| 1054 |
라플라스 질문
|
ipsin** |
2022-11-15 |
| 글제목 |
라플라스 질문 |
| 작성자 |
ipsin** |
등록일 |
2022-11-15 |
|

|
|
| └ |
답변입니다. |
anamso** |
2022-11-16 |
| 글제목 |
답변입니다. |
| 작성자 |
anamso** |
등록일 |
2022-11-16 |
|
해커스 미적분학2 p.324에 있습니다.
아마도 최근 강의에서 이걸 제가 아예 설명도 안했나봐요.
중적분으로하는게 더 힘들도 까다롭기 때문에 그냥 라플라스로 합니다. |
|
| 1053 |
라플라스질문
|
ipsin** |
2022-11-15 |
| 글제목 |
라플라스질문 |
| 작성자 |
ipsin** |
등록일 |
2022-11-15 |
|

|
|
| └ |
답변입니다. |
anamso** |
2022-11-16 |
| 글제목 |
답변입니다. |
| 작성자 |
anamso** |
등록일 |
2022-11-16 |
|
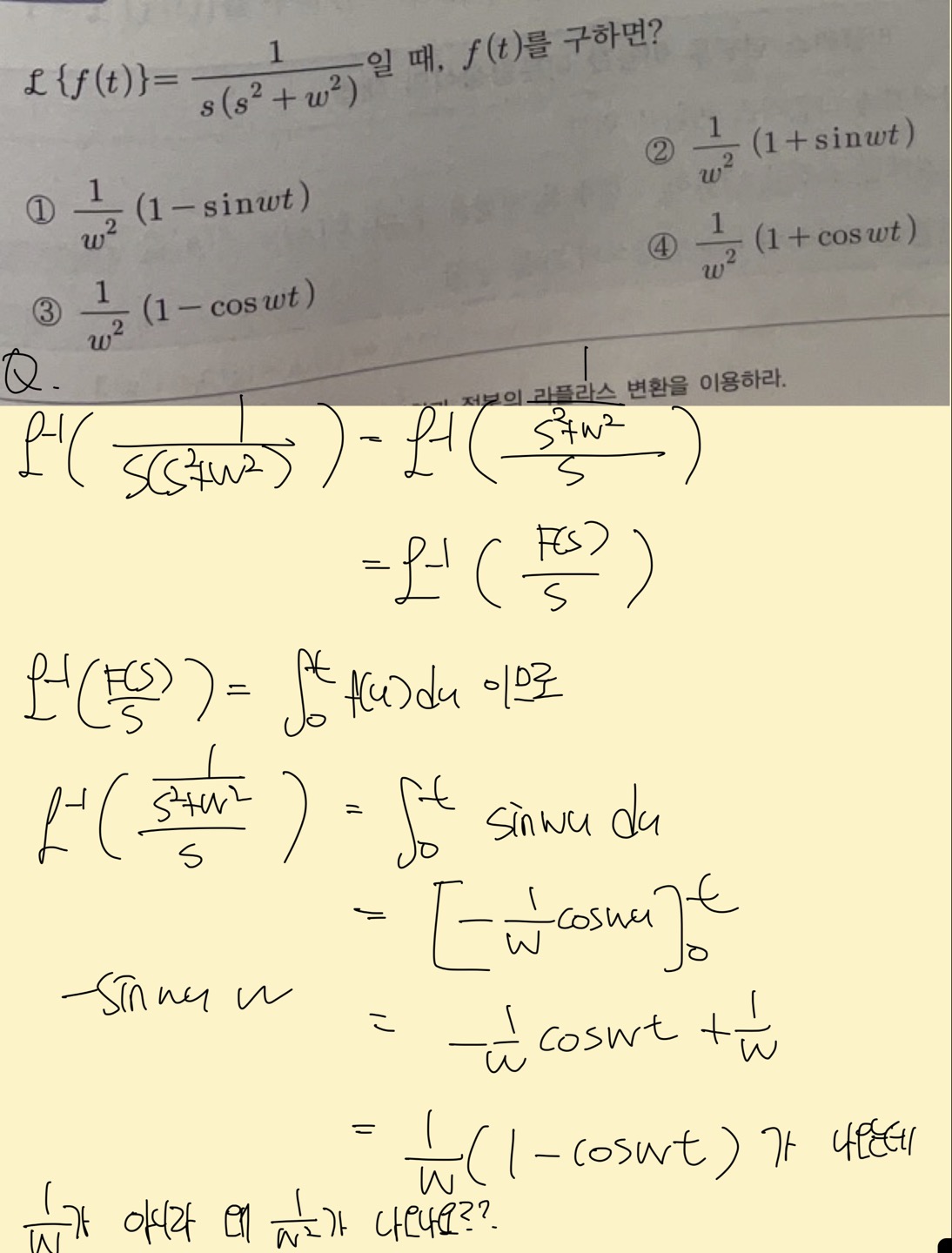
sinwt를 라플라스하면 w/(s^2+w^2)입니다. 분자의 w가 없는 1/(s^2+w^2) 로 계산해서 그렇습니다. |
|
| 1052 |
역행렬의 모든 성분의 합 구하기
|
ipsin** |
2022-11-14 |
| 글제목 |
역행렬의 모든 성분의 합 구하기 |
| 작성자 |
ipsin** |
등록일 |
2022-11-14 |
|

