| 1039 |
파이널 관련 질문이 있습니다!
|
sehyun07** |
2022-11-11 |
| 글제목 |
파이널 관련 질문이 있습니다! |
| 작성자 |
sehyun07** |
등록일 |
2022-11-11 |
|
안녕하세요 교수님!
다름이 아니라 공지사항에 올라가 있는 파이널 자료를 봤습니다. 구글 드라이브에 무한급수 부터 여러 개념들 정리되어 있는 파일을 봤는데요, 혹시 문제들 정답은 어디에 있을까요?
그리고 경희대학교를 지원하려고 하는데, 20년도 부터 논술에서 객관식으로 바뀌었다고 알고 있습니다. 그 전 논술 문제들도 풀어보면서 대비하는게 좋을까요? |
|
| └ |
답변입니다. |
anamso** |
2022-11-13 |
| 글제목 |
답변입니다. |
| 작성자 |
anamso** |
등록일 |
2022-11-13 |
|
파이날 자료 정리해서 다시 올라갈 예정입니다! 다시 공지 드릴테니 그전까지 일단 기출문제를 풀어주세요 :)
경희대 문제는 기본개념만 확실히 숙지했다면 어렵게 꼬지 않게 냅니다.
동국대 외대 이대 숙대랑 문제가 흡사하니 요학교 위주로 풀면 도움됩니다 :) |
|
| 1038 |
고유치
|
edga** |
2022-11-11 |
| 글제목 |
고유치 |
| 작성자 |
edga** |
등록일 |
2022-11-11 |
|
고유치구하기위해서 벡터의 주대각선의 원소에서 람다를 빼기전에, 먼저 행렬식의 성질을 이용한 연산을 통해 간소화 한후에 고유방정식을 구하는방법으로 하면은 안되는건가요? |
|
| └ |
아쉽게도 |
anamso** |
2022-11-11 |
| 글제목 |
아쉽게도 |
| 작성자 |
anamso** |
등록일 |
2022-11-11 |
|
아쉽게도 고유치구할 때는 rank 연산을 하고 하면 안됩니다...
걍 썡노가다를 하셔야합니다.
간혹 정말 구하기 힘든 고유치값을
대충 주어진 보기와 고유치의 합인 trace 로 거르는 방법도 있습니다. |
|
| 1037 |
21건대34번
|
ipsin** |
2022-11-10 |
| 글제목 |
21건대34번 |
| 작성자 |
ipsin** |
등록일 |
2022-11-10 |
|


|
|
| └ |
함정 |
anamso** |
2022-11-11 |
| 글제목 |
함정 |
| 작성자 |
anamso** |
등록일 |
2022-11-11 |
|
이 문제 굉장히 조심해야할 포인트가 있습니다.
우리는 평소 x,y를 u,v로 바꿔서 하죠?
하지만 이 문제는 주어진 식이 u,v이고.. 이것을 x,y로 바궈야합니다....
그래서 야코비안값을 평소습관대로 하면 안되고 역수를 해야합니다.
억울하죠?
이래서 중적분은 함부로 건들면 안됩니다 ㅠ 괜히 시간만 쓰고 엉키니까요.
건대 실전에서는 바로 스킵하세요. |
|
| 1036 |
방향도함수문제질문
|
tlsaudc** |
2022-11-10 |
| 글제목 |
방향도함수문제질문 |
| 작성자 |
tlsaudc** |
등록일 |
2022-11-10 |
|

그레디언이 1,1 이 나왔는데 그러면 평면방정식의 수직벡터가 동일해야 변화율이 가장큰게 아닌가요? 뭘 놓친건지 궁금합니다. 왜 -1일까요..
|
|
| └ |
답변입니다. |
anamso** |
2022-11-11 |
| 글제목 |
답변입니다. |
| 작성자 |
anamso** |
등록일 |
2022-11-11 |
|
이유는 평면이기 때문이에요.
ax+y-1=0 도 사실 평면이죠? 여기서 (a,1)은 당연 법선벡터가 될테구요.
그럼 그레디안 (1,1) 과 (a,1)은 같으면 안되고 수직관계일 때가 되어야 합니다.
그럼 내적이 0 일테고 그러기 위해선 a=-1 이 되어야합니다.
|
|
| 1035 |
선형변환에 대한 좌표표현을 왜 열로 나타내죠?
|
tlsaudc** |
2022-11-10 |
| 글제목 |
선형변환에 대한 좌표표현을 왜 열로 나타내죠? |
| 작성자 |
tlsaudc** |
등록일 |
2022-11-10 |
|
선형변환에 대한 좌표표현을 왜 열로 나타내죠? 행으로 나타내는게 a1 a2 a3 w1 b1 b2 b3 w2 c1 c2 c3 w3 가 기본적인 행렬표현 아닌가요? |
|
| └ |
그것은.. |
anamso** |
2022-11-11 |
| 글제목 |
그것은.. |
| 작성자 |
anamso** |
등록일 |
2022-11-11 |
|
행렬 연산 과정을 자세히 보면 그렇게 표현될 수 밖에 없게 연산이 되었기 떄문이에요.
별다른 의미가 있는 건 아닙니다.
우린 편의상 좌표를 가로로 쓰고 rank를 했지만
사실 세로로 쓰고 rank를 해도 상관없은 없는 것처럼요.
익숙하게 행으로도 표현할 수 있게 행렬을 바꿀 수도 있지만 그렇게 하기엔 이미 고착화된 표현이라 그냥 쓰도록하는게 좋겠습니다.
|
|
| 1034 |
문제 질문
|
monge6** |
2022-11-10 |
| 글제목 |
문제 질문 |
| 작성자 |
monge6** |
등록일 |
2022-11-10 |
|

