| 1249 |
20 과기대 12
|
monge6** |
2022-12-21 |
| 글제목 |
20 과기대 12 |
| 작성자 |
monge6** |
등록일 |
2022-12-21 |
|

여러 번 풀어봤는데 다 비슷한 오답이 나오고 못풀겠습니다.. 제 방법으로는 적분 계산이 상당히 더러운데 계산 실수를 한건지 아니면 풀이 방법이 아예 틀렸는지 모르겠습니다
|
|
| └ |
답변입니다! |
anamso** |
2022-12-22 |
| 글제목 |
답변입니다! |
| 작성자 |
anamso** |
등록일 |
2022-12-22 |
|
F1x 계산이 틀렸습니다.
계산은 아래 같은데....저도 부분적분까지는 도저히 못하겠네요,
출제자 납치해서 자리 앉혀서 하루종일 이 문제 풀게 만들고 싶...

|
|
| 1248 |
20 과기대 11
|
monge6** |
2022-12-21 |
| 글제목 |
20 과기대 11 |
| 작성자 |
monge6** |
등록일 |
2022-12-21 |
|

그린정리를 이용하는 문제인거같은데 힘의 생김새가 어마무시해서 계산할 엄두가 나지 않네요..
혹시 제 풀이 방법은 잘못된건가요? 어떻게 풀어야되나요 |
|
| └ |
답변입니다! |
anamso** |
2022-12-22 |
| 글제목 |
답변입니다! |
| 작성자 |
anamso** |
등록일 |
2022-12-22 |
|
맞아요. 계산할 염두가 안나죠.
이런 계산할 염두가 안나는 문제는 보통 포텐셜 함수관계입니다.
그런데 식이 복잡해서 포텐셜인지 체크하는 것도 시간소모가 많이 들죠?
그래서 그냥 포텐셜인걸 가정하고 풉니다.
어차피 시간 많이 쏟을바에 걍 틀리는게 맞는 판단이니까요.
그래서 포텐션인걸 가정하고
닫힌 범위 안에 1,1과 -1,-1이 포함되어있습니다.
이는 힘F에 분모에 0을 만들죠. 분모 0이라니 정상적인 상황이 아니죠.
만약 분모 0을 만들지 않았다면 아니면 포텐션함수는 처음 위치와 마지막 위치만 중요해서
한바퀴 돌면 값은 0 이죠. 그래서 항상 이런 문제는 답 0이 보기에 있습니다. 함정이죠.
그래서 포텐셜 함수의 다른 특징인 `경로 변경`을 합니다.
주로 cos과 sin을 많이 쓰죠, 계산상 유리하니까요.
문제는 이 문제는 어떤 cos과 sin을 취할지 힘들게 식이 복잡합니다.
출제자가 제정신이라면 이걸 계산하라고 낸 문제는 아닌거 같고 보통 다른 문제는 치환하면
안에 식이 이쁘게 1 나옵니다. 그리고 한바퀴 돌았으니 2pi가 보통 답이죠.
특이하게 힘이 2개라 4pi보기도 매력적입니다.
2pi와 4pi 중 찍고 넘어갑니다.
저도 이 문제를 시간 내 제대로 풀지 못합니다. 그렇게 풀어서는 안되구요.
PS: 질문할 때 다른 학생들도 같이 볼 수있게 00년도 00대학 00문제 라고 써주면 좋아요!
|
|
| 1247 |
20 과기대 20
|
monge6** |
2022-12-21 |
| 글제목 |
20 과기대 20 |
| 작성자 |
monge6** |
등록일 |
2022-12-21 |
|

처음 보는 문제 유형인데 아예 모르겠습니다..
|
|
| └ |
답변입니다! |
anamso** |
2022-12-22 |
| 글제목 |
답변입니다! |
| 작성자 |
anamso** |
등록일 |
2022-12-22 |
|
냉정하게 처음보는 문제 유형이 되면 안됩니다. ㅠ
물론 선형대수가 표현이 많이 바뀌죠.
영공간은 AX=0 은 기억나죠?!
그 A가 주어진 행렬이고 X에 들어간 녀석들이 바로 영공간입니다.
쌩으로 구해도 되지만 값들이 주어져있으니 집어넣어봅시다.
1번은 0이 안되고 2번도 0이 안되고 3번도 안되고 4번이 0이 되네요!
|
|
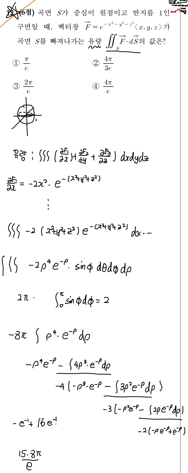
| 1246 |
라플라스
|
ipsin** |
2022-12-21 |
| 글제목 |
라플라스 |
| 작성자 |
ipsin** |
등록일 |
2022-12-21 |
|

|
|
| └ |
답변입니다! |
anamso** |
2022-12-22 |
| 글제목 |
답변입니다! |
| 작성자 |
anamso** |
등록일 |
2022-12-22 |
|
풀이는 아래와 같습니다.