|
|
| └ |
없... |
anamso** |
2022-11-14 |
| 글제목 |
없... |
| 작성자 |
anamso** |
등록일 |
2022-11-14 |
|
없습니다..
이런 무식한 문제 낸 학교가 대체 어디죠?....
이런 건 최근 본적이 없는데... |
|
| 1051 |
18성대8번
|
ipsin** |
2022-11-13 |
| 글제목 |
18성대8번 |
| 작성자 |
ipsin** |
등록일 |
2022-11-13 |
|


|
|
| └ |
돌리기 문제 |
anamso** |
2022-11-14 |
| 글제목 |
돌리기 문제 |
| 작성자 |
anamso** |
등록일 |
2022-11-14 |
|
이게 y^2pi 를 써야할지 2pixy를 써야할지 고민되는 부분인데요.
일단 시험에서는
y축 혹은 x=a 세로축일 때 2pixy
x축일 때 y^2pi 쓴다고 생각하면 됩니다.
지금까지 기출 문제를 풀었을때 99프로가 다 이렇게 나왔어요.
만약 x축을 가로로 돌릴 때 2pixy를 쓴다면 식이 dy 기준이라 굉장히 번거롭게 구성되어있어서 풀기 굉장히 어려워집니다.
이 문제도 가로축이기 떄문에 y^2pi를 쓴다고 생각해야하구요.
다만 x축이 되기에 위해서 -5만큼 평행이동시켜줘야하겠습니다.
그래서 식이 (y-5)^2pi 가 나온 것입니다. |
|
| 1050 |
18성대20번
|
ipsin** |
2022-11-13 |
| 글제목 |
18성대20번 |
| 작성자 |
ipsin** |
등록일 |
2022-11-13 |
|

|
|
| └ |
네 그렇습니다. |
anamso** |
2022-11-14 |
| 글제목 |
네 그렇습니다. |
| 작성자 |
anamso** |
등록일 |
2022-11-14 |
|
고유치 풀이시 복소수를 전제로 풀지는 않아서
그냥 연산자로 따로따로 푸셔야합니다! |
|
| 1049 |
18성대18..
|
ipsin** |
2022-11-13 |
| 글제목 |
18성대18.. |
| 작성자 |
ipsin** |
등록일 |
2022-11-13 |
|

해설지를 보니.. 어디 수능특강에서 본듯한 풀이인거같고 결론적으로 어떻게 풀어야 될 질 모르겠습니다.
|
|
| └ |
답변입니다! |
anamso** |
2022-11-14 |
| 글제목 |
답변입니다! |
| 작성자 |
anamso** |
등록일 |
2022-11-14 |
|
마침 오늘 현강에서 이 문제 풀었네요.
이 문제 해설처럼 푸는 건 포기하시구요.
일단 sinx 그래프 그리시고 저기 위에 점을 찍어보시면 15도 간격으로 165도까지 값을 합한 값이에요.
생각보다 큰 숫자가 나옵니다. 하다못해 sin6pi/12=1인데 적어도 답이 2,4,5번은 될리가 없죠.
닶은 1번 3번인데요.
사실 1번 3번에서 찍어야하는데.. cot는 tan 역수인데 tanpi/24는 너무너무 작아서 cot가 너무너무 커지게 되거든요.
그래서 합리적으로 더 본 다면 1번이 답이 되야합니다. |
|
| 1048 |
면적의 중심 구하기 질문
|
tlsaudc** |
2022-11-13 |
| 글제목 |
면적의 중심 구하기 질문 |
| 작성자 |
tlsaudc** |
등록일 |
2022-11-13 |
|
중적분의 정의를 이용해서 풀때는 ∫ 1/2 y dA 로 하는게 아니라 그냥 ∫ y dA로 하던데 왜그런거죠? 1/2 r sinθ 이 아니라 그냥 r sinθ 을 추가해서 y값의 무게중심을 구하더라구요 조금 생각해보니깐 1/2y 를 쓸때는 dx 범위안 라인 전체를 나타내니 그 중간값을 사용하는것이고 dθ dr 경우에는 포인트,한점을 나타내니 y값을 나타내는 r sinθ 를 이용해야되서 그런건가요 |
|
| └ |
중적분이라면 |
anamso** |
2022-11-14 |
| 글제목 |
중적분이라면 |
| 작성자 |
anamso** |
등록일 |
2022-11-14 |
|
xy평면 내에서는 함수의 작은 직사각형인 ydx 의 문게중심으로 구하는데
이때 y는 직사각형 높이로 취급되기 때문에 ydx의 무게중심은 1/2*y 이죠.
하지만 중적분이라면 높이가 y가 아니라 z일겁니다. 그러면 y는 1/2 할 필요가 없어집니다.
|
|
| 1047 |
18성대14번
|
ipsin** |
2022-11-13 |
| 글제목 |
18성대14번 |
| 작성자 |
ipsin** |
등록일 |
2022-11-13 |
|

