| 1114 |
21동국16번
|
ipsin** |
2022-11-25 |
| 글제목 |
21동국16번 |
| 작성자 |
ipsin** |
등록일 |
2022-11-25 |
|


|
|
| └ |
ㅠ |
anamso** |
2022-11-26 |
| 글제목 |
ㅠ |
| 작성자 |
anamso** |
등록일 |
2022-11-26 |
|
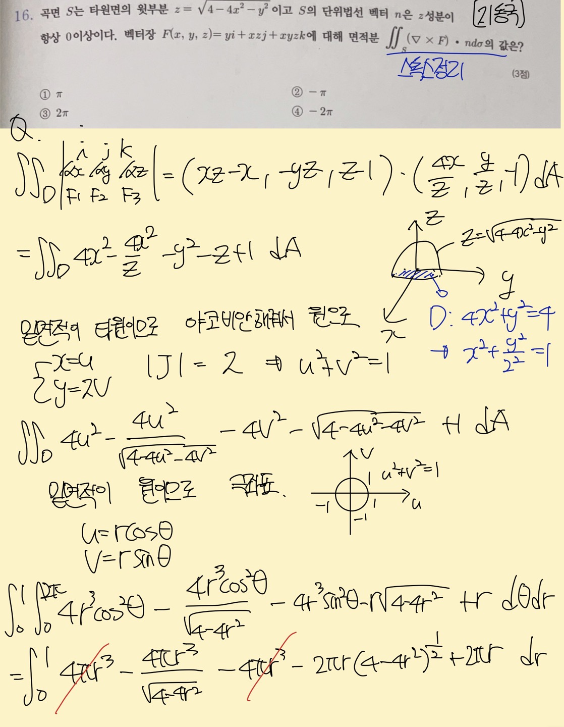
과정은 맞는 거 같은데... 중간에 계산이 엉켰을거 같아요.
일단 스톡스 정리시 (-fx,-fy,1)=(4x/z,y/z,+1) 입니다. 여기서 -1로 두었네요.
그리고 그 이상은... 도저히 저 식을 다 검증하면서 함 엄두도 안납니. ㅠ
경로가 4x^2+y^2=4 인 선적분으로 풀어주세요 ㅠ |
|
| 1113 |
21동국11번
|
ipsin** |
2022-11-25 |
| 글제목 |
21동국11번 |
| 작성자 |
ipsin** |
등록일 |
2022-11-25 |
|

|
|
| └ |
답변입니다. |
anamso** |
2022-11-26 |
| 글제목 |
답변입니다. |
| 작성자 |
anamso** |
등록일 |
2022-11-26 |
|
저렇게 풀려면 완전제곱+완전제곱+나머지 상수 형태여야 합니다.
완전제곱의 최소값이 0인걸 이용한거죠.
하지만 -2xy 변수가 남아서 x,y에 따라 -2xy값이 바뀌기 떄문에 이 값이 최소라고 판단할 수 없습니다. |
|
| 1112 |
21동국2번
|
ipsin** |
2022-11-25 |
| 글제목 |
21동국2번 |
| 작성자 |
ipsin** |
등록일 |
2022-11-25 |
|

|
|
| └ |
답변입니다. |
anamso** |
2022-11-26 |
| 글제목 |
답변입니다. |
| 작성자 |
anamso** |
등록일 |
2022-11-26 |
|
적분이란게... 모르면 틀려하죠 ㅠ
특이한 적분은 결국 외워야겠습니다. |
|
| 1111 |
21동국1번
|
ipsin** |
2022-11-25 |
| 글제목 |
21동국1번 |
| 작성자 |
ipsin** |
등록일 |
2022-11-25 |
|

|
|
| └ |
맞습니다. |
anamso** |
2022-11-26 |
| 글제목 |
맞습니다. |
| 작성자 |
anamso** |
등록일 |
2022-11-26 |
|
걍 주어진 식에 0 집어넣어서 알 수 있습니다 |
|
| 1110 |
편입수학 기초편 26p 예제 7번
|
feedmemo** |
2022-11-25 |
| 글제목 |
편입수학 기초편 26p 예제 7번 |
| 작성자 |
feedmemo** |
등록일 |
2022-11-25 |
|
노란색으로 표시한 부분이 이해가 어렵습니다.
저렇게 넘어가는 이유를 잘 모르겠어요 |
|
| └ |
답변입니다. |
anamso** |
2022-11-26 |
| 글제목 |
답변입니다. |
| 작성자 |
anamso** |
등록일 |
2022-11-26 |
|
수업 때 언급했던 내용인데요.
일단 저 문제는 고등학교 이상의 복소함수 지식을 요구합니다.
복소함수 |a+bi|=root(a^2+b^2)
공식입니다.
예를 들어 주어진 |2-ki|= root(4+k^2) 이고 이걸 제곱했으니 4+k^2 입니다.
이 공식이 왜 나왔냐?.... 이건 복소함수론을 깊게 배워야 합니다.
지금은 그냥 이런 공식이 있다 정도로 기억하면 좋겠습니다. |
|
| 1109 |
18성대 내적
|
ipsin** |
2022-11-25 |
| 글제목 |
18성대 내적 |
| 작성자 |
ipsin** |
등록일 |
2022-11-25 |
|