기출문제 풀다가 모르는게 있어서 질문드립니다. 중적분을 푸는거같은데 범위나 식이 거의 처음보는게 나왔습니다. 책을 찾아보니 강의에서는 배우지 않은 중적분 좌표변환에서 문제와 같은 마름모꼴 범위가 나오는거 같은데 그걸 몰라도 풀수있겠거니 생각하고 도전해봤지만 거의 손도 못댔습니다.. 제가 문제를 많이 안풀어봐서 그런지 선생님이 말씀해주신 나중에 풀어야하는? 걸러야하는? 문제가 뭔지 구별하는 능력이 부족한데, 이 문제가 혹시 그런 문제인건가요?
|
|
| └ |
답변입니다. |
anamso** |
2022-11-11 |
| 글제목 |
답변입니다. |
| 작성자 |
anamso** |
등록일 |
2022-11-11 |
|
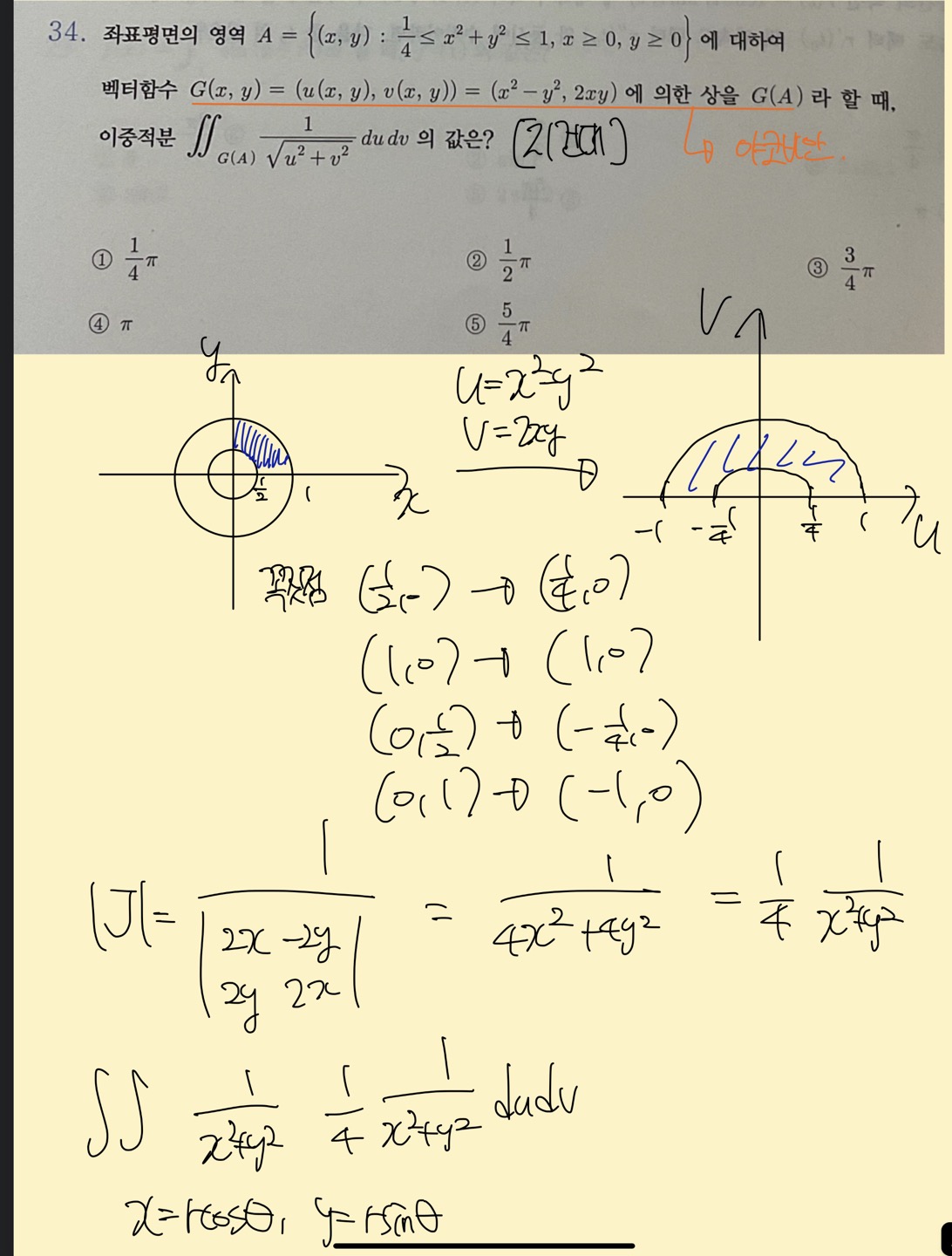
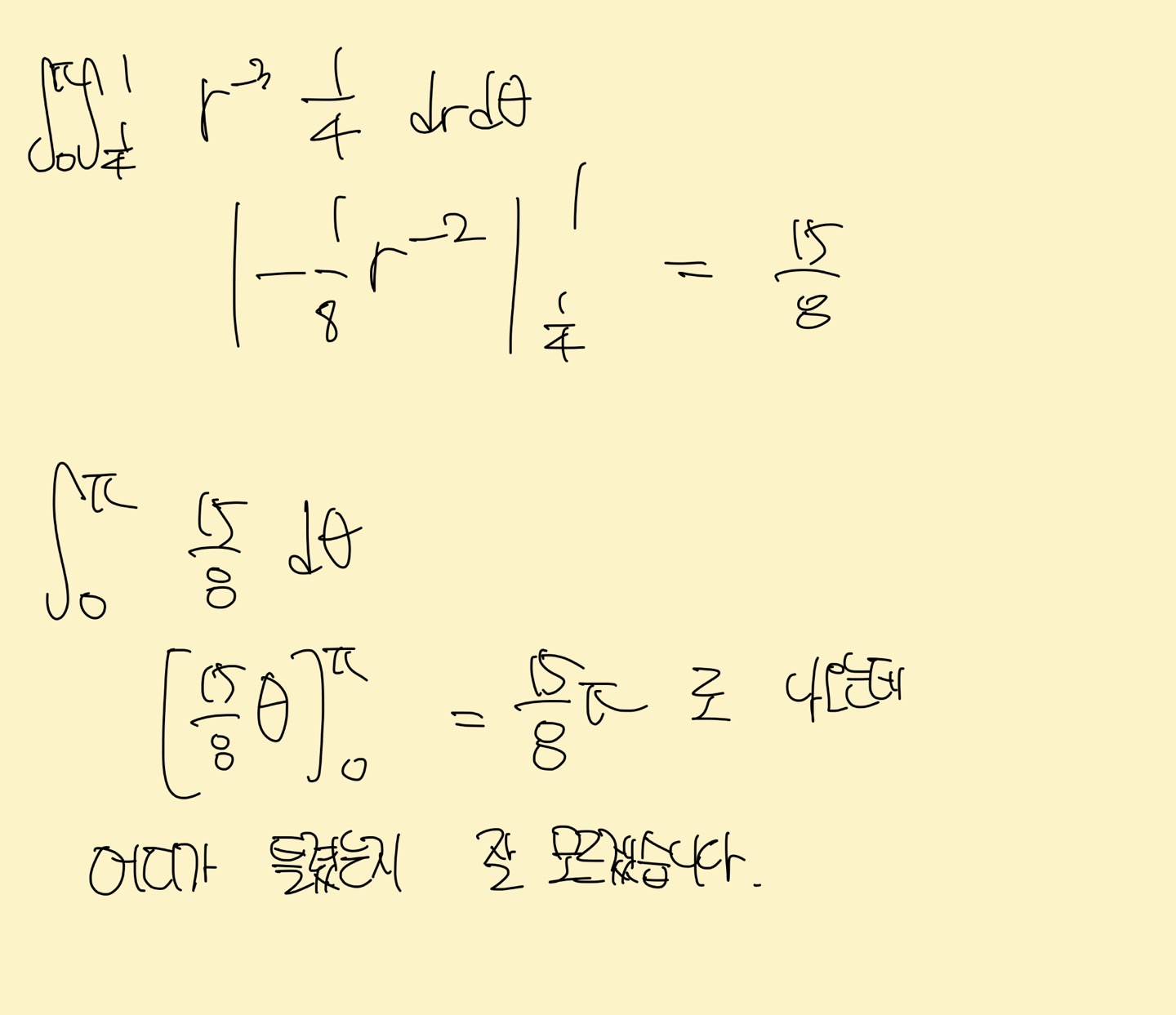
중적분 좌표변환 문제인데요. 좌표변환을 쓰지 않으면 적분자체가 아주아주 힘들거에요.
중적분 좌표변환인지 어떻게 알았냐면 일단 마름모가 보였고 중적분식에 x+y와 x-y가 보였기 떄문이에요.
문제는 식이 범상치 않아보이고 마름모도 중심이 원점이 아니죠? 이러면 살짝 긴장할 필요가 있겠습니다.
일단 x,y 평면 좌표를 u,v로 옮길텐데 아래처럼 점점 집어넣어서 표현해보죠.
엇?? 그런데 모양이 이쁘게 정사각형으로 나오네요? 정말 다행입니다. 그러면 중적분은 쉽네요.
만약에 이 문제가 아래처럼 정사각형이 안나왔다면 스킵했을겁니다. 굉장히 복잡했을테니까요.
이 문제는 어려워 보이지만 `알고보면` 쉬운 문제였습니다.
하지만 시험장에서 `알고보면` 이게 참 힘들죠. 특히 중적분은 잘못 건들다가 시간만 잡아먹고 못 풀게 되는
정말 최악의 상황이 나올 수 있는 문제유형입니다.
그렇기에 중적분은 뭔가 이상해보이면 일단 나중에 푸는 걸 추천드립니다.
아래 2 -> 1/2로 바꺼야겠네요!