|
|
| 1245 |
22건대 면적분질문
|
edga** |
2022-12-21 |
| 글제목 |
22건대 면적분질문 |
| 작성자 |
edga** |
등록일 |
2022-12-21 |
|

|
|
| └ |
답변입니다! |
anamso** |
2022-12-22 |
| 글제목 |
답변입니다! |
| 작성자 |
anamso** |
등록일 |
2022-12-22 |
|
주어진 식이 유량일 떄 발산정리를 적용하는 식입니다.
문제는 발산정리는 갖힌 면일 떄 (물을 담을 수 있는 그릇) 쓸 수 있지만
주어진 조건은 아래면이 뚤린 반구입니다.
선적분 심화 강의 가장 마지막 문제, 그리고 성균19 42반 문제에서 풀어드렸던, 조심히해야하는 문제이죠,
그래서 발산정리는 쓰지 못하고 해설처럼 주어진 면적분 식을 응용해서 풀어야 합니다.
결론 : 유량이고 발산정리를 써야하지만 갖힌 면이 아닐 경우 주어진 시면적분으로 써야함. |
|
| 1244 |
22건대문제 질문
|
edga** |
2022-12-21 |
| 글제목 |
22건대문제 질문 |
| 작성자 |
edga** |
등록일 |
2022-12-21 |
|

해설에서는 해당영역의 무게중심구해서 파프스정리로 풀던데 저런 꼴의 무게중심구하는공식은 배운기억이 없어서..
강사님께서는 이문제 어떻게 해결하시나요? |
|
| └ |
답변입니다. |
anamso** |
2022-12-22 |
| 글제목 |
답변입니다. |
| 작성자 |
anamso** |
등록일 |
2022-12-22 |
|
질문이 많은 문제인데요. 제 생각은 아래와 같습니다.
일단 정말 말도 안되는 문제. 30분 안에 이 문제를 포함해서 풀기 힘듭니다.
사선이라 파푸스를 써야하는데 문제는 무게중심을 구해야죠.
물론 저는 x와 x^2 무게중심을 수업 때문에 하도 많이 구해봐서 외우고 있습니다.
교재 적분학1 314p 같은 문제가 실려있습니다.
그런데 일반 수험생들에게 이걸 외우라고 하는 건 비합리적입니다.
그래서 무게중심을 직접 구해야합니다.
그리고 그 방법 밖에 없습니다.
그런데 건대입니다. 시간 너무 없죠.. 그래서 대충찍고 스킵해야합니다. ㅠ
일단 넓이는 1/6인건 쉽게 구할 수 있죠?
그럼 분모의 6의 배수가 들어가고.... root2가 들어간거보니 root2가 반드시 필요한가봅니다...
5번은 넓이가 너무 큰거 같고...
2번과 3번 중에 찍고 쿨하게 다음 문제 풀어요!
|
|
| 1243 |
질문
|
ipsin** |
2022-12-21 |
| 글제목 |
질문 |
| 작성자 |
ipsin** |
등록일 |
2022-12-21 |
|


|
|
| └ |
맞습니다. |
anamso** |
2022-12-22 |
| 글제목 |
맞습니다. |
| 작성자 |
anamso** |
등록일 |
2022-12-22 |
|
아래처럼 41^2으로 빼서해야합니다.
편의성 떄문에 41을 뺴고 푸는게 계산풀이상 유리합니다.
2x-4y를 2(x-2y)로 묵는 것처럼요. |
|
| 1242 |
파이널 자료 질문 있습니다!
|
sehyun07** |
2022-12-21 |
| 글제목 |
파이널 자료 질문 있습니다! |
| 작성자 |
sehyun07** |
등록일 |
2022-12-21 |
|
안녕하세요 선생님!
혹시 파이널 자료 기출문제 찍기 정답도 알려주실 수 있나요? |
|
| └ |
답변입니다! |
anamso** |
2022-12-22 |
| 글제목 |
답변입니다! |
| 작성자 |
anamso** |
등록일 |
2022-12-22 |
|
찍기 자료는 말그대로 제대로 풀지말고 찎어보라고 만든 자료인데요.
답은 최대한 빨리 체크해서 pdf 올려놓겠씁니다. 내일까지 조금만 기다려주세요! |
|
| 1241 |
그냥 궁금해서 질문
|
ipsin** |
2022-12-21 |
| 글제목 |
그냥 궁금해서 질문 |
| 작성자 |
ipsin** |
등록일 |
2022-12-21 |
|