|
|
| └ |
답변입니다. |
anamso** |
2022-11-26 |
| 글제목 |
답변입니다. |
| 작성자 |
anamso** |
등록일 |
2022-11-26 |
|
직교하니까 적분 h1*h2 값이 0 이면 되죠?
좀 더 쉽게 풀면
h1*h2=(a+bx)*h2=a*h2+bx*h2
여기서 어차피 내적이 0이기 떄문에 상수 a와 b는 지울 수 있으니
1*h2
x*h2 가 나옵니다. |
|
| 1108 |
19광운26번
|
ipsin** |
2022-11-25 |
| 글제목 |
19광운26번 |
| 작성자 |
ipsin** |
등록일 |
2022-11-25 |
|


선생님 제가 헷갈리는게 있는데 제가 분명 수업을 들을 때 정적분은 x축 위에 있으면 + x축 아래에 있으면 - 였던건 아는데 이 뒤에 파트에서 x축이 위에 있던 아래에 있던 간에 그냥 적분때려도 값은 똑같이 나오는경우가 있었는데 그게 극좌표에서 넓이 구할때였던가요? |
|
| └ |
안되는 이유 |
anamso** |
2022-11-26 |
| 글제목 |
안되는 이유 |
| 작성자 |
anamso** |
등록일 |
2022-11-26 |
|
루트(x^2)=|x|이기 때문입니다.
이 문제 경우 2cos세타/2 가 아닌 |2cos세타/2|를 적분하면 같은 값이 나옵니다.
이런 혼동 되고 귀찮은 부분이 있기 때문에 대칭성을 이용해서 풀어주는게 실수가 안나옵니다.
x축이 위에 있던 아래있던 적분때려도 똑같은 값? ..
음, 극좌표같습니다만 극좌표는 r과 세타라 음수개념이 다르기 떄문입니다.
|
|
| 1107 |
19광운15번
|
ipsin** |
2022-11-25 |
| 글제목 |
19광운15번 |
| 작성자 |
ipsin** |
등록일 |
2022-11-25 |
|
질문이 총 세가지가 있습니다.. 
첫번째는 파푸스1공식으로 면적*자취의 길이로 쓰면 안되는 이유가 궁금합니다. 딱히 위반되는 것이 없다고 생각되는데 왜 안될까요?
두 번째로는 저 원의 방정식에다가 x=1+cos세타 y=1+sin세타를 치환해서 풀면 안되는건가요? 뭔가 자꾸 헷갈리네요.. 저렇게 치환해주면 저 원의 방정식 (x-1)^2+(y-1)^2=1를 코사인제곱세타+싸인제곱세타=1로 간단하게 만들어줄 수 있는 것이 아닌가요?
마지막은

저기서 왜 적분범위가 0부터2까지가 아니라 0부터 1까지 해야되나요?

|
|
| └ |
답변입니다. |
anamso** |
2022-11-26 |
| 글제목 |
답변입니다. |
| 작성자 |
anamso** |
등록일 |
2022-11-26 |
|
파푸스 쓸 때 조심할 부분은 면점의 중심(무게중심)에서 축까지 거리로 계산해야한다는 겁니다.
주어진 문제는 원의 넓이가 아니라 축과 원의 모서리부분 넓이입니다.
무게중심을 구하기는 어렵기 떄문에 파푸스정리를 쓰기 힘듭니다.
치환해도 됩니다.
다만 치환된 식으로 저 모서리 넓이를 구하는 적분 식을 표현하는게 쉽지 않습니다.
축과 원사이의 넓이입니다. 1~2 사이의 넓이는 축과 원 그리고 x=2로 둘러싸여있다고 말해야합니다. |
|
| 1106 |
야코비안 행렬
|
khy65** |
2022-11-24 |
| 글제목 |
야코비안 행렬 |
| 작성자 |
khy65** |
등록일 |
2022-11-24 |
|
| 제 기억상으론 미2 강의하실때 교제 381페이지 좌표변환, 야코비안 행렬은 강의에서 스킵하신 것 같은데 요새 건대랑 세종대 기출푸는데 야코비안행렬이 나오더라구요.. 이거 개념강의는 어디서 들을 수 있을까요?? |
|
| └ |
답변입니다. |
anamso** |
2022-11-26 |
| 글제목 |
답변입니다. |
| 작성자 |
anamso** |
등록일 |
2022-11-26 |
|
스킵한 건 아니고 시스템 오류상 빠져서 재촬영해서 올렸습니다.
좌표변환, 좌표변환2 여기입니다! |
|
| 1105 |
중앙대 기출 재질문
|
kyj3** |
2022-11-24 |
| 글제목 |
중앙대 기출 재질문 |
| 작성자 |
kyj3** |
등록일 |
2022-11-24 |
|
안녕하세요 선생님 어제 질문했던 2018학년 증앙대 기출 12번 문제 해설엔 선생님 말씀하신대로 급수풀이가 아닌 유리함수 분해로 해설이 되어있습니다. 혹시 급수풀이로 풀어주실 수 있나요? 그리고 2022년도 중앙대 해설은 좀 더 기다릴까요? 감사합니다. 
|
|
| └ |
답변입니다. |
anamso** |
2022-11-26 |
| 글제목 |
답변입니다. |
| 작성자 |
anamso** |
등록일 |
2022-11-26 |
|
에고, 주어진 식은 상수가 없어서 온전히 1/1-x=1+x+..를 쓸순 없고 저런식으로 인수분해해서 1-D 하나 챙길 수 있겠습니다.