|
|
| 1033 |
문제 질문
|
monge6** |
2022-11-10 |
| 글제목 |
문제 질문 |
| 작성자 |
monge6** |
등록일 |
2022-11-10 |
|

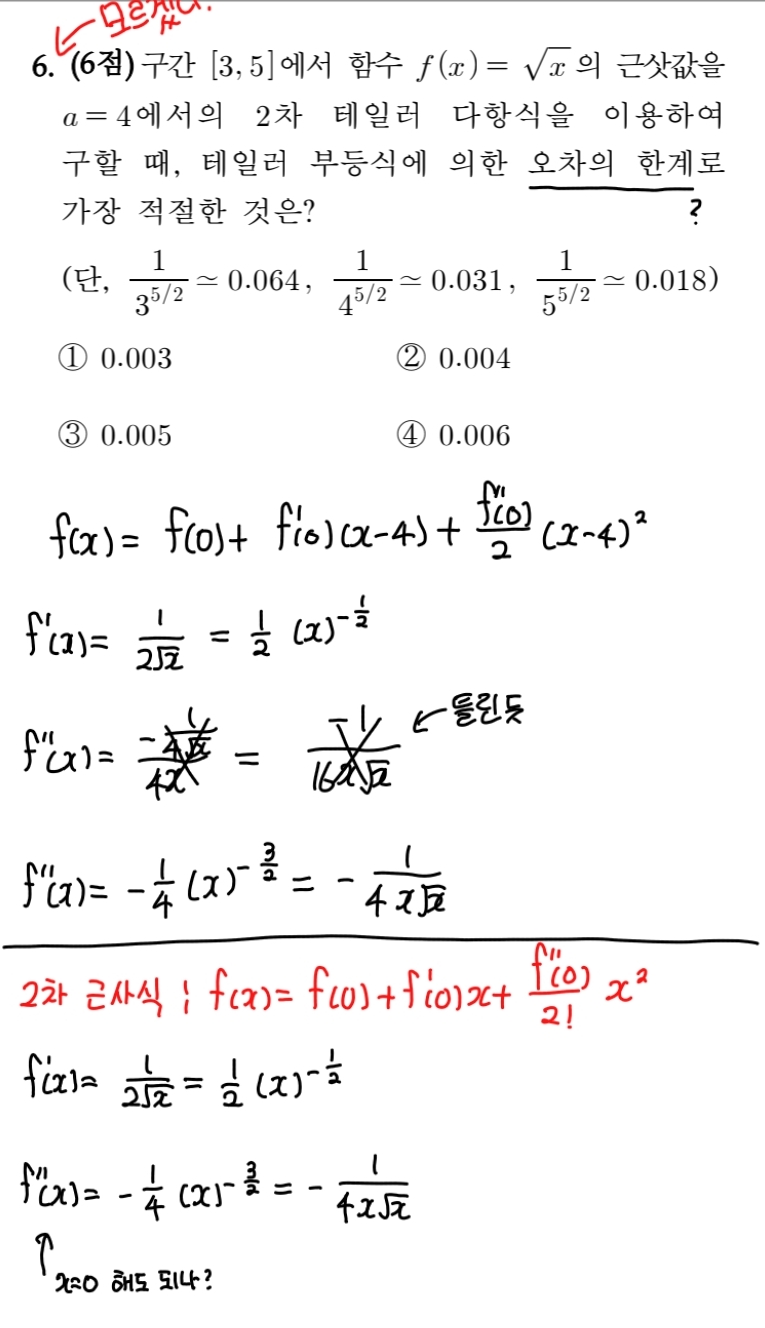
기출문제 풀다가 모르는게 있어서 질문드립니다 테일러 다항식에 근삿값 문제인거같은데 문제부터 일단 이해가 잘안됩니다.. 알고있는 테일러 다항식 근삿값 식은 끄적여보았는데 아예 모르겠어요.. |
|
| └ |
테일러 다항식 오차 |
anamso** |
2022-11-11 |
| 글제목 |
테일러 다항식 오차 |
| 작성자 |
anamso** |
등록일 |
2022-11-11 |
|
다 좋았는데요.
x=a 에서 테일러 급수는 아래처럼 표현합니다.
f(x)=f(a)+f'(a)(x-a)+f''(a)/2!*(x-a)^2
그런데 사실 이 문제의 문제는 오차의 한계를 구하라고 하는 표현인데요.
일단 이건 출제자가 너무 깊은 내용을 물어봤습니다.
오차라는 사전지식이 없으면 못 푸는 문제입니다.
그렇다고 이걸 디테일하게 공부하는 건 비효율적이고 간단히 설명하자면
오차의 한계는 실제값과 테일러급수로 구한 근사값과의 차이인데요.
이 때 2차까지 구하라고 했으니 3차부터 짤리죠? 이 값을 구해야합니다.
테일러급수시 버려지는 값을 이용하는데요.
f(x)=f(a)+f'(a)(x-a)+f''(a)/2!*(x-a)^2 이후 f'''(a)/3!*(x-a)^3... 값들입니다. 여기서 첫항 f'''(a)/3!*(x-a)^3 하나만 구해보면 대략 (3/8*0.031)/3!*(x-4)^3=0.002^(x-4)^3 값이 나옵니다.
여기서 범위는 3~5 이므로 5값을 집어넣으면 0.002 3값을 집어넣으면 -0.002이 0.004정도의 오차가 생기겠습니다.
이 문제를 꼭 이해하고자 한다면
https://www.youtube.com/watch?v=FuxAz6rOl2s
내용 참고하고 공부하면 되나.. 솔직히 그럴 필요 없고 그냥 이 문제는 버리시면 되겠습니다. |
|
| 1032 |
문제 질문
|
monge6** |
2022-11-10 |
| 글제목 |
문제 질문 |
| 작성자 |
monge6** |
등록일 |
2022-11-10 |
|

