| 1204 |
19아주45번
|
ipsin** |
2022-12-10 |
| 글제목 |
19아주45번 |
| 작성자 |
ipsin** |
등록일 |
2022-12-10 |
|

|
|
| └ |
답변입니다. |
anamso** |
2022-12-10 |
| 글제목 |
답변입니다. |
| 작성자 |
anamso** |
등록일 |
2022-12-10 |
|
애초에 4x^2=y^2 이 나온 이유가 처음 구한 관계식에서 x와 y를 곱해서 만들어진 식인데
x=0 이면 이 식자체가 부정되기 때문이에요.
그래서 x=0 경우에는 4x^2=y^2 를 쓸 이유가 없습니다. |
|
| 1203 |
19아주44번
|
ipsin** |
2022-12-10 |
| 글제목 |
19아주44번 |
| 작성자 |
ipsin** |
등록일 |
2022-12-10 |
|

|
|
| └ |
답변입니다. |
anamso** |
2022-12-10 |
| 글제목 |
답변입니다. |
| 작성자 |
anamso** |
등록일 |
2022-12-10 |
|
지금 구한 S'은 부피의 변화율이에요! 인테그랄 pix^2이 회전체 부피잖아요?!
문제에서 물의 부피가 아닌 가장 위에 있는 수면 넓이를 구하라고 했으니! |
|
| 1202 |
그래디언트 f관련 질문
|
edga** |
2022-12-10 |
| 글제목 |
그래디언트 f관련 질문 |
| 작성자 |
edga** |
등록일 |
2022-12-10 |
|

쌤께서 그래디언트 쓸때 음함수를 이용해야 한다고해서 위와같이 풀었는데, 문제의 해설에서는 양함수인채로(15-x^2-2y^2)으로 풀어서 4루트2로 답을냈더라구요. 근데 저는 z까지 고려해서 한변으로 몰아서 음함수를 만든다음에 거기서 그래디언트를 구해서 그래디언트의 크기를 구했는데, 그러면 책의 해설과 풀이가 틀려지네요... 어떻게 생각해야할까요? |
|
| └ |
답변입니다. |
anamso** |
2022-12-10 |
| 글제목 |
답변입니다. |
| 작성자 |
anamso** |
등록일 |
2022-12-10 |
|
음함수를 이용해야하는건 맞는데
fz=-1 까지 집어넣으면 답이 없죠?
결론적으로
이 문제는 3차원(x,y,z)이 아닌 2차원(x,y)까지의 방향 값만 요구한 것입니다.
그럼 z까지 요구하냐 안하냐는 어떻게 아냐?
일단 수험생 입장에서 z까지 한 답이 없으면 x,y만 물어보는구나 라고 판단하는게 제일 속편하구요.
다시 문장을 세세히 읽어보면 문제에서 동쪽(x),남쪽(y)만 언급하고 있으니 x,y만 신경쓰면 되겠구나 판단해야겠습니다.
|
|
| 1201 |
19아주32번
|
ipsin** |
2022-12-10 |
| 글제목 |
19아주32번 |
| 작성자 |
ipsin** |
등록일 |
2022-12-10 |
|

|
|
| └ |
답변입니다. |
anamso** |
2022-12-10 |
| 글제목 |
답변입니다. |
| 작성자 |
anamso** |
등록일 |
2022-12-10 |
|
결과론적인 풀이죠.
무한급수 값을 알고 싶을 떄는 그냥 집어넣어서 푸는게 젤 속편해요!
n=1 일 떄 5/6 n=2 일 때 11/24 대충 1/2 n=3 일 때 19/120 대충 1/6
이후부터는 너무 작아지니 여기까지 더해보면
대충 5/6+1/2+1/6=9/6=3/2
|
|
| 1200 |
19아주35번
|
ipsin** |
2022-12-10 |
| 글제목 |
19아주35번 |
| 작성자 |
ipsin** |
등록일 |
2022-12-10 |
|

물론 저 문제는 그냥 펼쳐서 보기 그대로 집어넣어서 풀긴했지만 해설지에서는 지수에 무한대갔을 때 상수를 지워서 풀이 한거같은데 지수 2n+4에서 n이 무한대로 갈 때는 지수만큼은 4를 무시 못한다고 배웠는데 풀이가 이상한건가요?? |
|
| └ |
답변입니다. |
anamso** |
2022-12-10 |
| 글제목 |
답변입니다. |
| 작성자 |
anamso** |
등록일 |
2022-12-10 |
|
해설에 지수 +4를 지웠나요?..
그러면 안됩니다. 말대로 지수는 무시하기엔 너무 큰 녀석이라... 틀린 해설 같은데요? |
|
| 1199 |
21국민7번
|
ipsin** |
2022-12-10 |
| 글제목 |
21국민7번 |
| 작성자 |
ipsin** |
등록일 |
2022-12-10 |
|


