| 1009 |
앞으로 계획을 어떻게 잡아야할까요?
|
monge6** |
2022-10-31 |
| 글제목 |
앞으로 계획을 어떻게 잡아야할까요? |
| 작성자 |
monge6** |
등록일 |
2022-10-31 |
|
안녕하세요. 저는 토익 점수로 편입을 준비하는 학생입니다. 혼자서 공부하다보니 편입에 대한 정보도 찾기 힘들고 우물 안의 개구리가 된 것 같은 느낌이 들어서 여러 가지 좀 질문을 좀 하고 싶습니다.. 일단 목표는 서울과기대이고 학과는 컴퓨터공학과인데 저의 상황?은 토익 945점이고 선생님과의 진도는 지금 중적분을 배우고 있습니다. 고등학생 때는 가형 4~5등급 정도였던거 같습니다. 영어 점수는 제가 할 수 있는 최대의 점수를 받은 것 같아서 이제는 수학 공부에 전념하려고 하는데요. 지금은 하루에 강의 2개, 2시간 이론 복습, 2시간 기출 문제 풀기. 이렇게 공부하려고 생각하고 있습니다. 이론 복습은 좀 많이 한 것 같은데, 문제 풀이는 솔직히 많이 안한 것 같아요. 저의 지금 공부 계획에 조언 해주실만한게 있다면 해주시면 감사하겠습니다..! 그리고 찾아보니 원래 공인 영어 점수로 편입 시험을 보던 동국대와 시립대가 이제 편입 수학만 본다고 하는데 원래 목표가 과기대이긴 했지만 뭔가 영어 점수가 나름의 강점이라고 생각했는데 영어 점수로 지원할 수 있는 학교가 줄어드니까 괜히 불안감이 커졌습니다.. 지금의 영어 점수로 수학 공부 열심히 한다면 과기대 가능성 있을까요..? 또 다른 학교도 지원해보긴 해야할 것 같은데 어디어디 지원하는게 좋다고 생각하시나요? 편입 영어 있는 곳은 지원을 못해서 동국대, 시립대, 과기대 정도 생각하고 있는데 중앙대 같은 수학만 보는 상위권 대학도 지원하는게 좋을까요? 마지막으로 제가 전공을 바꿔서 신청하는건데 컴퓨터 공학의 전공에 관한 지식이 거의 없습니다.. 수학 시험을 보고 나면 3주 정도 시간이 비는데 그때 전공 공부를 해서 준비해도 되나요? 아니면 지금 수학 공부와 전공 공부를 병행해서 면접 준비하는게 더 나을까요? |
|
| └ |
답변입니다. |
anamso** |
2022-10-31 |
| 글제목 |
답변입니다. |
| 작성자 |
anamso** |
등록일 |
2022-10-31 |
|
편입 정보도 참 없고 인터넷에는 광고 및 어그로성 글 밖에 없고 ㅠ 편입 공부는 힘듭니다 힘들어 ㅠ
일단 아쉽게 동국대가 토익이 작년부터 폐지되어 아쉽게 토익점수로 크게 기대서 가는 건 아쉬워진 상황입니다.
알아야 할 게 수능처럼 학교 레벨이 더 높다고 해서 더 잘하는 학생이 더 좋은 대학은 가는 시험이 아닙니다.
학교마다 시험 문제가 각기 다르고 TO 등에 영향이 있어서 더 못하는 학생이 잘했던 학생보다 더 좋은 대학을 가능 경우가 많습니다.
과기대 같은 경우, 기출 분석을 해보면 알겠지만 문제 자체가 너저분합니다. 하지만 근데 상위권 학생들이 몰리진 않기 때문에 열심히 기본만 하고 기출 5개년 반복해서 풀면 적어도 수학 때문에 떨어지진 않으니 걱정말고 준비하면 되겠니다.
다만! 올해 TO는 기도해야겠습니다. 사실 그게 더 중요할 겁니다.
과기대 외에 동국대, 경희대, 외대, 단국대 추천하고 싶습니다.
이 4 학교가 난이도도 서로 비슷하고 문제가 깔끔하게 나오기 때문에 준비만 잘하면 누구라도 갈 수 있는 대학이자 누가봐도 좋은 대학이라 추천합니다.
중앙대 같은 경우, 수학만 본다하지만, 중앙대 문제 자체가 너무 심하게 지저분하고 복소함수가 들어가서 운이 크게 따라워야합니다. 그래서 중앙대는 시험은 보되 크게 기대하면서 준비하고 보지 않는 걸 추천합니다.
그리고 전공은 걱정마세요. 어차피 학부생 2학년까지 거기서 거기니 새로 가셔서 열심히 하면 됩니다.
다만, 면접에서 적어도 할 말은 준비해야겠죠? 왜 컴공을 왔냐? 뭘 준비했냐 등
면접은 사실 자신감이 젤 중요해요. 쫄지 말고 말하는 게 키포인트입니다.
예를 들어,
나는 AI가 관심이 많다. 나는 건축을 전공했지만 건축 분야에서 AI가 도입되면 좋겠다는 생각을 했다. 난 이미 건축 지식이 있고 과기대에서 컴공을 전공해서 AI 건축 분야를 개척해보고 싶다. 요롷게 당당히 말하면 됩니다.! |
|
| 1008 |
계산
|
ipsin** |
2022-10-31 |
| 글제목 |
계산 |
| 작성자 |
ipsin** |
등록일 |
2022-10-31 |
|

