| 979 |
21성대 34번
|
ipsin** |
2022-10-16 |
| 글제목 |
21성대 34번 |
| 작성자 |
ipsin** |
등록일 |
2022-10-16 |
|

답지는 4번인데 풀이는 해설지와 달라서 이렇게 풀어도 되는지 맞나 궁금해서 올려봅니다..
|
|
| └ |
나이스 |
anamso** |
2022-10-19 |
| 글제목 |
나이스 |
| 작성자 |
anamso** |
등록일 |
2022-10-19 |
|
해설지는 어케 풀었는지 모르겠다만 저라도 저렇게 풀었을거 같아요! 굿 |
|
| 978 |
질문
|
ipsin** |
2022-10-16 |
| 글제목 |
질문 |
| 작성자 |
ipsin** |
등록일 |
2022-10-16 |
|

4번빼고는 다 배운 것들이라서 알겠는데 4번에서 "b는 A의 열공간에 속하는 벡터이다" 이 말을 어떻게 해석해서 받아들여야 되는지..모르겠네요
그리고 혹시 21년도 성대가 난이도 쉬운편이었나요 교수님? |
|
| └ |
Ax=b |
anamso** |
2022-10-19 |
| 글제목 |
Ax=b |
| 작성자 |
anamso** |
등록일 |
2022-10-19 |
|
AX로 만들어진 그 자체를 열공간이라고 해요. AX=b 니까 열공간 당연한 말이죠.
근데 사실 이걸 단순히 받아들이지 않고 자유로운 해석에서 접근해야 한다면 싶지는 않습니다.
선형변환 후 안착하고 ㅁㄱㄷㅈㄹㄷㅁㄹㅇ
그래서 결론 그냥 AX는 열공간이구나 머리 집어넣는게 속편합니다. |
|
| 977 |
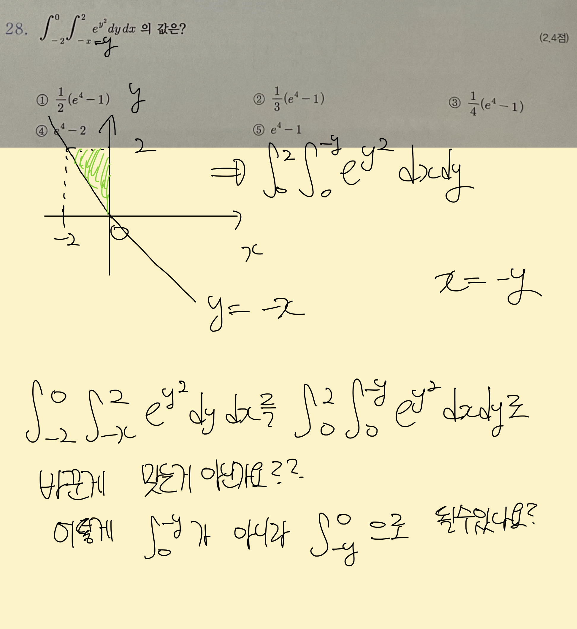
쉬운중적분문제..
|
ipsin** |
2022-10-16 |
| 글제목 |
쉬운중적분문제.. |
| 작성자 |
ipsin** |
등록일 |
2022-10-16 |
|