|
|
| └ |
안정상태해 |
anamso** |
2022-11-14 |
| 글제목 |
안정상태해 |
| 작성자 |
anamso** |
등록일 |
2022-11-14 |
|
안정상태해 사전지식을 요구했네요. 이건 좀 설명해주는게 당연하다고 생각하는데..
결론적으로 안정상태해는 설명되어있는대로 시간이 무한때 영향이 없어지는 함수를 지운 해입니다.
특히 -승 지수가 그렇죠. |
|
| 1046 |
안녕하세요!
|
wodn04** |
2022-11-13 |
| 글제목 |
안녕하세요! |
| 작성자 |
wodn04** |
등록일 |
2022-11-13 |
|
| 선생님 제가 편입영어 준비를 안했는데 혹시 편입영어라 같이 보는 학교중에 지원을 한두개 해보려고 하는데 보통 어떤 학교들을 많이 지원하나요?? |
|
| └ |
보통 지원하는 학교! |
anamso** |
2022-11-14 |
| 글제목 |
보통 지원하는 학교! |
| 작성자 |
anamso** |
등록일 |
2022-11-14 |
|
보통 단국대, 외대, 광운대, 동국대, 경희대(토익)
상위권까지 노리면 한양대 성대 건대까지 노립니다!
사실 뭐 날짜만 맞추면 최소 10군데는 다 보는 거 같습니다. |
|
| 1045 |
편미분계수가 존재하면 그점에서 항상 연속이다?(2차질문
|
tlsaudc** |
2022-11-13 |
| 글제목 |
편미분계수가 존재하면 그점에서 항상 연속이다?(2차질문 |
| 작성자 |
tlsaudc** |
등록일 |
2022-11-13 |
|
|
|
| └ |
답변입니다. |
anamso** |
2022-11-14 |
| 글제목 |
답변입니다. |
| 작성자 |
anamso** |
등록일 |
2022-11-14 |
|
단순하게 정리하면 극한값과 함수값이 같으면 연속입니다.
이건 다변수함수도 마찬가지입니다.
다만 xy평면에서 함수는 왼쪽 오른쪽만 비교하면 되지만 다면수는 360' 다각도에서 그 함수값을 향해갑니다.
그렇기에 실질적으로 우리가 구할 순 없고 문제에서 그걸 요구하지는 않습니다.
편미분계수가 존재한다는 건 극한값이 존재하는 것이죠.
다만 편미분은 둘다 fx를 구할 때 y축을 무시한 값이고
fy를 구할 때 x축을 무시하고 구한 값입니다.
그래서 전방향을 고려하고 구한 극한값이 아닙니다. 그래서 연속인지 아닌지는 판단할 수 가 없습니다. |
|
| 1044 |
8강 강의 질문있습니다.
|
momolu** |
2022-11-12 |
| 글제목 |
8강 강의 질문있습니다. |
| 작성자 |
momolu** |
등록일 |
2022-11-12 |
|
8강 유형문제 1~10번 실전문제 1~10번 까지만 업로드 되고 11번~20번 업로드 안됐어요! 강의 제목표기도 잘못됐습니다.ㅜㅜ |
|
| └ |
답변^^ |
hj_jeo** |
2022-11-27 |
| 글제목 |
답변^^ |
| 작성자 |
hj_jeo** |
등록일 |
2022-11-27 |
|
업로드 완료 되었어요! 늦어서 미안해요ㅠ |
|
| 1043 |
국민대 8번
|
wodn04** |
2022-11-12 |
| 글제목 |
국민대 8번 |
| 작성자 |
wodn04** |
등록일 |
2022-11-12 |
|
| 국민대 8번 적분 범위가 x^3 아닌가요?? |
|
| └ |
헉 오타입니다 |
anamso** |
2022-11-13 |
| 글제목 |
헉 오타입니다 |
| 작성자 |
anamso** |
등록일 |
2022-11-13 |
|
x^3 맞습니다! |
|
| 1042 |
질문
|
ipsin** |
2022-11-12 |
| 글제목 |
질문 |
| 작성자 |
ipsin** |
등록일 |
2022-11-12 |
|