답이 4번나와야되는데 왜 자꾸 저렇게 나올까요??
잘못했겠지 계속 시도해보자 해놓고 1시간동안 저렇게 나오니까 원래 저렇게 해서 잘만 적분문제풀었는데 이게 왜 안되지..?라는 딜레마가 옵니다.. |
|
| └ |
적분 구간 |
anamso** |
2022-10-31 |
| 글제목 |
적분 구간 |
| 작성자 |
anamso** |
등록일 |
2022-10-31 |
|
이 문제는 실수가 생길 수 밖에 없는 문제인데요. 특히 부호실수.
답이 잘못 나온 이유는 적분 구간이 0부터 pi/2 가 아니라 pi/2 부터 0 이라서 그렇습니다.
그래프를 그리면 x=0 부터 x=1 인데요. x=0에 대응되는게 t=0 이나 아닌 pi/2 입니다.
그래서 0부터 pi/2 가 아닌 pi/2 ~ 0 적분해야하고 이러면 sin적분값은 반대로 구한 것이라 -1이 나옵니다.
솔직히 이건 문제가 너무 치사했고, 저라도 실전이었다면 이 문제 뭐지하다가 말렸을 거 같아요.
|
|
| 1007 |
21건대30번
|
ipsin** |
2022-10-30 |
| 글제목 |
21건대30번 |
| 작성자 |
ipsin** |
등록일 |
2022-10-30 |
|

이렇게 풀었을 때 답이 안나오는 이유가 뭔가요 교수님? 그림을 그려서 저렇게 풀어봤는데 조건에 위배된게 하나도 없지 않나요?..
그래서 해설지를 봤는데

처음부터 저렇게 되는 연산과정도 잘 모르겠고 제가 배운건

이정도 수준으로 푼 게 다이고 혹시나 까먹은 부분이 있나싶어서 내적의 기본성질과 외적의 기본성질을 다시한번 봤는데 안나와있어서 어떻게 풀 지 감이 안잡혀서 질문드리게 되었습니다.
|
|
| └ |
답변입니다! |
anamso** |
2022-10-31 |
| 글제목 |
답변입니다! |
| 작성자 |
anamso** |
등록일 |
2022-10-31 |
|
1. 좌표로 푼 시도는 좋았는데
일단 정사면체를 그린 좌표가 아닙니다. 사면체는 모든 방향으로 정삼각형으로 똑같은 모양이에요.
저렇게 쉽게 좌표가 잡히지 않아서 좌표화 시켜주는 건 비춥니다.
2. 그리고 저 해설 풀이는 저도 사실 몰라요. 해설하는 사람도 그냥 무생각으로 나열한거라서.. ㅠ
3. 마지막 문제는 잘하셨습니다. 외적은 앞뒤순서만 신경쓰시면 일반적인 연산처럼 하셔도 됩니다. 외적 순서 바꾸면 앞뒤 바꾸는건 기억하시면 됩니다.
PS: 이상한 벡터 공식은 쓰지말고 a 와 b에 대입해서 풀어보록 하는게 가장 좋습니다. 어차피 벡터연산공식을 다 외우긴 불필요하고 불가능하거든요.
|
|
| 1006 |
계속봐도 헷갈리는 내용..
|
ipsin** |
2022-10-29 |
| 글제목 |
계속봐도 헷갈리는 내용.. |
| 작성자 |
ipsin** |
등록일 |
2022-10-29 |
|

