| 1078 |
연립
|
ipsin** |
2022-11-21 |
| 글제목 |
연립 |
| 작성자 |
ipsin** |
등록일 |
2022-11-21 |
|

20분동안 해봤는데 연립이 쉽사리 해결되지 않는데 어떻게 풀어서 해야될까요 교수님
|
|
| └ |
답변입니다. |
anamso** |
2022-11-21 |
| 글제목 |
답변입니다. |
| 작성자 |
anamso** |
등록일 |
2022-11-21 |
|
좀 빡치네요. A구했고 a=A-1 이고 B=(-1-3A)/4입니다. 
|
|
| 1077 |
22건대 17번
|
ipsin** |
2022-11-20 |
| 글제목 |
22건대 17번 |
| 작성자 |
ipsin** |
등록일 |
2022-11-20 |
|

이렇게만 풀어야 되나요 교수님
|
|
| └ |
답변입니다. |
anamso** |
2022-11-21 |
| 글제목 |
답변입니다. |
| 작성자 |
anamso** |
등록일 |
2022-11-21 |
|
제대로 풀려면 풀이대로 하는 수 밖에 없겠는데요. 하지만 시험장에선 그렇게 당연 풀 수 없구요.
지금은 생소한 표현일수 있지만, 기출 여러번 풀다보면
F=(-y/x^2+y^2, x/x^2+y^2) 일 때, 그린정리는 자주 나오는 문제 형태입니다.
확실한건 F=(-y/x^2+y^2, x/x^2+y^2), 즉 이 문제에서 k=1 일 때 주어진 곡선이 원점을 지나지 않으면 0 이기 때문에
k=1 이라고 체크하고 넘기는게 최선 같습니다. |
|
| 1076 |
z좌표가 음수가 아닌 부분
|
ipsin** |
2022-11-20 |
| 글제목 |
z좌표가 음수가 아닌 부분 |
| 작성자 |
ipsin** |
등록일 |
2022-11-20 |
|


|
|
| └ |
구에서 z 음수가 아닌 부분 |
anamso** |
2022-11-21 |
| 글제목 |
구에서 z 음수가 아닌 부분 |
| 작성자 |
anamso** |
등록일 |
2022-11-21 |
|
중요한건 구에서 음수가 아닌 부분이면 반구죠.
말 그대로 구에서 반 자른 겁니다. 자르면 당연히 밑면이 존재하지 않죠.
조건에서 z=0 혹은 xy평면이라는 말을 넣어주지 않으면 면이 있다고 생각하면 안되겠습니다. |
|
| 1075 |
복소함수 유형문제
|
|
2022-11-19 |
| 글제목 |
복소함수 유형문제 |
| 작성자 |
|
등록일 |
2022-11-19 |
|
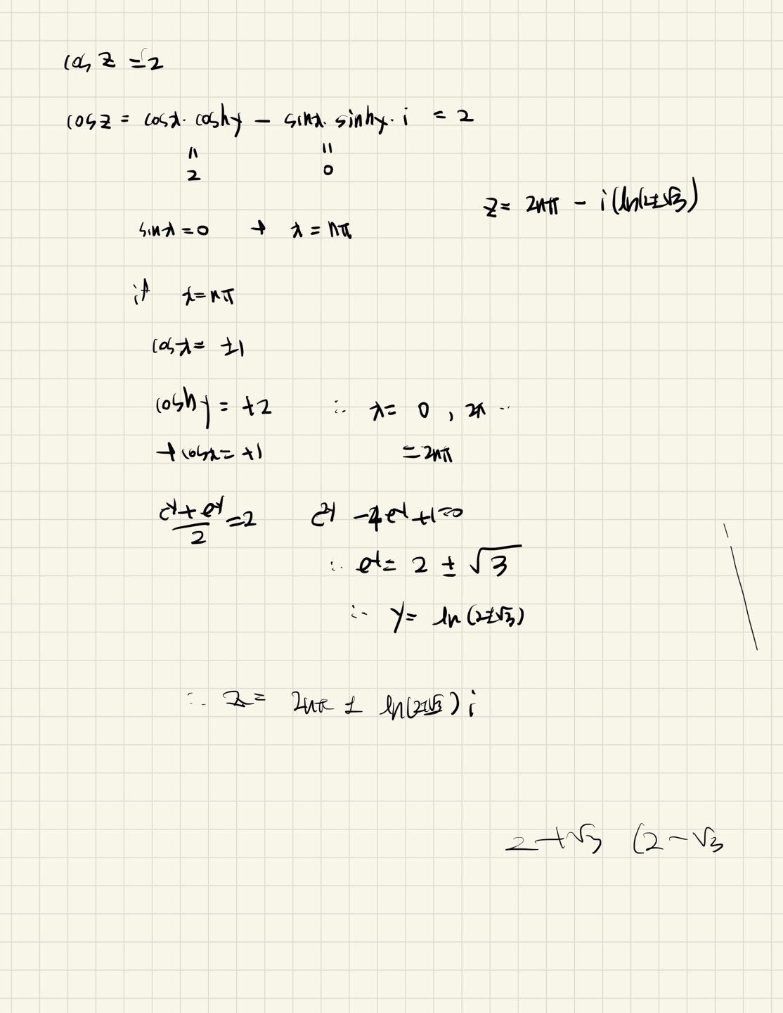
안녕하세요 선생님
복소함수에서 자주 출제되는 유형문제를 풀고 있는데
답이 정확하게 맞지 않아서 질문드립니다
첫번째 풀이에서 하이퍼볼릭 코사인함수에 음수가 들어가면 안되는 걸 알지만
이 가법 공식을 이용한 풀이를 진행할려면 어떻게 고쳐야 될까요?
|
|
| └ |
답변입니다. |
anamso** |
2022-11-22 |
| 글제목 |
답변입니다. |
| 작성자 |
anamso** |
등록일 |
2022-11-22 |
|
경우의 수를 줄이기 위해 그냥 두번쨰 풀이를 하는게 좋습니다!