기본적인 중적분 쉬운문제인데
적분구간이 저랑 반대더라구요. 근데 아무리 생각해도 저 적분구간으로 바꿔준게 맞는데 왜 반대로 됐을까요.. |
|
| └ |
x 입장에서 |
anamso** |
2022-10-19 |
| 글제목 |
x 입장에서 |
| 작성자 |
anamso** |
등록일 |
2022-10-19 |
|
x에 입장에서 선보다 위에 있고 y축보다는 아래 있죠? 고개를 옆으로 돌려보면..
선은 -y 이고 x축은 y=0 이니 -y |
|
| 976 |
21 숙대 6번 질문입니다.
|
ksw3** |
2022-10-16 |
| 글제목 |
21 숙대 6번 질문입니다. |
| 작성자 |
ksw3** |
등록일 |
2022-10-16 |
|
| ㄱ, ㄴ은 알겠으나 ㄷ은 해설을 봐도 이해가 잘 되지 않습니다.. 왜 [a,b]에서 fx가 불연속점이 유한개인 유계함수이면 fx는 [a,b]에서 적분이 가능한걸까요?? |
|
| └ |
답변입니다. |
anamso** |
2022-10-17 |
| 글제목 |
답변입니다. |
| 작성자 |
anamso** |
등록일 |
2022-10-17 |
|
사실 이부분은 학문적인 내용이라 설명하면 끝이 없지만
단순 수험생 입장에서는 단순히 예를 집어넣어 푸는게 현명합니다.
불연속점이 유한개
예를 들어, [x] 는 불연속점이 유한개죠? 하지만 적분은 됩니다. 단순히 적분이 높이dx=넓이라는 개념만 가지고도 값이 존재한다는 걸 알 수 있죠?
그래서 ㄷ은 맞습니다. |
|
| 975 |
심화문제풀이 1 논리강의 나머지는 언제 업로드 될까용??
|
minhyoung1** |
2022-10-15 |
| 글제목 |
심화문제풀이 1 논리강의 나머지는 언제 업로드 될까용?? |
| 작성자 |
minhyoung1** |
등록일 |
2022-10-15 |
|
| 심화문제풀이 논리강의 거의 다 들었는데 나머지는 언제 업로드 될까욧..궁금합니다! |
|
| └ |
답변^^ |
hj_jeo** |
2022-10-17 |
| 글제목 |
답변^^ |
| 작성자 |
hj_jeo** |
등록일 |
2022-10-17 |
|
촬영은 다 끝나서 아마 10월 안으로 업로드 될꺼에요~!! |
|
| 974 |
재질문..
|
ipsin** |
2022-10-15 |
| 글제목 |
재질문.. |
| 작성자 |
ipsin** |
등록일 |
2022-10-15 |
|


좀 전에 답변달아주신거 곰곰하게 생각해보고 이렇게 풀어봤는데 맞게 이해한건지 궁금합니다. 막상 해설보면 정사영으로 푼다고 해서 뜬금없는게 많이 보이는데 이럴 때마다 질문 계속 해도되나요?
|
|
| └ |
좋습니다. |
anamso** |
2022-10-16 |
| 글제목 |
좋습니다. |
| 작성자 |
anamso** |
등록일 |
2022-10-16 |
|
잘 풀었어요
사실 정사영으로 푼다는 생각도 해볼 수는 있습니다.
다만 이게 시험장에서 그 짧은 시간에 팍 떠오르는 건 쉽지 않죠.
질문은 환영입니다. 건대 벡터 문제 중에 저런 문제가 많습니다. 그럴때마다 그림을 그려서 푸는 연습! |
|
| 973 |
자연계
|
syj37** |
2022-10-15 |
| 글제목 |
자연계 |
| 작성자 |
syj37** |
등록일 |
2022-10-15 |
|
| 자연계 인강이 맞나요? |
|
| └ |
답변드립니다. |
adm** |
2022-10-17 |
| 글제목 |
답변드립니다. |
| 작성자 |
adm** |
등록일 |
2022-10-17 |
|
공재웅 선생님 영상의 경우, 인문계/자연계 통합 인강입니다.
인문계와 자연계 동일한 문제가 출제된 것이 있기 때문에 영상 상단에 보시면,
인문계의 무슨 문제인지 / 자연계의 무슨 문제인지 확인 가능합니다. |
|
| 972 |
19성대
|
ipsin** |
2022-10-15 |
| 글제목 |
19성대 |
| 작성자 |
ipsin** |
등록일 |
2022-10-15 |
|