그리고 혹시 아래처럼 풀어도 문제가 없는건가요 교수님? 

|
|
| └ |
굳! |
anamso** |
2022-10-31 |
| 글제목 |
굳! |
| 작성자 |
anamso** |
등록일 |
2022-10-31 |
|
일단 풀이는 완벽한데요?! 잘했구요!
그려면 왜 v와 w 하나만 쓰면 되는데 두개냐고 하는데
사실 당연히 쓰임 목적으론 v 하나만 있으면 됩니다.
w를 또 줘서 구하라는 건 그냥 귀찮게도.. 더 풀어보라고 물어봤기 때문입니다 ㅠ ㅋㅋ |
|
| 1005 |
역행렬의 차수
|
edga** |
2022-10-29 |
| 글제목 |
역행렬의 차수 |
| 작성자 |
edga** |
등록일 |
2022-10-29 |
|
A라는 행렬이 있을때 A와 A의 역행렬의 차수는 항상 같나요? |
|
| └ |
네! |
anamso** |
2022-10-31 |
| 글제목 |
네! |
| 작성자 |
anamso** |
등록일 |
2022-10-31 |
|
애초에 역행렬은 nxn 밖에 되지 않아서 바뀌는게 없습니다 |
|
| 1004 |
중대12번 재질문
|
ipsin** |
2022-10-27 |
| 글제목 |
중대12번 재질문 |
| 작성자 |
ipsin** |
등록일 |
2022-10-27 |
|
안녕하세요 교수님 답변을 봤는데 이해가 안되서 염치불구하고 딱 한번만 더 재질문하겠습니다. ㅠ 다시 보니까 제가 미방식에 t가 외부조건인지 몰랐습니다. 그래서 첫 질문에서 행렬표현을 어떻게 하지라는 말이 나온 것 같습니다. 내부조건일때 인걸로 착각해서요.. 그러면 풀이방식이 수업중에 배웠던 8강에서 연립미방의 특수해를 구할 때 저렇게 구한다고 배웠습니다. 그래서 사실 제가 원래 하고싶었던 질문은 수업내용에서 배운 공식대로 저런 알고리즘으로 어떻게 푸는 지를 물어본거였는데 제가 t를 외부조건인지도 모르고 내부조건만 있을 때 행렬로 풀 수 있냐고 잘못 말씀을 드렸습니다. 어쨌든 결국, 미분연산자를 이용해서 풀라는게 1번부터 5번까지 되어있는 알고리즘 중에 4번인 미분연산자로 풀이를 말씀하시는건가요 아니면 맨 밑에 해설지 적혀있는 풀이로 문제를 풀라는 말씀이신건가요?



|
|
| └ |
연립 미방 특수해 풀이 |
anamso** |
2022-10-29 |
| 글제목 |
연립 미방 특수해 풀이 |
| 작성자 |
anamso** |
등록일 |
2022-10-29 |
|
일단 연립 미방 특수해 문제는 시험 때 풀지 않는게 정신건강에 좋구요.
굳이 푼다면 행렬 풀이를 적용합니다.
근데 이 문제는 하필 허수가 나와서 행렬 풀이는 굉장히 복잡해져 행렬 풀이를 적용하지 않습니다.
만약 허수가 안나왔다면 행렬 풀이를 씁니다.
행렬 풀이 중 중간 미분연산자는 강의에서 말했다시피 사실 행렬 풀이는 원래 계산기를 전제로 하는 풀이라
계산이 굉장히 복잡합니다. 그래서 계산이 힘든 부분은 다시 미분 연산자로 잠깐 빌려쓰고 다시 행렬 풀이를 이어나갑니다.
답지에 나온 풀이는 행렬을 전혀 쓰지 않고 오직 연산자로만 풀이한 것인데요.
이 경우 부조건이 다항식이라 특수해 yp=At+B를 가정하고 풀고 연립 쭉해서 구한 것인데요.
이 풀이가 행렬을 전혀 쓰지 않고 더 간단한 풀이 같아 보이지만,
이렇게 풀려면 식의 조건이 그렇게 연립으로 쉽게 풀 수 있게끔 주어질 때입니다.
안그럴 경우, 일반적으로 이렇게 오직 연산자로만 푸는 풀이는 굉장히 복잡해집니다.
그렇다고 해서 행렬 풀이와 연산자 풀이를 둘 다 해보고 빠른 걸로 적용한다?
그 자체가 시간이 크게 소비 되기 때문에 애초부터 연립 특수해 문제는 시험 때는 풀지 않는게 좋습니다.
결론: 행렬로 풀 수 있다. 하지만 안 푼다.
|
|
| 1003 |
21중대4번
|
ipsin** |
2022-10-26 |
| 글제목 |
21중대4번 |
| 작성자 |
ipsin** |
등록일 |
2022-10-26 |
|