|
|
| 1074 |
tr AB= tr BA
|
tlsaudc** |
2022-11-19 |
| 글제목 |
tr AB= tr BA |
| 작성자 |
tlsaudc** |
등록일 |
2022-11-19 |
|
증명 어디를 보면 있나요? 왜 되는지 이해가 안되네요 |
|
| └ |
증명 간단합니다. |
anamso** |
2022-11-21 |
| 글제목 |
증명 간단합니다. |
| 작성자 |
anamso** |
등록일 |
2022-11-21 |
|
행렬이라는게 단순 계산 메커니즘이기 때문에 별다른 의미가 있는게 아닙니다.
증명도 그냥 단순 해보면 됩니다!

|
|
| 1073 |
20건대20번
|
ipsin** |
2022-11-19 |
| 글제목 |
20건대20번 |
| 작성자 |
ipsin** |
등록일 |
2022-11-19 |
|

이 문제도 기출풀이영상에서는 풀지마라고 하셨는데 일단 풀어보고는 싶어서 말씀드렸습니다.
|
|
| └ |
답변입니다. |
anamso** |
2022-11-21 |
| 글제목 |
답변입니다. |
| 작성자 |
anamso** |
등록일 |
2022-11-21 |
|
원래 이런 특이한 적분은 그냥 외우지 않으면 못 풉니다.
시험장에서 사고해서 푸는 건 사실 불가능합니다.
x=t, y=t 대입하고 아래(해설과 다르진 않습니다. ㅠ)처럼 cosw^2은 그냥 적분하기 힘드니 적분순서 바꿔서 풉니다.