강의로도 설명해주신걸 감안해서 생각해봐도 x축으로 돌려서 한 거랑 y축으로 돌려서 한 거랑 똑같을 수밖에 없는데 왜 값이 다르게 나오는걸까요?
그리고 또 다른 질문 하나는.. 공수를 복습하다가 연립미방강의에서 고유치가 중근일 때 답을 구하는 문제에서 고유치가 하나니까 당연히 고유벡터도 하나라고 하셨는데 이 말이 틀린 말이 아닌가요? 고유치가 하나라고 해서 고유벡터가 여러 개가 있을 수도 있다고 분명히 선형대수학 파트에서 말씀하셨는데 제가 잘못들은 건가요 아니면 뭔가요..? |
|
| └ |
와 |
anamso** |
2022-11-13 |
| 글제목 |
와 |
| 작성자 |
anamso** |
등록일 |
2022-11-13 |
|
야구공을 잘라보다니...ㄷㄷㄷ
문제에서 요구한 모양은 구 안에 드릴로 파낸 구입니다.
그 구멍에 줄을 연결해서 목걸이도 만들 수 있는 모양이죠.
하지만 x축으로 돌리면 -1~1 사이에 아무 부피도 존재하지 않습니다.
모양이 유지되지 않지요. 목걸이 못 만듭니다.
하지만 2pixy는 -1~1사이에 값이 존재합니다. 가운데만 파였을 뿐...
고유치가 하나면 고유벡터가 하나라고 말한 내용은 아마도 일반적인 상황을 가정했을 때를 말한 거 같습니다.
예외적으로 단위행렬은 고유치가 중근이어도 고유벡터가 다양하죠.
아마도 이 예외적인 상황을 제끼고 말한 거 같습니다.
정확히는 '단위행렬 같은 특수한 경우를 제외한다면 중근은 고유벡터 1개' |
|
| 1041 |
편미분계수가 존재하면 그점에서 항상 연속이다?
|
tlsaudc** |
2022-11-11 |
| 글제목 |
편미분계수가 존재하면 그점에서 항상 연속이다? |
| 작성자 |
tlsaudc** |
등록일 |
2022-11-11 |
|
아닌이유가 그점(a,b)에서 따로 값이 독립적일경우를 말하는건가요? |
|
| └ |
답변입니다. |
anamso** |
2022-11-13 |
| 글제목 |
답변입니다. |
| 작성자 |
anamso** |
등록일 |
2022-11-13 |
|
어려운 문장이네요.
미분계수가 존재하면 당연히 연속인데요.
저도 만약 저 문장을 그냥 읽었다면 당연히 연속이다라고 판단했을 거 같습니다.
연속이 아니라면 여기서 그냥 미분이 아니라 '편'미분이기 때문에 발생하는 것일텐데요.
편미분이라는게 결국 x 혹은 y만 고려한 값이지만
실제 미분은 x축과 y축뿐만 아니라 다방면으로 이기 떄문에 실제 미분값은 아닙니다.
문제는 이걸 증명해야하는데 보통 기하로 증명하는게 가장 좋으나..
애초 다변수는 3차원 영역이라 우리의 뇌로 인지하기 힘듭니다.
식으로 증명해야하는데요. 링크 남겨봅니다.
https://gall.dcinside.com/board/view/?id=mathematics&no=191771
그런데 이런 지문이 기출에 있었나요? 기출에 있다면... 그 교수님 너무 양심이 없는데요? |
|
| 1040 |
21건대34번재질문
|
ipsin** |
2022-11-11 |
| 글제목 |
21건대34번재질문 |
| 작성자 |
ipsin** |
등록일 |
2022-11-11 |
|