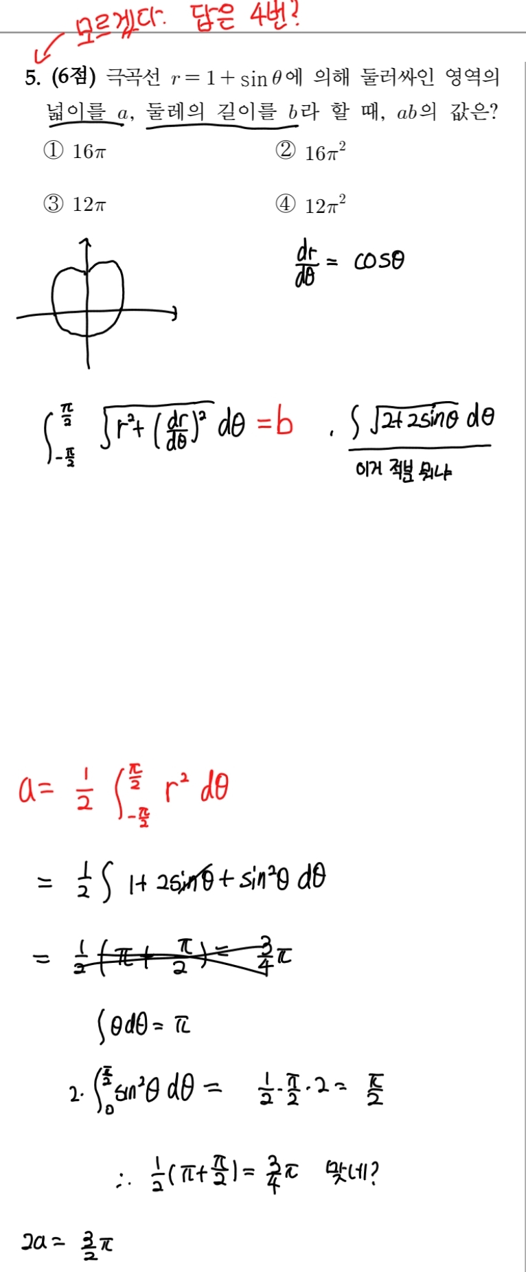
기출문제 풀다가 모르는게 있어서 질문드립니다
극곡선으로 둘러싸인 넓이는 구한거같은데 둘레의 길이를 푸는데 적분을 못하겠습니다.. 도와주세요 |
|
| └ |
답변입니다. |
anamso** |
2022-11-11 |
| 글제목 |
답변입니다. |
| 작성자 |
anamso** |
등록일 |
2022-11-11 |
|
아랫처럼 적분해요.
사실 이렇게 한번도 안해봤으면 못하는건데요.
시험 때는 당황하지 말고 어차피 1+sin이나 1+cos이나 같은 모양이니 센스있게 r=1+cos 으로 구해보는것도 하나의 방법입니다.

|
|
| 1031 |
기출문제 풀다가 질문
|
monge6** |
2022-11-10 |
| 글제목 |
기출문제 풀다가 질문 |
| 작성자 |
monge6** |
등록일 |
2022-11-10 |
|