문제 생김새보고 딱 양정치를 구하는 문제라는 걸 파악했고 그러면 고유치만 구해서 그 중 최댓값인 고유치를 구하면 되겠구나하고 풀어야겠다고 생각을 했는데.. 그 옆에 A^T가 붙으니까 막상 감이 안옵니다.
A^T*A를 진짜 구하고 거기에다가 -람다하고 그다음에 0을 만족시키는 람다값을 구하고 그 람다값 중에 최댓값인 람다를 구하기에는.. 뭔가 루트도 껴져있고 차라리 행렬A의 크기가 2바이2나 3바이3까지였다면 충분히 해봤을 것 같은데 이렇게 하라고 문제를 냈을 것 같지는 않고해서.. 곰곰하게 생각을 해봤는데도 잘 모르겠습니다. 그래서 해설을 봤더니 핑크색으로 적힌 부분쪽에 이해가 안가서 교수님께 질문을 드리게 되었습니다. 이 부분은 제 개인적으로는 처음보는 형태인 것 같아서.. 말씀드려봅니다.. |
|
| └ |
풀이 |
anamso** |
2022-10-26 |
| 글제목 |
풀이 |
| 작성자 |
anamso** |
등록일 |
2022-10-26 |
|
일단 저도 처음 보는 형태이고 시험장에 있을 모든 수험생들도 처음 보는 형태일거에요. (중앙대!? 끄덕끄덕..)
보통은
XtAX 로 주어지는데 여기는 갑자기 Xt가 붙었죠?
뭔가 이상하네? XtAt가 t니까 이걸 변환해볼까요?
XtAt = (AX)^t 입니다.
내적은 표현할 때 A닷B=AtB 기억나시나요? 행과 열을 바꿔야 연산이 되니까..
그럼 (AX)^t*(AX) 는 AX 와 AX 를 내적한 의미고 그럼 자기 자신과의 내적이고
자기 자신과 내적은 당연히 자기 자신의 크기의 제곱입니다. abcos세타에서 세타가 0 이니까.
근데 여기서 AX=람다X 로 바꿀 수 있고
결국 람다^2*X^2으로 표현할 수 있죠? 그리고 분모 XtX도 자기 자신과의 내적이고 이건 X^2이죠.
이게 약분되서 결국 람다제곱입니다...
사실 AtB가 A닷B 내적과 연결시켜야하는데.
이런 유형이 좀 처럼 나오지 않는데 빠르게 캐치하기는 쉽지 않았을거 같습니다.
저도 시험장이라면 곰곰히 멈추고 생각 좀 했을 거 같네요.
|
|
| 1002 |
19중대12번
|
ipsin** |
2022-10-25 |
| 글제목 |
19중대12번 |
| 작성자 |
ipsin** |
등록일 |
2022-10-25 |
|

해설지에서는 미분연산자로 풀었고 저는 행렬로 이용해서 구하고 싶었는데
행렬을 어떻게 세워야 될 지 모르겠습니다.. |
|
| └ |
행렬로 풀기... |
anamso** |
2022-10-26 |
| 글제목 |
행렬로 풀기... |
| 작성자 |
anamso** |
등록일 |
2022-10-26 |
|
행렬로 풀려면
x'=y y'=x
이고 A는
0 1 1 0 이 되겠습니다.
그럼 t는??
F=(t, -t) 이건 외부조건(힘)이라 yp값이고 이러면 힘이 들어간 풀이를 해야하는데..
그 방법은 강의 때 말했다시피 굉장히 번거로와 실제로 시험장에서 쓰기 힘듭니다.
그래서 수업 때도 힘이 존재하는 문제는 스킵하거나 풀더라도 미분연산자로 풀어야 한다고 말했지요.
결론: t 버리고 행렬 A를 만든다. BUT t 존재 때문에 행렬 풀려면 너무 힘들다. 그냥 미분연사자로 푸는게 최선이다! |
|
| 1001 |
질문
|
ipsin** |
2022-10-25 |
| 글제목 |
질문 |
| 작성자 |
ipsin** |
등록일 |
2022-10-25 |
|