|
|
| 1104 |
적분하다가 궁금한점
|
tlsaudc** |
2022-11-24 |
| 글제목 |
적분하다가 궁금한점 |
| 작성자 |
tlsaudc** |
등록일 |
2022-11-24 |
|

0~3사이를 적분하는건데
구간을 나눠서 보면 그래프상으로 보면 -∞ + ∞이거든요? 근데 절댓값을 씌워서 계산해보면 (0~1)∞-(1~3)∞으로 됩니다 왜그런건가요
|
|
| └ |
답변입니다. |
anamso** |
2022-11-26 |
| 글제목 |
답변입니다. |
| 작성자 |
anamso** |
등록일 |
2022-11-26 |
|
(1~3)무한대를 표현이 무슨 표현일까요?
일단 x=1 에서 정적분이 불가능합니다.
중간에 0 ~ 1- , 1+~3 구분해서 계산해야합니다.
절대값을 안씌우면 -무한대 + 무한대
절대값을 씌우면 당연히 절대값은 음수를 양수로 바꾸니 무한대+무한대
그런데 이러니저러니 적분값이 발산하는건 마찬가지입니다. |
|
| 1103 |
기함수 우함수 적분
|
jjh04** |
2022-11-24 |
| 글제목 |
기함수 우함수 적분 |
| 작성자 |
jjh04** |
등록일 |
2022-11-24 |
|
범위가[0, 2파이]까지 정적분 할 때 f함수가 우함수 일 때 0이 나오고 기함수 일 때는 0이 안 나오는 데 이유가 뭔가요
[-a, a]적분할 때 기함수가 0이 나오고 우함수는 2S인 것은 알고 있습니다.
중적분 할 때 0이 나오는 경우를 판별 하는 방법을 잘 모르겠습니다. |
|
| └ |
답변입니다. |
anamso** |
2022-11-26 |
| 글제목 |
답변입니다. |
| 작성자 |
anamso** |
등록일 |
2022-11-26 |
|
우함수 기함수 적분이 0인이 아닌지 -a와 a부 구간만 판단할 수 있습니다.
우함수가 0~2pi 적분시 0 이 나오고 기함수가 0이 안나오는 건
기함수 우함수라서 그런 것이 아니라 sinx, cosx에 따른 특징입니다.
주어진 식을 봐야 정확히 설명할 수 있을 거 같습니다. |
|
| 1102 |
학습 방법 질문 있습니다.
|
sehyun07** |
2022-11-23 |
| 글제목 |
학습 방법 질문 있습니다. |
| 작성자 |
sehyun07** |
등록일 |
2022-11-23 |
|
안녕하세요 선생님!
다름이 아니라 학습 방법 관련해서 질문 드렸었는데요,,,, 지망하는 학교 말하면 세부적인 팁 주신다고 하셔서 질문 한번 더 드립니다.
지망하는 학교는 서강대학교,성균관대학교,한양대학교,중앙대학교, 경희대학교 입니다. 제가 그 밑의 라인 대학교를 다니고 있어서 이 밑으로 지망하지는 않을거 같습니다.
각 학교별로 학습 방법이랑 영어 포함해서 몇 문제 정도 맞추면 합격이 가능한지 궁금합니다.
그리고 시립대학교는 이번에 새로 편입 시험을 수학,영어를 본다고 하는데 어느정도 수준으로 준비하면 대비가 될지 궁금합니다.
또한 외대 같은 경우는 고등학교 수업 범위가 들어가는데, 제가 지금 군대를 갔다오고 많이 까먹어서 고등학교 수학이 익숙하지 않은데 지금 시점에서 준비하는게 현실성이 떨어지는지 궁금합니다. |
|
| └ |
학습 방법 |
anamso** |
2022-11-26 |
| 글제목 |
학습 방법 |
| 작성자 |
anamso** |
등록일 |
2022-11-26 |
|
1. 서성한
서성한은 다 잘해야합니다.
많은 학생들이 어려워하는 다변수 미적분, 선형대수 공간, 공업수학까지 잘해야합니다.
하지만 알디시피 중적분과 공업수학은 어려워지면 계산이 길어져 풀기 힘들어지기 때문에