|
|
| 1072 |
한번만더 질문드릴게요
|
ipsin** |
2022-11-19 |
| 글제목 |
한번만더 질문드릴게요 |
| 작성자 |
ipsin** |
등록일 |
2022-11-19 |
|
총 두 개의 질문이 있습니다. 하나는, 
두번째는,

|
|
| └ |
답변입니다. |
anamso** |
2022-11-21 |
| 글제목 |
답변입니다. |
| 작성자 |
anamso** |
등록일 |
2022-11-21 |
|
일단 설명했다시피, 이 문제는 식 자체로만 단순히 보고 풀면 안되고 기하를 고려해서 풀어야합니다.
하지만 3차원이라 캐치하기 힘들기 때문에 수험생은 귀찮더라도 라그랑지를 하는게 맞는 선택입니다.
기본 모양이 원이 아닌 구이기 때문에 제곱 제곱이 있다고 해서 무조건 적으로 cost, sint 로 두면 원칙적으로 안됩니다.
1. 일단 x=-y 라고 판단한 순간 z=0 으로 판단해야합니다. z^2 이 최솟값이 되기 위해서 z=0을 선택해야하니까요. 2x^2+z^2=1 을 보고 x=1/root2*cost, z=sint 로 하는 거 맞습니다. 하지만 답이 나오지 않았습니다. 앞에서 말했다시피 이 문제는 애초부터 기하해석이 우선 필요하고 z=0 이기 때문이니까요.
2. z=0 이라고 가정하면, 주어진 식은 x^2+y^2=1이 되니 원으로 판단할 수 있습니다. 그러면 원위의 좌표 x=cost, y=sint 이고 우어진 f=-sint*cost=-1/2sint2t 이니 최솟값이 -1/2 이 되는 것입니다.
-x^2=-1/2 로 푸나 원위의 좌표로 푸나 값은 같습니다.
xy=cost*sint 에서 t=pi/2+pi/4 가 되면
x=1/root2, y=-1/root2 가 되고 x=-y 관계가 만들어집니다. |
|
| 1071 |
전미분 질문
|
tlsaudc** |
2022-11-18 |
| 글제목 |
전미분 질문 |
| 작성자 |
tlsaudc** |
등록일 |
2022-11-18 |
|

dx/ds를 구하는거니깐 dt무시하는건가요
|
|
| └ |
그렇습니다! |
anamso** |
2022-11-19 |
| 글제목 |
그렇습니다! |
| 작성자 |
anamso** |
등록일 |
2022-11-19 |
|
정확히는 라운드x/라운드s
라운드 -> 편미분 -> t는 상수취급! |
|
| 1070 |
21건대36번
|
ipsin** |
2022-11-18 |
| 글제목 |
21건대36번 |
| 작성자 |
ipsin** |
등록일 |
2022-11-18 |
|

라그랑지안쓰고도 답을 구할 수 있는 방법을 첫번째는 대칭성을 이용해서 구하기와 두번째는 x^2,y^2이 있다면
그 x=cost로 y=sint로 해서 구하기 이 두 가지였는데 이렇게 풀었는데도 답이 안나오는 이유가 뭔지가 궁금합니다.
근데 라그랑지로도 풀어봤는데 답이 바로는 안나오더라구요. |
|
| └ |
답변입니다. |
anamso** |
2022-11-19 |
| 글제목 |
답변입니다. |
| 작성자 |
anamso** |
등록일 |
2022-11-19 |
|
배운대로 잘 풀었구요.
x=y로 풀면 최대값은 1이 정확히 나오지만, 최솟값이 1/2 이 되고보기에 최소값은 1/2이 없죠?
이처럼 아쉽게도 몇몇 예외의 경우가 있습니다. ex) 극점이 내부에 있는 경우 혹은 x=y가 아닌 x=-y인 경우..
일단 제 풀이로 해서 보기엔 없으면 라그랑지로 해야합니다.
출제자가 라그랑지를 기반으로 문제를 내는건 사실이니까요.
다만 제가 강조한 x=y 풀이는, 라그랑지의 복잡함을 덜고자 주어진 조건의 기하적인 특성을 이용해서 구한 방법입니다.
하지만 대부분 수험생이 주어진 식을 그래프로 형상화하는게 힘들기 때문에
x=y 같아도 식이 같다면 x=y 같다고 두라고 꼼수를 알려줬습니다.
하지만, 조건이 까다로워지면(특히 z까지 있다면) 사실 고려할 부분은 조금 더 있습니다.
이 문제 경우 x=-y 상황까지 고려해야합니다.
이유는 일단 주어진 조건은 반지름 1인 구입니다.
z^2 은 항상 0이상이니 최소값은 당연히 0 을 주는게 합리적이고
z=0 을 가정한다면 반지름 1짜리 구와 그 위에 xy 최소값은 찾아야합니다.
반지름 1짜리 구 x=cost , y=sint 이니 xy=costsint =1/2sin2t 라 최소값은 -1/2이 가능합니다.
|
|
| 1069 |
17건대25번
|
ipsin** |
2022-11-18 |
| 글제목 |
17건대25번 |
| 작성자 |
ipsin** |
등록일 |
2022-11-18 |
|