+ 재질문 벡터에서 답변주신거봤는데 답이 0인 선지는 없었어요. 기출문제도 아니고 다른 학원에서 가져온건데 그냥 이 문제는 스킵하겠습니다. 실전에서는 못 풀 것같습니다.. 그래도 정성껏 답변해주셔서 감사합니다 교수님. |
|
| └ |
잘했는데! |
anamso** |
2022-10-26 |
| 글제목 |
잘했는데! |
| 작성자 |
anamso** |
등록일 |
2022-10-26 |
|
실수가 있어요.
이미 왈리스 공식을 썼는데 왈리스공식을 한 값을 또 적분을 했네요. -2/9는 혼자 둬야 합니다! |
|
| 1000 |
행렬질문
|
tlsaudc** |
2022-10-25 |
| 글제목 |
행렬질문 |
| 작성자 |
tlsaudc** |
등록일 |
2022-10-25 |
|

아니 왜 그냥 A 가 아니라 A^t 를 해주나요? 물론 해공간 찾기위해서 보기를 이용할려면 전치하는게 맞는데..
|
|
| └ |
답변입니다. |
anamso** |
2022-10-26 |
| 글제목 |
답변입니다. |
| 작성자 |
anamso** |
등록일 |
2022-10-26 |
|
영공간은
AX=0 을 만족하는 X이죠?
그런데 이 문제는 AX=0 이 아닌 AtX=0 을 이용해 구했습니다.
물론 X가 영공간이 맞습니다. 다만, 영공간은 정의역에 존재하죠?
이 문제라면 3차원 공간에 있겠네요. 하지만 보기는 점4개인 4차원입니다.
이 말은 3차원에 있는 영공간을 4차원으로 표현하란 얘기에요. (굳이...하지만 중앙대니까 끄덕...)
결론적으로 그걸 표현하기 위해서 연산과정에 의해 AtX=0 구해야 4차원 표현합니다.
At를 하면 행과 열이 바뀌고, 여기서 열은 정의역, 행은 치역차원이라 문제에서 요구한대로 표현할 수 있겠되죠.
그냥 단순히 영공간은 표현하라 AtX=0 를 한다고 외우시는게 속편한데.. 사실 이 문제 말고는 그렇게 물어본 전례가 거의 없다시피해서 당시 이 문제는 거의다 틀렸을겁니다. |
|
| 999 |
재질문..
|
ipsin** |
2022-10-24 |
| 글제목 |
재질문.. |
| 작성자 |
ipsin** |
등록일 |
2022-10-24 |
|

왜 답이 안나올까요..ㅠ
제가 교수님 설명을 잘 이해못한건지 모르겠네요 |
|
| └ |
답변입니다. |
anamso** |
2022-10-26 |
| 글제목 |
답변입니다. |
| 작성자 |
anamso** |
등록일 |
2022-10-26 |
|
다시 보니 교선이 원점을 지나지 않네요. 원점을 지나지 않으면 계산이 상당히 복잡해지는데요.
어쩔 수 없이 아랫처럼 그래프를 그리면서 포인트를 잡아야겠습니다. 그런데 거리가 0이 나오는데 답이 0 맞나요?

|
|
| 998 |
벡터공간질문
|
tlsaudc** |
2022-10-24 |
| 글제목 |
벡터공간질문 |
| 작성자 |
tlsaudc** |
등록일 |
2022-10-24 |
|
V=(a,b,c,d) b+c+d=0 일때 왜 b c d 차원이 2개인거죠? 1,-1,0 세개다 강제가 되는게 아닌가요? |
|
| └ |
b+c+d=0 |
anamso** |
2022-10-24 |
| 글제목 |
b+c+d=0 |
| 작성자 |
anamso** |
등록일 |
2022-10-24 |
|
단순히 b,c,d 대신에 x,y,z를 써볼까요?
x+y+z=0 이죠? 근데 이거 어서 많이 본거 같죠? 1,1,1을 법선벡토로 하는 평면입니다.
평면은 2차원이구요.
그리고 단순 값을 집어넣어도
b=1 인경우 c,d는 강제되는게 없습니다.
여기서 c가 -1로 잡아주면 d는 0으로 강제가 되죠. 실질적으로 d하나만 강제되기 떄문에 2차원이라고 볼수 있죠 |
|
| 997 |
21숭실45번
|
ipsin** |
2022-10-23 |
| 글제목 |
21숭실45번 |
| 작성자 |
ipsin** |
등록일 |
2022-10-23 |
|