기출문제를 풀다가 모르겠어서 질문드려요 제가 적분을 못하는건지 아니면 적분이 나오기 전부터 실수한건지 잘모르겠습니다..
|
|
| └ |
답변입니다. |
anamso** |
2022-11-11 |
| 글제목 |
답변입니다. |
| 작성자 |
anamso** |
등록일 |
2022-11-11 |
|
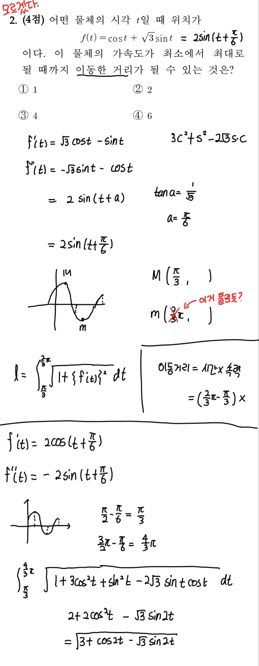
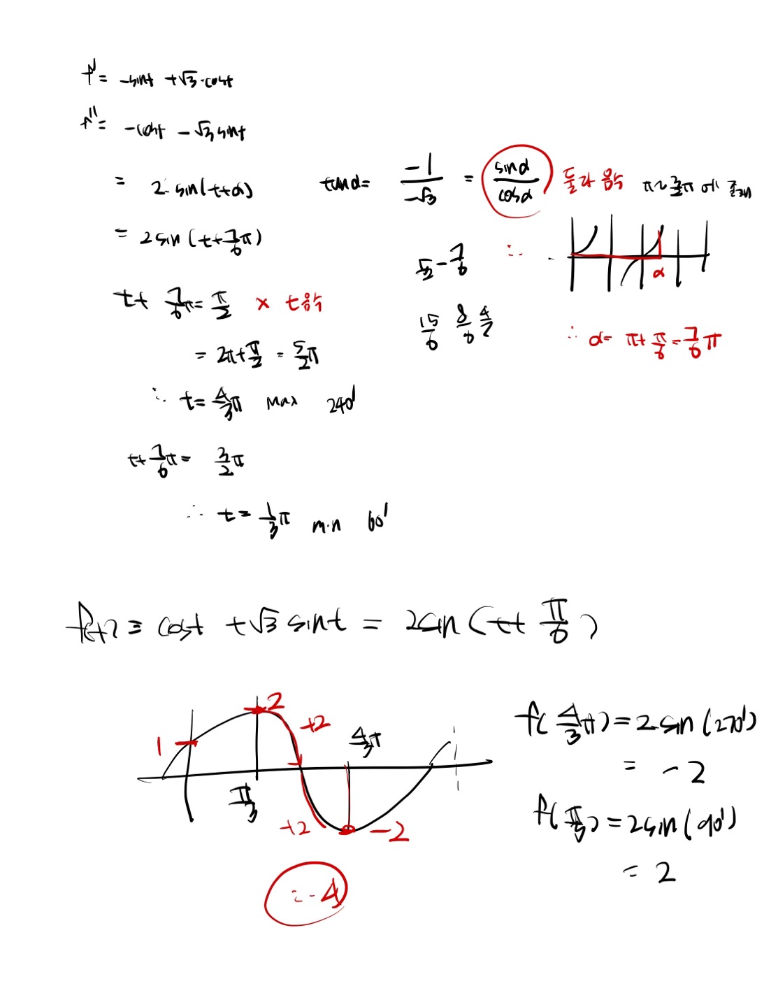
와 너무 짜증나는 문제네요 ㅋㅋ
솔직히 편입수학만 공부한 친구들이 풀기엔 좀 힘든 문제 같구요.
일단 아래보면 알겠지만 사실 합성삼각함수할 때 알파값을 디테일하게 구하지 않는데
이 문제 경우 체크할 사항이 좀 있습니다.
그리고 원래 이동거리는 표현한 것처럼 속도로 구하는게 정석이나 그렇게 구할 시 적분이 힘듭니다.
그래서 그냥 주어진 위치그래프를 이용해서 구해야겠습니다.

|
|
| 1030 |
기출풀이법질문
|
ipsin** |
2022-11-10 |
| 글제목 |
기출풀이법질문 |
| 작성자 |
ipsin** |
등록일 |
2022-11-10 |
|