|
|
| └ |
답변입니다. |
anamso** |
2022-12-10 |
| 글제목 |
답변입니다. |
| 작성자 |
anamso** |
등록일 |
2022-12-10 |
|
수열파트에서 an 이나 an+1이나 결국 극한값을 같다라는 내용을 기억할까요?
쉽게 말하면 1억번째 수열이나 1억1번째 수열이나 극한값은 크게 차이가 없는 알파값이다!
그럼 an+1=루트(2+an) 에서 n 무한대를 취급해서
알파=루트(2+알파) 인데 알파가 2라는 것을 알 수 있겠네요.
그리고 첫항이 root2 이고 극한값이 2니까 커지니까 위로유계 판단할 수 있구요.
ㄴ도 마찬가지로 해설을 극한을 취하면 3-루트5/2가 나옵니다. 0으로 가는지 안가는지까지는 끝까지 해보지 않은 모르는거라 단순히 작아진다고 해서 0이라 판단은 못합니다.
ㄷ도 해보면 2에서 3으로 증가하니 증가는 맞지만, 같이 3으로 존재하니 수렴이라 틀린 말이구요.
ㄹ은 예를 집어넣고 푸는게 더 좋겠습니다 잘했습니다. |
|
| 1198 |
21중대 20번
|
ipsin** |
2022-12-09 |
| 글제목 |
21중대 20번 |
| 작성자 |
ipsin** |
등록일 |
2022-12-09 |
|

|
|
| └ |
답변입니다. |
anamso** |
2022-12-10 |
| 글제목 |
답변입니다. |
| 작성자 |
anamso** |
등록일 |
2022-12-10 |
|
x로 시도해보고 안되면 y
y도 안되면 x,y를 시도하는겁니다.
막무가내로 적어서 적분인자를 구하는게 맞긴한데
그래도 착한 문제들은 보통 x에서 주겠죠. 물론 중대 문제는 아닌거 같지만요...
그래서 보통 보기를 이용하는데, 이 문제는 보기를 이용하지도 못 하게 구성했는데요.
저라면 주어진 식이 지수니까 그냥 적분인자도 지수겠지하고 몇 개 만들어서 끼어맞춰서 했을 거 같습니다.
대신 그러려면 감이 좋아야하고 경험이 많아야겠죠. |
|
| 1197 |
21중대10번
|
ipsin** |
2022-12-09 |
| 글제목 |
21중대10번 |
| 작성자 |
ipsin** |
등록일 |
2022-12-09 |
|

|
|
| └ |
답변입니다. |
anamso** |
2022-12-10 |
| 글제목 |
답변입니다. |
| 작성자 |
anamso** |
등록일 |
2022-12-10 |
|
일단 이 문제가 최소제곱의 해의 오차식을 이용해서 푸는지 판단하는 건 쉽지 않았을 거 같네요..
그게 시험장이라면 더더욱...언급이라도 해주지 ㅠ
아무튼 지금 칠반에 적힌 식 자체가 가짜해 x,y와 진짜해와 오차입니다. 그리고 가짜해는 그래도 그나마 여러 가짜해중에서 최대한 오차가 적은 값일테구요. 그래서 최솟값을 의미합니다.
|
|
| 1196 |
입체의 부피 재질문
|
seung208** |
2022-12-09 |
| 글제목 |
입체의 부피 재질문 |
| 작성자 |
seung208** |
등록일 |
2022-12-09 |
|
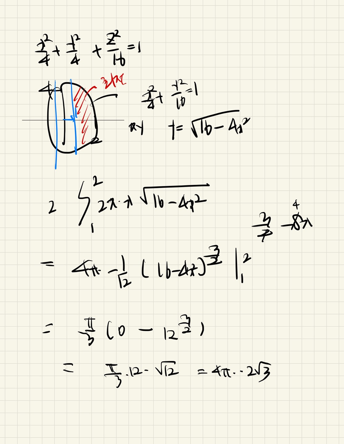
21 가천대 22번
4x제곱과 4y제곱이 같은 이유(->같은취급함) 를 모르겠습니다
z만 z^2으로 다르니 x축 회전을 위한 2차 그래프를 그릴 때
x와 z로만 그래프를 구성하고 x와 y로 표현하신 건가요?
회전체 부피 개념에 대해 웬만큼 알고 있다고 생각했는데
위의 내용이 틀린 거라면 타원에 대한 개념이 부족한 걸까요,,? |
|
| └ |
답변입니다! |
anamso** |
2022-12-10 |
| 글제목 |
답변입니다! |
| 작성자 |
anamso** |
등록일 |
2022-12-10 |
|
예를 들어, 구라는 식은
3차원상 x^2+y^2+z^2=1 이죠
2차평면에서 구를 만든다하면 y=root(1-x^2) 반원을 돌리면 됩니다. x2 까지해서.
이 부분은 이해 되시죠?
y축이 z축이 되고,
x가 돌면서 원이 그려지니 x^2+y^2=1 이 생기고 구와 같은 형태 나옵니다.
가천대 문제같은 경우 구가 아니죠.
만약 이 문제가 4x^2 과 y^2 이었다면
root(1-4x^2) 을 돌리면 4x^2+4y^2 식이 나와 y^2 다르기에 저렇게 풀기 힘들었을겁니다.
다행히 4x^2 과 같은 4y^2이라 돌려도 같은 모양이니 2pixy로 풀수 있었던 것이죠. |
|
| 1195 |
재질문
|
ipsin** |
2022-12-09 |
| 글제목 |
재질문 |
| 작성자 |
ipsin** |
등록일 |
2022-12-09 |
|

