 프린트 |
| 작성자 |
jhn04** |
등록일 |
2022-11-07 |
|
안녕하세요! 혹시 추가문제 어디서 출력할 수 있나요? 1강에만 다운 받을 자료가 있다고 뜹니다 ㅠㅠ ! |
|
| └ |
안녕하세요, 해커스편입입니다 :) |
adm** |
2022-11-10 |
| 글제목 |
안녕하세요, 해커스편입입니다 :) |
| 작성자 |
adm** |
등록일 |
2022-11-10 |
|
안녕하세요, 해커스편입입니다.
스파르타 이론완성 [논리] 강좌 1강에서 2주차-8주차까지의 추가문제를 다운 받을 수 있습니다.
자료 확인하시어 수강에 도움이 되길 바랍니다.
감사합니다 :) |
|
| 1018 |
기출문제관련 질문(2)
|
monge6** |
2022-11-07 |
| 글제목 |
기출문제관련 질문(2) |
| 작성자 |
monge6** |
등록일 |
2022-11-07 |
|
목표 대학은 과기대, 시립대, 동국대, 경희대 입니다. 그럼 기출문제집 구매해서 강의를 듣는게 더 나은거죠..?? |
|
| └ |
기출 공부 |
anamso** |
2022-11-09 |
| 글제목 |
기출 공부 |
| 작성자 |
anamso** |
등록일 |
2022-11-09 |
|
기출강의를 많이 듣는 건 딱히 의미가 없을거구요.
저 같은 경우, 기출을 수험생마인드로 푼 강의에요. 어려운 문제는 찍어도 보고, 시간관리 측면에서 어떻게 접근해야할지
그냥 한 두개보면 될 거 같습니다.
지금부터 목표대학 5개년을 그냥 암기하다시피 푸시면 됩니다.
지금 준비하는 대학에 외대나 국민대 정도 추가하면 좋을 거 같아요. 비슷하거든요. |
|
| 1017 |
혼동오는 것.
|
ipsin** |
2022-11-05 |
| 글제목 |
혼동오는 것. |
| 작성자 |
ipsin** |
등록일 |
2022-11-05 |
|
선생님 미분값에서 가령, 미분한 값이 -48x+24=0이라고 하면 여기서 마이너스를 곱해주면 안되는게 맞나요? 원래 등식에서 =0꼴있으면 마이너스를 곱하는게 편하니까 이렇게 풀어왔던거같은데 미분값을 구할 때만큼은 =0꼴이더라도 미분값자체가 -,0,+가 중요하기에 함부로 -로 곱해주면 안되는게 맞나요? 복습하다가 갑자기 헷갈려서 말씀드립니다.
그리고 기출문제를 풀고있는데 가령, 이번 22성대 정칙특이점이나 이런 유형은 어떻게 대처해야되나요? 국민대도 MOD라는 문제가 나왔지만 또 나온걸로 봐서는 이런 것에 대해서도 준비해야 맞지않나싶은데 어떻게 생각하시나요? 그리고 무한급수문제에서도 우리가 외우지 않았던 공식은 그 학교에서 나오면 그때 추가적으로 외우는게 맞나요? 숭실대인가 국민대문제풀다가 외우지 않았던 무한급수가 있어서 질문드리게 되었습니다. |
|
| └ |
미분값 |
anamso** |
2022-11-06 |
| 글제목 |
미분값 |
| 작성자 |
anamso** |
등록일 |
2022-11-06 |
|
정확히 물어보는 문제에 따라 다르긴 합니다.
단지 극값을 물어본다면 사실 - 를 곱해도 상관없어요. 말그대로 0이 되는 값을 찾는것이니까요.
하지만 만약 그 극값이 극대냐 극소냐일 때는 부호 변화를 체크해야 하므로 극대극소일 때 -를 곱하지 않는게 좋겠지요?
정착특이점이나 국민대 MOD 같이 잘 안나오는 유형 문제 같은 경우는요.
솔직히 강사입장에서 안전하게 다 설명하고 준비하라고 하는게 마음 편하겠지만.
수험생 입장에서, 저런 지엽적인 부분은 잘 안나오기도하고,
무엇보다 준비한다해도 시험에서 저걸 맞춘다는 보장이 없습니다.
그래서 정말 다른 파트가 다 풀리는 극소수 친구들만 해보라고 하지, 왠만해선 걍 찍고 넘어가라고 합니다.
애초 편입시험은 한정된 시간안에 다 풀지도 못하는 구조라 시험 때 우리가 아는 문제만 풀어도 시간은 훌쩍갑니다.
적어도 저 문제들을 못 풀어서 떨어지는 상황은 나오지 않아요.
그냥 하던대로 준비하시돼,
만약 시험직전에 모든게 준비되있다면 그 때 공부를 추가적으로 하면 좋겠습니다.
외우지 않았던 무한급수가 그 학교에서 나왔다면 그 학교 시험볼 때 외워야겠죠?!
|
|
| 1016 |
기출문제관련 질문
|
monge6** |
2022-11-04 |
| 글제목 |
기출문제관련 질문 |
| 작성자 |
monge6** |
등록일 |
2022-11-04 |
|
안녕하세요. 앞으로 진도가 공업 수학만 남아서 교재를 주문하려고 하는데 기출 문제 수업도 있던데 기출 문제 수업 목차를 보니 제가 목표로 하는 대학은 없는 것 같더라구요. 선생님께서 목표 대학의 5년 정도 기출 문제를 공부하라고 하셨는데 그러면 저는 기출 문제집과 기출 문제 강의를 볼 필요 없이 따로 목표 대학 기출 문제를 공부하는게 더 나은건가요? 아니면 강의 목차에 목표 대학이 없더라도 그냥 기출 문제 강의를 보는게 더 나은 방법인가요?
|
|
| └ |
목표대학이 |
anamso** |
2022-11-06 |
| 글제목 |
목표대학이 |
| 작성자 |
anamso** |
등록일 |
2022-11-06 |
|
어떤 대학인줄 알 수 있을까요? 보통 비슷한 대학 문제를 많이 풀거든요.
참고로
서성한+중대+건대는 목표로 한다면 굳이 안풀어도 괜찮습니다.
세종대와 광운대도 목표로 하지 않는다면 굳이 안풀어도 괜찮습니다.
나머지 대학은 대체로 비스하긴합니다. |
|
| 1015 |
19한양12번
|
ipsin** |
2022-11-04 |
| 글제목 |
19한양12번 |
| 작성자 |
ipsin** |
등록일 |
2022-11-04 |
|