일단 저 풀이로 써서 정답은 1로 맞습니다. 그런데, 묻고싶은 질문은 이때까지 교수님 커리큘럼을 들으면서 어려운 문제 푸는 법은 1. 조건에 맞는 간단한 케이스 대입 2. 그림 그려서 풀기 3. 선지에 있는 값을 집어넣어봐서 풀어보기로 총 3가지를 배웠는데 제가 기출문제를 풀때마다 불안한 점이 드는게 위 문제를 저런 식으로 풀어서 3분정도 풀게 되었는데 위 사진 속 풀이와 같이 조건에 위배되지 않게 선생님께 배운 그대로 문제에 적용했어요. 그런데, 막상 해설지에 보면 풀이는 엄청 길게 되어있고 실전에서 이렇게 써먹을 수 있을까?라는 생각이 들지만 이런 방법(어려운 문제 푸는 3가지 방법)으로 기출문제를 공부하고 분석하는게 맞는지 계속 의구심이 드네요.물론 어려운 문제 푸는 3가지 방법으로 답이 맞다면 아 실전에서 이런 문제가 나오면 이렇게 풀면되겠구나하고 말면 되는데 만약에 위 서강대 문제처럼 이렇게 어려운 문제를 3가지 접근법으로 해서 풀었는데 답이 틀리다면 그때는 그냥 이 문제가 실전에서 나오면 못푸니까 실전에서 이 문제 나오면 스킵해야지라고 생각하면서 기출분석할 필요도 없이 손절하면 되는건가요? 아니면 사실 저 3가지 접근법으로 풀 때 제가 잘못 해줘서 어디서 틀렸을까를 분석해서 풀어야 되는건가요? 저 세가지 방법으로 푸는 건 무조건100%맞는 풀이가 아니라 빠르고 간결하게 70%의 확률로 푸는 걸로 알고있는데 어려운 문제 3가지의 접근법으로 위배되는 것 없이 풀어도 틀리면 선생님께 풀이법을 질문해서 공부해야 되나요?
그리고 그냥 딱 봐도 실전에서 못풀겠다하는 기출문제들은 그냥 분석이나 안풀고 스킵하나요?? 사실 건대에 위도경도?그 문제는 그냥 안풀고 말았는데 그래도 되나요? 한번 풀고 분석하고 그래야 될까요? |
|
| └ |
답변입니다. |
anamso** |
2022-11-10 |
| 글제목 |
답변입니다. |
| 작성자 |
anamso** |
등록일 |
2022-11-10 |
|
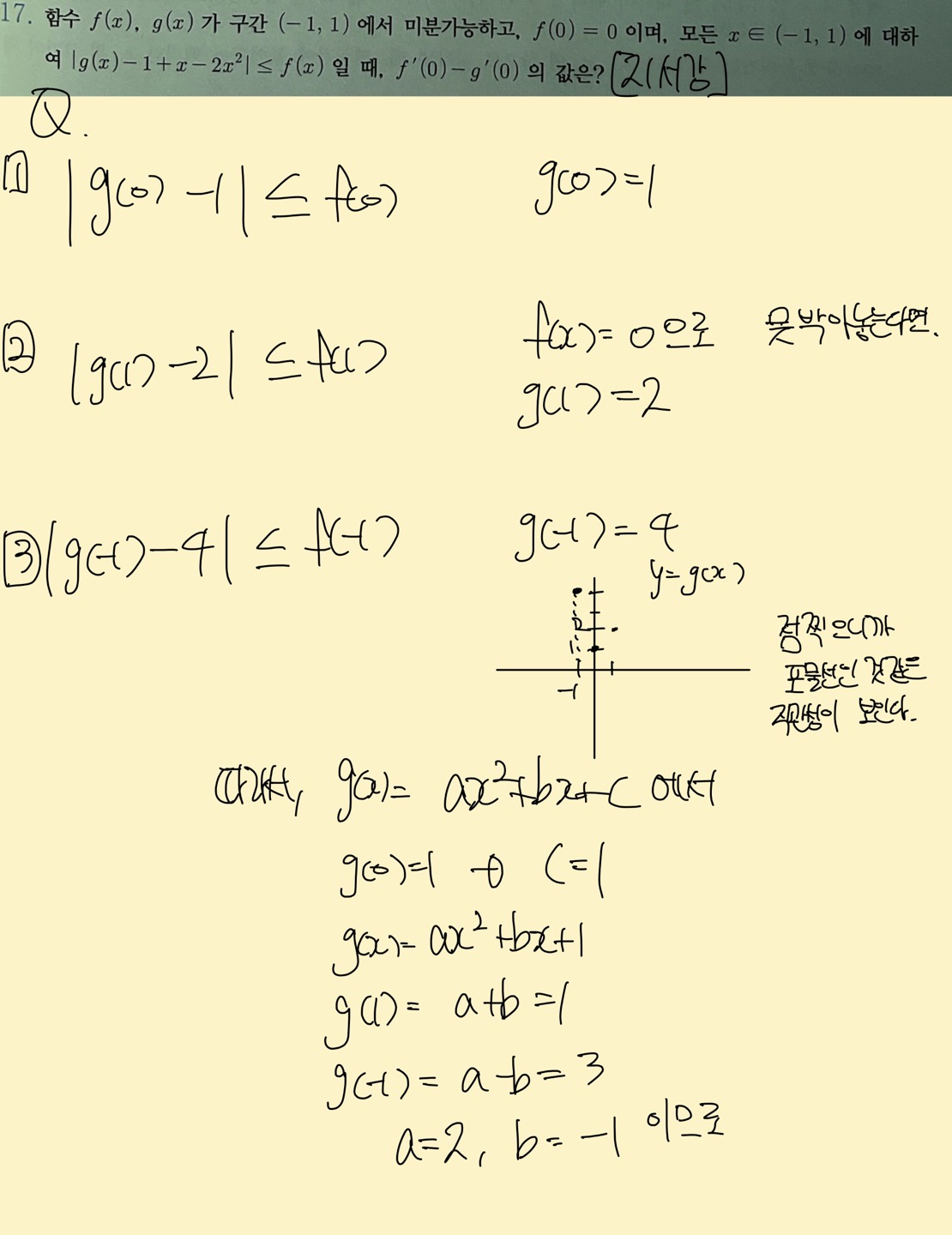
이런 문제는 미분학 내용이고 함수에 대한 깊은 사고력이 있어야 쉽게 풀 수 있는 문제입니다.
수능형 문제라고 할 수 있죠.
해설에서는 어떻게 풀어놨는지 모르겠지만 아마도 어디서 답지 뺏기듯이 풀어놨을 거 에요.
이런 문제를 잘 풀려면 정말 수능처럼 깊게 공부하고 수능 킬러 문제를 다각도로 여러문제 풀면서 공부해야합니다.
근데 일반 편입수학을 그렇게 공부하는 건 사실 불가능하기도 하고 가성비가 매우 떨어지죠.
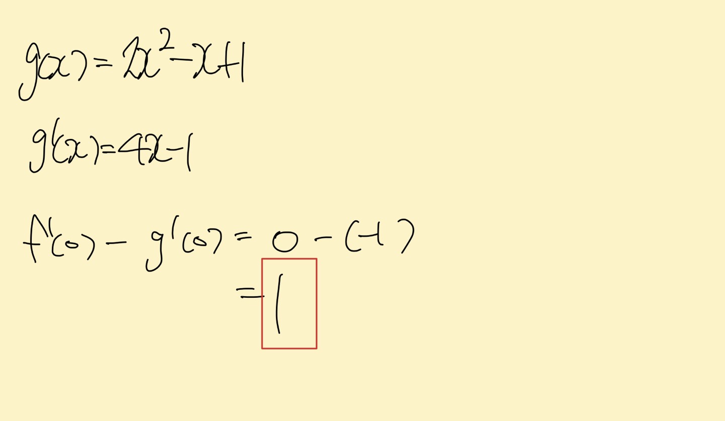
예를 들어, 이 문제는 h(x)=g(x)-1+x-2x^2 라하면
-f(x)
-f(0) 아무튼, 준비도 못하고 현실적으로 그래프를 그리거나 대입해서 푸는 수 밖에 없습니다. 어차피 시험 붙는 친구들이
저 문제를 기가막히게 풀어서 붙는 친구는 없으니 걱정안해도 됩니다.
위도 경도 그런 문제들은 그냥 재수(?)가 없는 문제니 리뷰할 것도 없습니다.
그 문제를 어떻게 나올줄알고 준비해서 풀까요. 준비한다해도 맞추는 보장도 없구요.