|
|
| └ |
간단한 풀이 |
anamso** |
2022-10-15 |
| 글제목 |
간단한 풀이 |
| 작성자 |
anamso** |
등록일 |
2022-10-15 |
|
치환해서 풀어도 되나 그러면 모양이 지저분해지죠? 그렇게 풀어도 맞는건 맞습니다.
그런데 그냥 더 단순하게 볼게요.
x+1은 의미 없으니
(lnx)^3 (lnx)^2 ------- = ------- xlnx x
인데 lnx는 아시죠? 가장 증가력이 약한 함수인거?
(lnx)^2 라 할지라도 x 에 비해 증가력이 작습니다. x가 더 큰 무한대이니까 0 ! |
|
| 971 |
문제응용 문장 질문드립니다.
|
twice08** |
2022-10-14 |
| 글제목 |
문제응용 문장 질문드립니다. |
| 작성자 |
twice08** |
등록일 |
2022-10-14 |
|
An aggressive nation, like a monster of the sea, searches the stormy seas of conflict for a helpless ‘ship of state’ drifting away from its former anchorage.
에서 for 가 등위접속사로 쓰인건가요...? 그렇게 해석을 안하면 a helpless ‘ship of state’ 가 처리가 안돼서요...
|
|
| └ |
답변^^ |
hj_jeo** |
2022-10-14 |
| 글제목 |
답변^^ |
| 작성자 |
hj_jeo** |
등록일 |
2022-10-14 |
|
오옹 아주 글을 꼼꼼히 읽는구먼ㅎㅎ 좋은 자세에요 저기 있는 for은 등위접속사가 아니라 앞에 search때문에 나온 전치사에요 보통은 search for을 붙여서 쓰지만, 본문처럼 그 사이에 목적어가 낄 때에는 다시 말해서 search A for B같은 형태가 만들어지면 A를 수색해서 B를 찾는다는 느낌으로 해석해 보세요.
Police frogmen searched the lake for the murder weapon. 이 문장도 마찬가지로 해석해보기! ㅎㅎ |
|
| 970 |
pg303 유형학습1 계산질문
|
edga** |
2022-10-14 |
| 글제목 |
pg303 유형학습1 계산질문 |
| 작성자 |
edga** |
등록일 |
2022-10-14 |
|

마지막 적분계산할때 어떻게 선생님 하신대로 5/4가 뽑아졌는지 모르겠습니다. 좌변으로 옮기면 2루트2+1/4로 묶이게 되는거 아닌가요?
|
|
| └ |
단순 표현 문제 |
anamso** |
2022-10-15 |
| 글제목 |
단순 표현 문제 |
| 작성자 |
anamso** |
등록일 |
2022-10-15 |
|
적분할 때 2루트2는 밖으로 뺴고 인테그랄 sint*e^2t 를 적분하고 넘기면 5/4가 뽑혀요!
2루트2를 어차피 전체 수 곱이라 적분할 때 편의상 쓰지 않았던 거 같아요.
2루트2는 전체 수 곱이니 계산할 떄 귄찮으니 맨 나중에 붙이면 되겠습니다 :) |
|
| 969 |
19건대
|
ipsin** |
2022-10-13 |
| 글제목 |
19건대 |
| 작성자 |
ipsin** |
등록일 |
2022-10-13 |
|

|
|
| └ |
좋은 질문! |
anamso** |
2022-10-15 |
| 글제목 |
좋은 질문! |
| 작성자 |
anamso** |
등록일 |
2022-10-15 |
|
좋은 질문이에요. 이 문제 실제로 그렇게해서 많이 틀린 문제인데요.
여기서 사인값에 n에 그 어떤 값은 집어넣어도 -1과 +1 이 나옵니다.
그럼 (-1)^n 이고 교대급수네요.. 교대급수는 작아지기만 하면 조건 수렴한다고 했죠?
앞으로 삼각함수 풀 때 혹시 이게 -1과 +1 반복이 아닌지 체크해야합니다.
사실 (n+1/2)pi 로 주어졌다면 금방보였을 거 같은데 0.5라고 해서 이게 뭐지하고 걍 무시한 학생이 많았을 거 같아요. |
|
| 968 |
19건대
|
ipsin** |
2022-10-13 |
| 글제목 |
19건대 |
| 작성자 |
ipsin** |
등록일 |
2022-10-13 |
|