|
|
| └ |
벡터=기저 |
anamso** |
2022-11-06 |
| 글제목 |
벡터=기저 |
| 작성자 |
anamso** |
등록일 |
2022-11-06 |
|
X값들이 곧 영공간 요소들이 영공간의 벡터들이자 기저입니다. 기저라고 해서 특별할 거 없어요. 풀이는 아래처럼 랭크화시켜서 하면 편합니다.

|
|
| 1014 |
21건대30번풀이
|
ipsin** |
2022-11-03 |
| 글제목 |
21건대30번풀이 |
| 작성자 |
ipsin** |
등록일 |
2022-11-03 |
|
| 선생님
선생님이 올려주신 풀이가 21년도 건대 30번이 아니라
20년도 건대문제풀이를 올려주셨습니다.. |
|
| └ |
다시 |
anamso** |
2022-11-06 |
| 글제목 |
다시 |
| 작성자 |
anamso** |
등록일 |
2022-11-06 |
|
모양이 똑같아서 헷갈렸네요.
참고로 정사면체에서 면사잇각은 기하 문제에서 자주 나오기 때문에 보통 cos세타=1/3은 외웁니다.

|
|
| 1013 |
20건대35번
|
ipsin** |
2022-11-02 |
| 글제목 |
20건대35번 |
| 작성자 |
ipsin** |
등록일 |
2022-11-02 |
|

|
|
| └ |
원의 방정식 |
anamso** |
2022-11-02 |
| 글제목 |
원의 방정식 |
| 작성자 |
anamso** |
등록일 |
2022-11-02 |
|
일단 t가 없으면 z=0 이니
단순히 x,y 평면 위에 좌표 (cost, sint) 입니다.
여기서 x=cost, y=sint 인데
cos^2+sin^2=1 공식 기억나죠? 여기 집어넣으면 x^2+y^2=1 이고 반지름 1인 원입니다.
그래서 원만 보면 제가 x와 y를 무조건 코사인 사인으로 바꿔서 풀라고 했지요! |
|
| 1012 |
고유다항식과 중복도를 알고싶습니다
|
tlsaudc** |
2022-11-01 |
| 글제목 |
고유다항식과 중복도를 알고싶습니다 |
| 작성자 |
tlsaudc** |
등록일 |
2022-11-01 |
|
강의는 없는건가요 |
|
| └ |
고유다항식과 중복도 |
anamso** |
2022-11-02 |
| 글제목 |
고유다항식과 중복도 |
| 작성자 |
anamso** |
등록일 |
2022-11-02 |
|
현 한양대 기출분석에서 짧게 설명하는데요.
더 자세한 건 추후 한양대 기출분석 강의 및 자료 또 업로드하겠습니다! |
|
| 1011 |
21건대 30번 풀이..
|
ipsin** |
2022-10-31 |
| 글제목 |
21건대 30번 풀이.. |
| 작성자 |
ipsin** |
등록일 |
2022-10-31 |
|
간절합니다 교수님. 이 문제는 아무리 생각해봐도 모르겠습니다. |
|
| └ |
기하풀입니다. |
anamso** |
2022-11-02 |
| 글제목 |
기하풀입니다. |
| 작성자 |
anamso** |
등록일 |
2022-11-02 |
|
삼각형 좌표의 1/3 배는 무게중심 혹시 기억하시나요?
1/3을 붙이면 BCD의 무게중심을 가르키는 벡터가 됩니다. 그리고 크기는 꼭짓점 A에서 무게중심G까지의 길이를 의미하죠.
그리고 BC는 어차피 크기 1이고 무게중심과 직각이라 신경 쓸 필요 없습니다.
아래 풀이 적어 드립니다.

|
|
| 1010 |
21건대30번 재질문
|
ipsin** |
2022-10-31 |
| 글제목 |
21건대30번 재질문 |
| 작성자 |
ipsin** |
등록일 |
2022-10-31 |
|
교수님 그러면 저 30번문제는 어떻게 풀어야될까요? 그리고 저도 그릴때 정사면체이기에 정삼각형을 전제로 두고 저렇게 만든건데 뭐가 잘못됐다는 것인지 이해가 안가요. 곰곰히 생각해봤는데 이해가 안갑니다. |
|
| └ |
정삼각형이라고 하면 |
anamso** |
2022-10-31 |
| 글제목 |
정삼각형이라고 하면 |
| 작성자 |
anamso** |
등록일 |
2022-10-31 |
|
주어진 밑몉을 보면 빗면 루트2 밑면높이1인 직각입니다. 각45'입니다. 이미 정삼각형이 아니에요.
정삼각형이 되려면 60' 각으로 이루어진 모양을 만들어야 하는데 그렇게 하면 좌표화가 힘들겁니다.
그래서 그래프로 풀지 않습니다.
30은 제가 기출강의에서도 풀이 했듯이 고등학교 과정에서 배우는 기벡으로 풀어야합니다.
혹시 풀이법 적어드릴까요?! |
|