|
|
| 1029 |
21서강3번
|
ipsin** |
2022-11-10 |
| 글제목 |
21서강3번 |
| 작성자 |
ipsin** |
등록일 |
2022-11-10 |
|


|
|
| └ |
답변입니다. |
anamso** |
2022-11-10 |
| 글제목 |
답변입니다. |
| 작성자 |
anamso** |
등록일 |
2022-11-10 |
|
1번 케이스는 tan는 무시하고 1/n^p 이고 분모에 n 이 있어서 1/n^p-1 인데
분자에 n을 신경 안쓰고 n^p만 고려해서 판단하면 안됩니다.n^1.5 라 해도 분모랑 지워져서 n^0.5가 되어 발산이 됩니다.
2번케이스이 딱 정확한 풀입니다. |
|
| 1028 |
19건대35번
|
ipsin** |
2022-11-09 |
| 글제목 |
19건대35번 |
| 작성자 |
ipsin** |
등록일 |
2022-11-09 |
|

|
|
| └ |
답변입니다. |
anamso** |
2022-11-10 |
| 글제목 |
답변입니다. |
| 작성자 |
anamso** |
등록일 |
2022-11-10 |
|
마침 오늘 현강에서 풀었던 문제인데요.
z=x+y로 하면 0 이 나오죠. 근데 보기 1~5번도 다 0입니다. 그럼 보기가 서로 갈라지는 다른 예를 집어넣어야 합니다.
평소보다 조금 불편(?)하게 보기를 만들어서 넣어야합니다.
두번 미분해야하기 때문에 2차식을 만드는게 좋구요.
z=x^2+2y^2을 예로 집어 넣습니다.
여기서 2y^2 냐면 새로 만들면 귀찮기 때문에 2를 붙여봅니다. 이렇게 까지 공들여 만들었으니 분명 보기가 갈라질 수 밖에 없습니다.
그러면 보기가 정확히 3번 혼자 만족하게 나옵니다. |
|
| 1027 |
19건대38번
|
ipsin** |
2022-11-09 |
| 글제목 |
19건대38번 |
| 작성자 |
ipsin** |
등록일 |
2022-11-09 |
|

|
|
| └ |
변수분리 |
anamso** |
2022-11-10 |
| 글제목 |
변수분리 |
| 작성자 |
anamso** |
등록일 |
2022-11-10 |
|
변수분리는 상수일 때 가능한데요.
주어진 적분 식에서 x는 상수 취급합니다. 인테그랄 dtds 적분에서 t와 s만 변수로 취급할 뿐 x는 그냥 상수로 취급하고 적분하면 되겠습니다. |
|
| 1026 |
선형변환의 치역
|
tlsaudc** |
2022-11-09 |
| 글제목 |
선형변환의 치역 |
| 작성자 |
tlsaudc** |
등록일 |
2022-11-09 |
|
T(x,y,z)=(-4y+2z,-x-9y+4z,x+y) Ax=0 꼴로 구하던데 이러면 핵공간을 찾으라는거랑 치역은 무슨차이인거죠? |
|
| └ |
핵공간과 치역의 차이 |
anamso** |
2022-11-10 |
| 글제목 |
핵공간과 치역의 차이 |
| 작성자 |
anamso** |
등록일 |
2022-11-10 |
|
핵공간은 정의역 V에 존재하는값입니다 .
AX=0 에서 X 이지요.
치역은 공역 W에 존재하고 AX 그 자체입니다. 이미 영공간이라 하면 이미 치역은 0 으로 고정되있습니다.
그냥 핵공간 치역을 물어봤을 거 같진 않고 문제표현을 정확히 봐야겠는데요?! |
|
| 1025 |
기약사다리꼴은 K개의 영행을 가진다?
|
tlsaudc** |
2022-11-09 |
| 글제목 |
기약사다리꼴은 K개의 영행을 가진다? |
| 작성자 |
tlsaudc** |
등록일 |
2022-11-09 |
|

여기서 말한 기약사다리꼴 영행은 행방향 즉 row 쪽의 영벡터를 가진다는 소리이니깐 영공간차원은 이미 상공간차원에서 사라진 2차원을 포함하므로 영행이 몇개라고 묻는건 K(영공간차원)-2(column쪽)차원을 빼면 나온다는 소리인가요? |
|
| └ |
단순한 의미 |
anamso** |
2022-11-10 |
| 글제목 |
단순한 의미 |
| 작성자 |
anamso** |
등록일 |
2022-11-10 |
|
뭔가 말이 복잡한데요. 그래서 실제 풀 땐 그냥 예를 집어넣었죠.
다시 말로 정리하자면
영공간 차원 k=9-rankA
RANK시 '0'줄을 개수를 a라고 하면 rank값은 7-a 으로 표현할 수 있겠네요..
k=9-(7-a)=a-2 가 되겠습니다. 보기는 k와 a를 같다고해서 틀린 말입니다.
|
|