물론 건대가 타임어택이 심한 시험이라서 실전에서는 찍고 넘어가야 되겠지만 일단 푸는 법을 알고싶어서 질문드립니다 교수님.
저게 만약에 y^2계수가 4가 아니라 1이었다면 '구'라서 뭐 어떻게 해 볼텐데.. 그게 아니라서 어떻게 해야될지 잘 모르겠습니다. 이중적분에서는 타원을 원으로 바꾸기 위해서 야코비안이라는 것을 써서 구해서 풀었지만.. 위 문제처럼 식이 구는 아닌 모양에 대해서 삼중적분을 어떻게 접근해야 될 지 잘 모르겠습니다. |
|
| └ |
치환해야합니다. |
anamso** |
2022-11-19 |
| 글제목 |
치환해야합니다. |
| 작성자 |
anamso** |
등록일 |
2022-11-19 |
|
원이면 구면 좌표계를 쓸 수 있죠?
x=u y/2=v z=w 로 해서 치환해야합니다.
당연히 야코비안 보정값이 있어야겠죠? |
|
| 1068 |
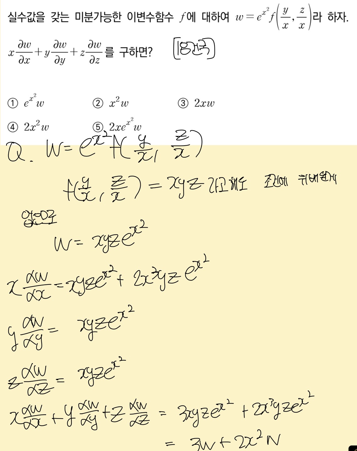
18건국대14번
|
ipsin** |
2022-11-18 |
| 글제목 |
18건국대14번 |
| 작성자 |
ipsin** |
등록일 |
2022-11-18 |
|

해설지에서는 f(y/x,z/x)에서 y/x=u로 z/x=v로 치환해서 연쇄법칙을 사용해서 풀었는데 이렇게 해야만 할까요..?
아니면 제가 케이스 만든게 좀 부실한건가요 그리고 만약에 케이스 만들어서 풀었는데 답이 안나온다면 또 다른 케이스를 한번 더 심도있게 만들어봐서 풀어야 될까요? |
|
| └ |
잘했습니다. |
anamso** |
2022-11-19 |
| 글제목 |
잘했습니다. |
| 작성자 |
anamso** |
등록일 |
2022-11-19 |
|
연쇄법칙 쓰는건 복잡하고 엉키고 비추구요.
저렇게 예를 만들어 하는게 좋습니다.
참고로 그냥 f=1 상수로 두어도 답은 하나만 나옵니다. |
|
| 1067 |
20건대4번 라이프니츠
|
ipsin** |
2022-11-18 |
| 글제목 |
20건대4번 라이프니츠 |
| 작성자 |
ipsin** |
등록일 |
2022-11-18 |
|