교수님 W가 x+2y+3z+4w=0이라고 말씀해주셨는데
W가 왜 x+2y+3z+4w=0 인건가요?? 문제에서는 W가 x+2y+3z+4w=0 이다!라고 적힌 게 아니라 x+2y+3z+4w=0의 '해'공간이 W라고 적혀있는데 왜 x+2y+3z+4w=0의 해공간이 W가 아니라 x+2y+3z+4w=0이 W인건가요? AX=0을 만족시키는 X값과 A와의 관계는 수직관계 아닌가요? x+2y+3z+4w=0의 해공간이 W라고 했는데 x+2y+3z+4w=0이 W라면 사실 그러면 AX=0을 만족시키는 X값과 A와의 관계는 수직말고도 평행도 되는건가요?그것도 이상한데 W위치가 평면의 법선벡터처럼 써있는게 아니라 x+2y+3z+4w=0의 해공간이라고 했으니까 당연히 수직한거아닌가요..? W공간이 x+2y+3z+4w=0의 해공간이라고 했으니까 당연히 W 공간에 있는 벡터들도 x+2y+3z+4w=0에 수직인건 당연한거 아닌가요? 그리고 W를 법선벡터로 착각한 것이 아니라.. ax+bx+cz=0에서 평면의 법선벡터가 (a,b,c)라고 배웠듯이 x+2y+3z+4w=0에 대한 법선벡터가 (1,2.3,4)이고 이때 법선벡터는 W공간이잖아요.
결론: 문제에서는 W가 x+2y+3z+4w=0의 '해'공간이라고 명시되어 있는데 x+2y+3z+4w=0 가 W인 이유를 모르겠습니다. 그러면 x+2y+3z+4w=0 을 W라고 적어야지 문제에서는 왜 x+2y+3z+4w=0 의 해공간을 W라고하자 라고 적은건가요? |
|
| └ |
답변입니다. |
anamso** |
2022-12-10 |
| 글제목 |
답변입니다. |
| 작성자 |
anamso** |
등록일 |
2022-12-10 |
|
재질문의 재질문이 많다보니 저도 답을 한방에 못 했네요. ㅠ ㅋㅋ
이제 무엇이 헷갈린지 확실히 이해되었어요.
주어진 식을 (1 2 3 4)(x y z w)^T=0 으로 쓸 수 있죠? 이게 바로 AX=0 이고 영공간은 X 입니다 X는 (x y z w) 이고 바로 평면이 해공간이 되겠네요.
사실 물어본대로 제일 좋은 건 x+...=0 을 W라고 바로 했으면 되었죠. 그리고 일반적인 다른 문제에서 대부분 그렇게 적어놨구요. 그래서 저도 딱히 문장에 오해될 소지 있는지까지 따져보지 않았는데 충분히 오해될만 표현 같습니다.
출제자도 그렇게까지 고민하는 수험생이 있을 거 라는 건 생각 안한 거 같습니다.
그래도 출제자를 변론하자면
공간 x+..=0 의 영공간! 이라고 말 안하고 방정식 x+..=0 의 해공간!이라고 표현했기 때문이라고 생각해볼 수 있겠네요.
사실 영어로 줬다면 덜 헷갈렸을텐데.
이렇게 설명했는데 아마 이해가 좀 안될 수도 있단 생각이 드는데요.
결론적으로 이런 정사영 행렬 문제는 그냥 주어진 식에 정사영 구한다고 생각하면 맘편하겠습니다. |
|
| 1194 |
입체의 부피
|
seung208** |
2022-12-08 |
| 글제목 |
입체의 부피 |
| 작성자 |
seung208** |
등록일 |
2022-12-08 |
|
365페이지 유형1번에서는 2차원 그래프를 y축 을 기준으로 회전시켜 부피를 구하는 방법으로 알려주셨습니다.
선생님이시라면, 21 가천대 22번 문제도 이 방법으로 푸실 건가요? 예제 문제는 원이었고 기출에서는 타원인데 상관 없나요? 선생님 풀이도 보고 싶습니다! |
|
| └ |
답변입니다. |
anamso** |
2022-12-09 |
| 글제목 |
답변입니다. |
| 작성자 |
anamso** |
등록일 |
2022-12-09 |
|
좋은 질문입니다.
일단 그렇게 풀 것이구요.
타원이라도 상관 없습니다..
문제는 이게 3차원 중적분으로 푸는것보다 2pixy를 쓰는게 더 편하다는 판단하는게 중요한 거 같습니다.
저는 일단 그 방법으로 풀어서 다른 중적분 풀이는 생각을 안해봤지만, 중적분으로 풀었다면 치환도 해야했고 머리가 좀 아팠을 거 같스빈다..
풀이는 아래와 같습니다.!
이건 정말 답지 신경안쓰고 제가 수험생이라 생각하고 푼 풀이입니다.
4x^2 과 4y^2이 같으니 x y는 같은 취급해도 된다는 게 포인트입니다.