|
|
| └ |
답변입니다. |
anamso** |
2022-12-21 |
| 글제목 |
답변입니다. |
| 작성자 |
anamso** |
등록일 |
2022-12-21 |
|
정확히는 아래 그림이 맞겠습니다.
그림1처럼 그려져있다면 그냥 이해하기 편히 위해 그려진 것이고 큰 의미는 없습니다. |
|
| 1240 |
21 국민 공대 26
|
seung208** |
2022-12-20 |
| 글제목 |
21 국민 공대 26 |
| 작성자 |
seung208** |
등록일 |
2022-12-20 |
|
e^ln(1+sin3x)에서 ln 사라지고 5(sin3x)가 된 걸 이해하기 어려워요 덧붙여진 설명을 보면 좀 알겠다가도 1의 무한대에서 1의 범위를 모르겠습니다 a^b에서 a가 1+sin3x인 거 같은데 e아 ln은 그럼 또 어떻게 처리하는지.. |
|
| └ |
엇 |
anamso** |
2022-12-22 |
| 글제목 |
엇 |
| 작성자 |
anamso** |
등록일 |
2022-12-22 |
|
엇 이문제는 양쪽에 ln 취하는 극한 유형이에요!
물론 일반적인 편입에서는 이상한 공식을 쓰는데.... 저도 그 공식을 안써서 잘 모르겠습니다.
풀이는 아래와 같습니다.

|
|
| 1239 |
로랑급수 질문
|
jjh04** |
2022-12-20 |
| 글제목 |
로랑급수 질문 |
| 작성자 |
jjh04** |
등록일 |
2022-12-20 |
|
반지름이 2일때 z=1로 로랑전개하면 1/z-1 꼴을 만들어 줘야 하는 건가요? |
|
| └ |
네! |
anamso** |
2022-12-21 |
| 글제목 |
네! |
| 작성자 |
anamso** |
등록일 |
2022-12-21 |
|
z=1도 특이점에 포함되므로 귀찮지만 추가 전개해야합니다 ㅠ |
|
| 1238 |
파이널 PDF 관련하여 질문 있습니다.
|
sehyun07** |
2022-12-20 |
| 글제목 |
파이널 PDF 관련하여 질문 있습니다. |
| 작성자 |
sehyun07** |
등록일 |
2022-12-20 |
|
안녕하세요 교수님!
올려주신 파이널 PDF 잘 풀고 있습니다.
혹시 연쇄법칙 파이널 PDF에 대한 정답을 알려주실 수 있나요? |
|
| └ |
헉 |
anamso** |
2022-12-20 |
| 글제목 |
헉 |
| 작성자 |
anamso** |
등록일 |
2022-12-20 |
|
다시 볼드체 칠해서 pdf 올렸습니다!
|
|
| 1237 |
푸비니정리 pg.314
|
edga** |
2022-12-20 |
| 글제목 |
푸비니정리 pg.314 |
| 작성자 |
edga** |
등록일 |
2022-12-20 |
|