시간소모가 적으면서 맞출 수 있는 선적분과 선형사상을 포인트를 잡아야합니다.
기기출 난이도 기준 70-80점까지 받을 수 있까지 점수를 끌어오면 되겠고, 실제 컷도 영어 평균정도 받았다는 전제하에 70-80 생각하면 되겠습니다.
물론 추가합격까지 생각하면 그 이하도 생각해볼 수 있지만 안전하게 70-80 생각하면 되겠습니다.
PS: 작년에 한양대와 성대가 날짜 겹쳤는데, 본인이 영어를 잘하시면 한양대 그게 아니면 성대를 추천하고 싶습니다. 한양대가 1차컷이 다른 학교처럼 수학가점 없이 영어50수학50이라 영어 잘하는 학생이 확실히 유리하거든요. 물론 더 중요한 건 과 TO구요.
2. 중앙대
중앙대는 알다시피 다른 학교랑 많이 크게 다르구요.
가장 어렵고 지저분한 문제가 출제됩니다. 한 문제당 최소 3-5분이상 걸리는 문제이기 때문에 푸는 문제를 확실히 풀고
대략 17~20개 사이? 나머지는 잘 찍는 수 밖에 없습니다.
복소함수를 공부하는 것은 추천하지 않고 복소함수를 뺀 나머지 파트를 더 맞추고 복소함수를 찍는 걸 추천합니다.
3. 경희대
토익이 필요하지만 다행히 난이도 자체가 높지 않습니다.
파트별 무난무난한 문제들이 나오니, 전체적으로 잘 정리하면 합격할 수 있습니다.
수학 기본기 좋은 친구들이 짧게 준비해서 가장 많이 붙는 학교가 경희대입니다.
4. 외대
고등수학을 지금 준비하는 건 무리가 있습니다. 외대 기출에서 너무 고등수학에 기대는 문제들은 제외하고 정리해야겠습니다.
기출을 최소 5년 풀면 감이 생길겁니다! |
|
| 1101 |
제차 비제차 나누는 기준이 원점포함유무인건가요?
|
tlsaudc** |
2022-11-23 |
| 글제목 |
제차 비제차 나누는 기준이 원점포함유무인건가요? |
| 작성자 |
tlsaudc** |
등록일 |
2022-11-23 |
|
용어가 참 어렵네요.. |
|
| └ |
제차 비제차 |
anamso** |
2022-11-24 |
| 글제목 |
제차 비제차 |
| 작성자 |
anamso** |
등록일 |
2022-11-24 |
|
많습니다. 원점을 지나면 제차 안지나면 비제차.
사실상 선형대수 공간은 원점을 지나는 기준으로하니 보통 비제차 풀이가 많습니다.
용어는....차라리 영어 그대로 쓰는게 좋은데 저도 왜 저렇게 번역하고 계속 쓰는지 모르겠어요 ㅠ |
|
| 1100 |
전도함수에 관해서 질문 있습니다.
|
sehyun07** |
2022-11-23 |
| 글제목 |
전도함수에 관해서 질문 있습니다. |
| 작성자 |
sehyun07** |
등록일 |
2022-11-23 |
|
제가 알기로는 전미분 공식에 dz= fxdx+fydy에 dt를 양변에 나눈 것이 전도함수라고 이해했습니다. d를 쓰는 것은 사실 그게 1변수 이기 때문에 쓸 수 있다고 들었습니다. 그런데 이 문제에서는 사실 제가 자연스럽게 연산을 하기는 하지만 V=1/3 *파이*r^2* h 아닙니까? 변수가 2개인데 어떻게 전도함수로 해석할 수 있는지 궁금합니다!

|
|
| └ |
답변입니다. |
anamso** |
2022-11-24 |
| 글제목 |
답변입니다. |
| 작성자 |
anamso** |
등록일 |
2022-11-24 |
|
이 문제는 괜히 편도함수에 있어서 헷갈리는 문제인데요.
편도함수 문제로 생각하지말고
미분학1에서 배운 미분하고 흔적d를 남기는 풀이로 생각하면 좋겠습니다.
디테일하게 설명하면 오차라는 값의 특수성 때문에 그렇습니다. 단순히 v r h의 관계를 물어본 문제가 아니기에요.
|
|