잘 맞게 이해한건가요??
|
|
| └ |
답변입니다. |
anamso** |
2022-11-13 |
| 글제목 |
답변입니다. |
| 작성자 |
anamso** |
등록일 |
2022-11-13 |
|
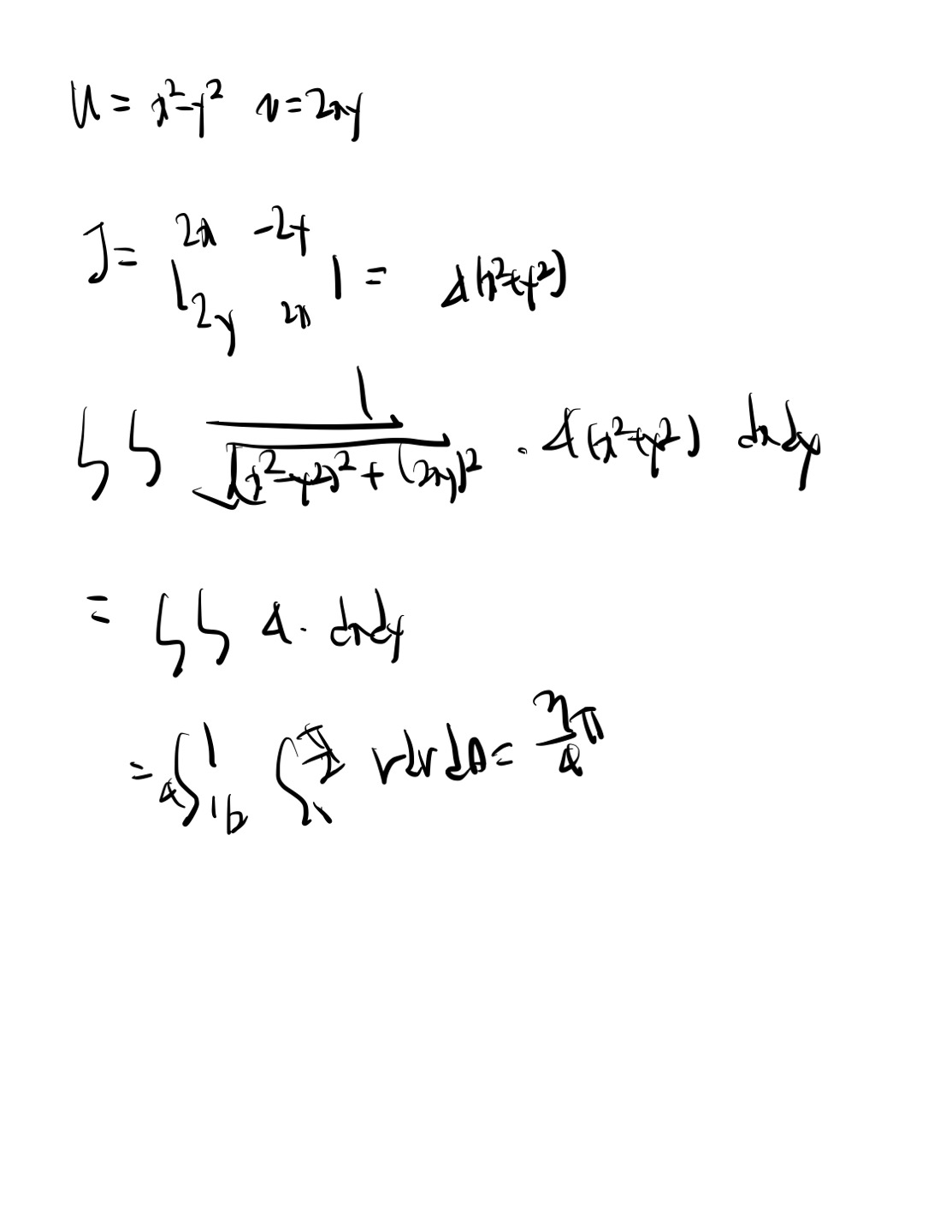
u,v로 하고 싶어도 범위가 x,y로 주어져있기 떄문에 u,v로 적분하기 힘듭니다.
x,y는 반지름 1/2~1 , 각도 90'까지 이쁘게 주어져있죠.
그래서 반대로 u,v->x,y로 돌려줘야합니다.
그러니 야코비안값이 반대로 뒤집힌거구요.
풀이는 아래 적어두겠습니다. 
|
|