|
|
| └ |
답변입니다. |
anamso** |
2022-12-20 |
| 글제목 |
답변입니다. |
| 작성자 |
anamso** |
등록일 |
2022-12-20 |
|
x의 범위가 이미 1부터 e^e라 양수입니다! 음수라고 가정을 할 수가 없어요. |
|
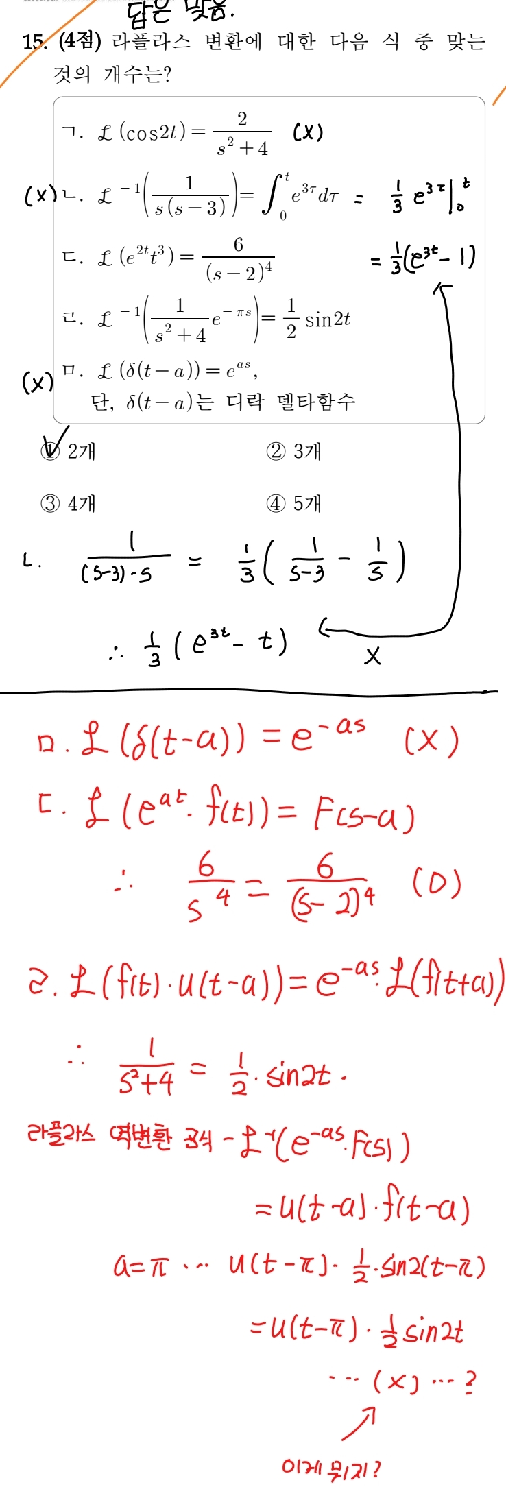
| 1236 |
기출문제 질문 라플라스
|
monge6** |
2022-12-19 |
| 글제목 |
기출문제 질문 라플라스 |
| 작성자 |
monge6** |
등록일 |
2022-12-19 |
|

답은 맞췄는데 운좋게 답만 맞은건지 잘모르겠습니다.
ㄴ을 잘못 푼건지 아니면 ㄹ의 u(t-파이)1/2sin2t가 그냥 1/2sin2t랑 똑같은 말인건가요? |
|
| └ |
답변입니다. |
anamso** |
2022-12-20 |
| 글제목 |
답변입니다. |
| 작성자 |
anamso** |
등록일 |
2022-12-20 |
|
ㄴ.. 잘했는데 ㄴ 맞습니다.
주어진식 라플라스를 직접 하면 똑같은 함수가 나옵니다.
ㄹ은 계단함수가 들어갔는데 계단함수 u(t-a)가 표현 안되어서 당연 틀린 보깁니다. |
|
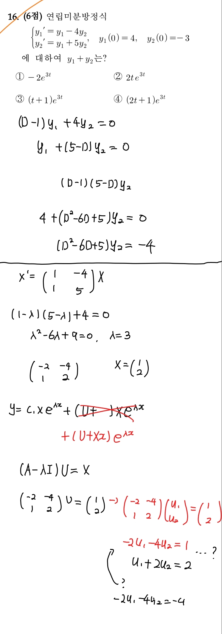
| 1235 |
기출문제 질문 연립미분방정식
|
monge6** |
2022-12-19 |
| 글제목 |
기출문제 질문 연립미분방정식 |
| 작성자 |
monge6** |
등록일 |
2022-12-19 |
|

처음에 연산자로 풀어보려다가 안될거같아서 대각행렬을 사용했습니다.
고유치가 중근으로 나왔는데 중근으로 나왔을 때 U 구하는 방법을 모르겠습니다.. |
|
| └ |
아쉽게도 |
anamso** |
2022-12-20 |
| 글제목 |
아쉽게도 |
| 작성자 |
anamso** |
등록일 |
2022-12-20 |
|
아쉽게도.. 중근 그리고 허근일 떄는
그냥 연산자로 구해주세요.
구한다면 저기서 선형대수에서 했던 방법으로
u2=1 이면 u1=0
그럼 (0,1) 입니다. |
|