기출풀이강의에서는 풀지말라고 하셨지만 일단 라이프니츠 공식으로 푸는 방법을 알고싶습니다.ㅠ 라이프공식의 형태가 어떻게 될까요?? 일단 해커스 적분학1을 찾아봤는데 제가 못찾는건지 없는건지는 모르겠는데 라이프니츠 공식이 안보여서 글을 작성합니다 교수님. |
|
| └ |
라이브니치 공식 |
anamso** |
2022-11-19 |
| 글제목 |
라이브니치 공식 |
| 작성자 |
anamso** |
등록일 |
2022-11-19 |
|
https://kyoungseop.tistory.com/entry/%EB%AF%B8%EC%A0%81%EB%B6%84-%EB%9D%BC%EC%9D%B4%ED%94%84%EB%8B%88%EC%B8%A0-%EA%B7%9C%EC%B9%99-Leibniz-Rule
위 링크 (혹은 구글에 라이브니츠 규칙)
라이브니츠 공식 참조하면 되겠습니다. |
|
| 1066 |
이상적분에 관해서 질문 있습니다.
|
sehyun07** |
2022-11-18 |
| 글제목 |
이상적분에 관해서 질문 있습니다. |
| 작성자 |
sehyun07** |
등록일 |
2022-11-18 |
|
안녕하세요 교수님!
이상적분 부분은 급수 부분 파트 끝나고 다시 보라고 하셨던 것이 기억이 납니다. 제가 공부해본 결과 1부터 무한대까지 이상적분은 급수로 보고 거기서 수열의 극한처럼 다뤄서 처리하는 것으로 이해했습니다. 그런데, 사진에서 빨간색으로 표시한 부분처럼 0부터 1까지의 무한급수들은 그래프를 그리기 어려운 부분인데, 전부 암기해야 할까요? 혹시 빠르게 수렴,발산 판단 할 수 있는 방법이 있는지 궁금합니다.
혹시 이상적분 부분은 따로 강의되는 내용이 있는지도 궁금합니다.
이상적분 부분이 사설 모의고사에서 많이 출제되었었는데 중요한 부분일까요?

|
|
| └ |
이상적분 판단 |
anamso** |
2022-11-19 |
| 글제목 |
이상적분 판단 |
| 작성자 |
anamso** |
등록일 |
2022-11-19 |
|
판단하는 법은 그래프로 혹은 무한급수로 판단하는 법을 추천해요.
1/x 이 발산인지 수렴인지 기준이죠? 이 부분은 0~1사이에도 적용하는겁니다.
0~1사이엣 1/x 보다 납작하면 수렴입니다.
혹은 아래처럼 급수로 풀어볼수도 있습니다.

|
|
| 1065 |
벡터표현법
|
ipsin** |
2022-11-18 |
| 글제목 |
벡터표현법 |
| 작성자 |
ipsin** |
등록일 |
2022-11-18 |
|

이때까지 질문했던 것중에서 가장 모르겠습니다 이 부분은.. |
|
| └ |
답변입니다. |
anamso** |
2022-11-18 |
| 글제목 |
답변입니다. |
| 작성자 |
anamso** |
등록일 |
2022-11-18 |
|
그냥 F1=a F2=b F3=c 입니다.
그냥 이 내용이 물리역학적으로 굉장히 중요한 내용이고
힘Force를 강조하기 위해 F1,F2,F3 란 표현을 쓴 것 뿐입니다.
그리고 F1,F2,F3는 변수값이 주어지기도 해서 단순히 a,b,c라고 표현하면 상수로만 착각되기도 하니까요. |
|
| 1064 |
선형변환 후 이동한 영역의 면적
|
ipsin** |
2022-11-17 |
| 글제목 |
선형변환 후 이동한 영역의 면적 |
| 작성자 |
ipsin** |
등록일 |
2022-11-17 |
|

|
|
| └ |
답변입니다. |
anamso** |
2022-11-18 |
| 글제목 |
답변입니다. |
| 작성자 |
anamso** |
등록일 |
2022-11-18 |
|
결론부터 얘기하면 3차원 점 변환을은 공식이 유효하지 않습니다.
변형된 넓이는 변형전넓이에 행렬식을 곱하라 배웠죠.
그 원리는 설명을 하지 않았고 교재에도 없는 내용입니다.
이해하려면 복잡한 내용이 순차적으로 들어가기 때문에 설명하지는 않습니다.
사실 기출 중에 3차원 좌표를 준 적이 없는데요.
중앙대에서 이걸 낸 적이 한번 있었고
억울하겠지만 공식을 외운 수험생이 오히려 틀린 문제입니다.
처음 좌표가 3차원이면 직접 돌려서 구해야겠습니다. |
|