이렇게 풀었는데 실제 시험장에 가서 이렇게 풀어도 무방한 계산 과정인지가 궁금합니다.
이런 문제에 대한 해설지를 보면 역시나 장황한 경우가 많아서.. 막상 해설지보면 이렇게 풀 수 있을까 싶어서 말씀드립니다..ㅠ |
|
| └ |
굿 |
anamso** |
2022-10-24 |
| 글제목 |
굿 |
| 작성자 |
anamso** |
등록일 |
2022-10-24 |
|
제가 원하는게 바로 이런 풀입니다
해설지 풀이는 그냥 대학교재 복붙한 풀이고 절대 시험장에서 그렇게 못 풀어요.
조건 만들어서 대입하는 풀이가 가장 실질적이고 좋은 풀입니다. 잘하고 있습니다. |
|
| 996 |
21숭실28번
|
ipsin** |
2022-10-23 |
| 글제목 |
21숭실28번 |
| 작성자 |
ipsin** |
등록일 |
2022-10-23 |
|

교수님 해설지에서는 무한급수로 풀었지만 제가 교수님 정규커리큘럼에서 배운 것과 같이 굳이 무한급수를 안풀고 로피탈로 이용해서 충분히 풀 수가 있었습니다. 굳이 어렵게 (사인(2x))^2를 무한급수형태로 바꿔서 미분할 필요가 없고 0/0꼴이기에 로피탈로 써서 풀어야 겠다는 생각으로 접근했는데 막상 푸니까 정답이 안나오더라구요 제가 이 계산과정 속에서 무엇을 잘못했을까요? |
|
| └ |
실수 |
anamso** |
2022-10-24 |
| 글제목 |
실수 |
| 작성자 |
anamso** |
등록일 |
2022-10-24 |
|
혹시 sinx=x 일 때 제가 조심하라고 한 부분 기억나나요?
삼각함수가 혼자 있거나 곱의 상태라면 sinx=x 라고 두어도 괜찮으나
다른 함수라 덧셈뺄셈 관계가 있다면 쓰지말라고..
지금 sin^2(2x)가 4x^2 과 같이 있기 때문에 안되고
미분한 상태에서 역시 8x와 같이 있기 떄문에 안됩니다.
귀찮지만 같이 있지 않을 떄가지 미분하셔야합니다. 8x를 한번 더하면 8이고 한번 더하면 되겠네요.
당연 문제 자체가 무한급수를 의도해서 만든 문제라 로피탈로 하면 번거로운 계산이 생깁니다만
그걸 감안해도 보통 급수보다 로피탈이 쉬워서 로피탈로 풀게하는데.
유난히 이 문제는 로피탈로하면 계산이 좀 더 더러워지긴 합니다. |
|
| 995 |
질문있습니다
|
ipsin** |
2022-10-23 |
| 글제목 |
질문있습니다 |
| 작성자 |
ipsin** |
등록일 |
2022-10-23 |
|