어떻게 접근해야 되는지 잘 모르겠습니다.
쌩뚱맞은 말이지만 저 문제를 읽자마자 반대칭행렬과 대칭행렬의 합만 생각나버렸네요.. |
|
| └ |
이 문제... |
anamso** |
2022-10-15 |
| 글제목 |
이 문제... |
| 작성자 |
anamso** |
등록일 |
2022-10-15 |
|
건대는 기하와벡터 문제가 어렵게 나오는 학교에요.
특이하게 수능식으로 어렵게 나온다.
어느정도냐면, 편입 강사분들도 대부분 풀지 못하고 뜬근없는 공식으로 뒤늦게 때려박아요.
해설도 대부분 그렇게 되어있고.
하지만 건대기벡은 자유로운 기하추론으로 풀어야 합니다.
이 문제는 일단 표현이 헷갈리게 되어있는데
a 와 b가 있고 b와 평행한 at 와 수직인 an 으로 a를 표현하자고 했고 그 때 쓰이는 at를 찾으라 했죠?
일단 그럼 at는 b와 평행하니까 b와 실수배겠죠?
그럼 at=kb 형태가 되어야겠네요. 평행 관계는 벡터비가 같으니까요.
그렇게하면 4번은 일단 걸러지구요.
그리고 a의 크기가 b의 크기보다 크죠? 그럼 3번도 걸러집니다.
3번은 b 그 자체인데 a를 b만큼 가고 b에 수직인 벡터로 간다는 건 직각 삼각형이 그려져야 하죠?
그럼 at는 (1,0,7) 보다 무조건 커야하니 답은 5번 뿐이네요.
전산오류로 그림판으로 그림 첨부할게요! ㅠ ㅋㅋ

|
|
| 967 |
19건대
|
ipsin** |
2022-10-13 |
| 글제목 |
19건대 |
| 작성자 |
ipsin** |
등록일 |
2022-10-13 |
|

|
|
| └ |
단순히 |
anamso** |
2022-10-15 |
| 글제목 |
단순히 |
| 작성자 |
anamso** |
등록일 |
2022-10-15 |
|
다소 생소한 문제 유형이었어요.
다행히 2번이 명확해서 틀린 사람은 별로 없겠지만 1번은 사실 좀 까다롭스니다.
일 x^3=t^2 하면 됩니다. 이러면 분모 차수는 2로 맞췄고.
분자 차수가 4/3 과 3 인데요. 여기서 4/3이 영향력이 더 큽니다.
왜냐하면 0.1 을 집어넣으면 0.1^4/3 과 0.1^3 중 0.1^4/3이 더 크죠? 작은건 무시한다고 했으니 0.1^3을 만드는 y^3을
지우고 t^4/3이 남습니다. 이러면 위 차수가 더 작으니 발산입니다.
|
|
| 966 |
서강재질문
|
ipsin** |
2022-10-11 |
| 글제목 |
서강재질문 |
| 작성자 |
ipsin** |
등록일 |
2022-10-11 |
|

답변해주신걸로 1,1,1,1을 집어넣어봐서 치역(11,22,0)을 가지고 선지에 있는 점과 내적시켜서 값이 0이 나오는게 두개나와서
1,0,0,1을 집어넣어봐서 치역(6,10,-1)을 가지고 선지에 있는 점과 내적시켜서 값이 0이 나오는게 2번 나오는데 답 2번아닌가요?? |
|
| └ |
어이쿠 |
anamso** |
2022-10-12 |
| 글제목 |
어이쿠 |
| 작성자 |
anamso** |
등록일 |
2022-10-12 |
|
맞아요 다 해놓고 계산잘못했네요 2번이 맞아요.
(11,22,0) 과 내적시 0은 2번과 3번인데. 이런 경우 다른 값도 집어넣어서 체크해야겠네요! |
|
| 965 |
선생님 첨부자료 어디서 받을 수 있나요?
|
wogkr7** |
2022-10-10 |
| 글제목 |
선생님 첨부자료 어디서 받을 수 있나요? |
| 작성자 |
wogkr7** |
등록일 |
2022-10-10 |
|
인강에 있는 첨부자료 다운 받았는데 문제지와 해설지만 다운받아져요. 문법참고자료는 어디서 다운받아야하는지 모르겠습니다! |
|