교수님.. 차근차근히 생각해보면 다 논리에서 어긋나지 않은 계산인 것 같은데 답이 안나온다는 것은.. 잘 모르겠네요 ㅠ
또 다른 질문은

그리고 예전에 직교사영에 대해서 질문한 적이 있었는데 직교사영이 정사영이 아니라 정사영과 가까운 점인 벡터를 말하는게 아닌지요?? |
|
| └ |
답변! |
anamso** |
2022-10-24 |
| 글제목 |
답변! |
| 작성자 |
anamso** |
등록일 |
2022-10-24 |
|
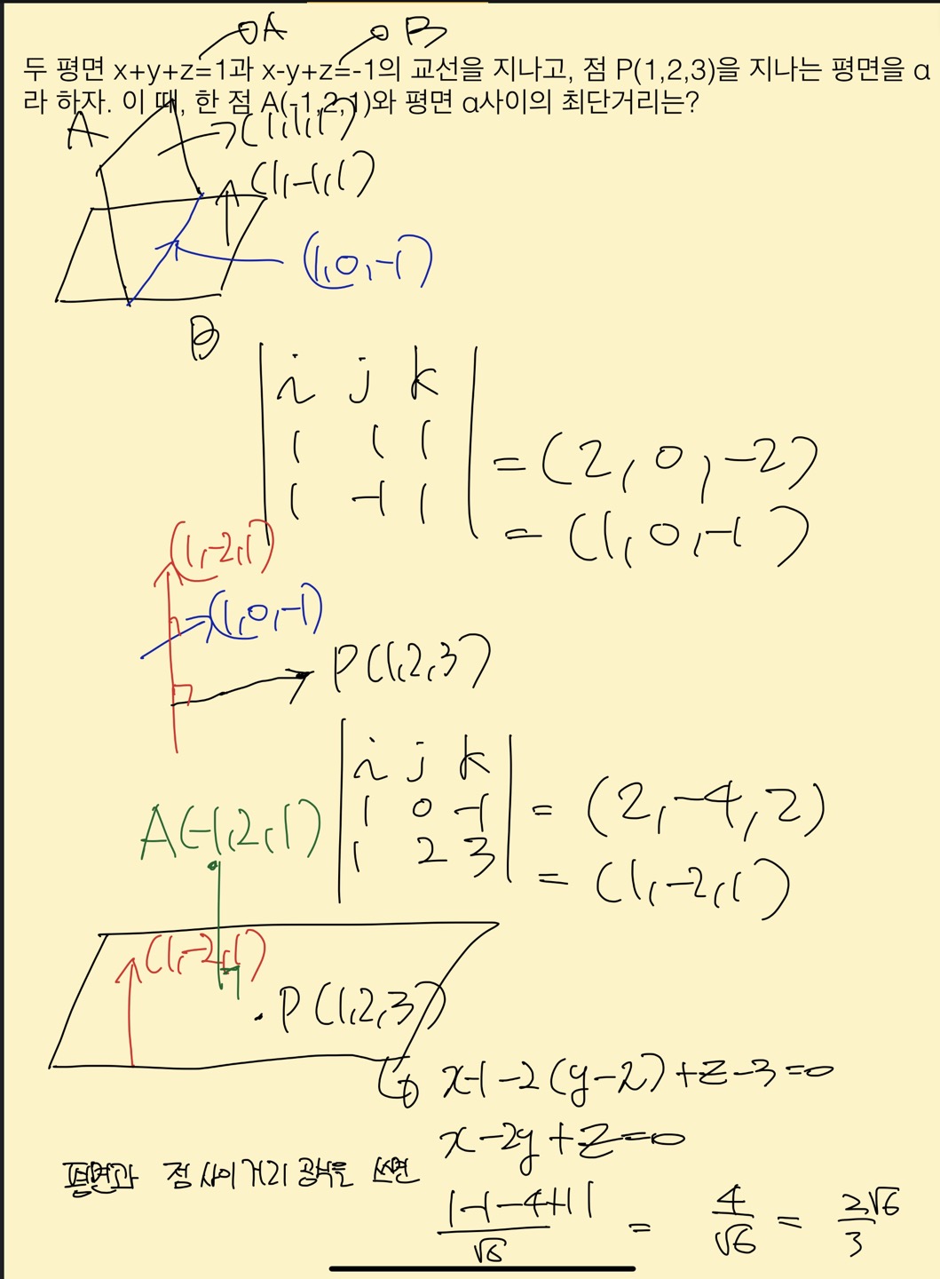
1. 두 평면의 외적으로 교선벡터를 구했죠? 그리고 교선가 포함된 평면을 구해야하는데,
여기서 교션벡터와 교선이 포함된 평면의 벡터, 정확히는 평면의 법선벡터는 교선벡터와 수직관계입니다.
하지만 주어진 풀이에서는 교선벡터 자체를 평면의 법선벡터로 써서 값이 나오지 않았습니다.
귀찮지만 교선벡터와 1,2,3과 또 외적을해서 새로 구해야합니다!
2. 직교사영이면 p벡터 혹은 p벡터 크기를 구하는겂니다. 주어진 식은 b-p 로 최단거리를 구한 것이네요!
제가 볼 떄 평면의 법선벡터 때 관계를 혼동하는게 아닌가 싶네요. |
|