|
|
| 1193 |
라플라스 질문
|
seung208** |
2022-12-08 |
| 글제목 |
라플라스 질문 |
| 작성자 |
seung208** |
등록일 |
2022-12-08 |
|
적분학2.p324 기출 8 라플라스로 풀 수 있다고 하셨는데 풀이가 잘 떠오르지 않습니다. 풀어주실 수 있을까요? |
|
| └ |
답변입니다. |
anamso** |
2022-12-09 |
| 글제목 |
답변입니다. |
| 작성자 |
anamso** |
등록일 |
2022-12-09 |
|
제가 수업 중 후회발언 3순위 중에 하나
바로 미적2.P324 라플라스로 풀 수 있다고 말한 발언입니다... ㅠ
나중에 정정했는데 아직 최신 녹화전이라서요. ㅠ
왜냐하면 ARCTAN 라플라스를 외워야하는데
일반적으로 ARCTAN 라플라스는 외우는 공식은 우리가 외우기엔 너무 거대합니다.
일반 공식이라고 할 수 없을정도로. 복소함수를 이용해야하죠.
핑꼐아닌 핑계를 대자면 연대서술형 문제이니 그러려니 하는데..
아무튼 이 문제는 라플라스로 풀기 힘들어요. 중적분으로 솔직히 어거지 같습니다.
출제율을 극히 드므니 일단 무시하는게 상책입니다. |
|
| 1192 |
면적분에 대해 질문있습니다.
|
sehyun07** |
2022-12-08 |
| 글제목 |
면적분에 대해 질문있습니다. |
| 작성자 |
sehyun07** |
등록일 |
2022-12-08 |
|
성대 19년도 44번 기출문제입니다. 다음과 같은 영역을 면적분하라고 하는데, 제가 선적분은 배웠는데 면적분이라는 단어의 의미가 뭔지 몰라 못풀었습니다. 혹시 면적분이 뭔가요? 그리고 혹시 면적분을 구하라고 하면 어떻게 계산해야 하나요?

|
|
| └ |
겉넓이!!! |
anamso** |
2022-12-09 |
| 글제목 |
겉넓이!!! |
| 작성자 |
anamso** |
등록일 |
2022-12-09 |
|
면적분은 겉넓이 구하라는 얘깁니다.
보통 부피는 dA가 쓰이고 겉면적은 dS가 쓰입낟.
그리고 dS=ROOT*(1+fx^2+fy^2) 관계식이 있죠.
해당 문제를 부피 착각해서 질문한 글이 상당히 많아요.
생소하죠.
앞으로 dS가 보이면 겉면적 구하는구나! 그리고 dS=ROOT*(1+fx^2+fy^2)구나 하고 푸셔야합니다! |
|
| 1191 |
재질문
|
ipsin** |
2022-12-08 |
| 글제목 |
재질문 |
| 작성자 |
ipsin** |
등록일 |
2022-12-08 |
|
답변을 곰곰히 읽어봤는데 정사영 개념도 알고있고 평면의 개념도 잘 알고있는데.. 가장 이해가 안되는 부분이 W로의 정사영이면 W방향으로 콱 찍어눌렀다는 것인데 어떻게 
위 사진에서 빨간 벡터가 W로의 정사영이 될 수 있나요? W방향!!으로 내려누르면 절대로 저 빨간 벡터가 나올 수가 없는데.. 저 빨간 벡터가 나오게 하려면 W방향으로 내려찍는게 아니라 저 공간식인 x+2y+3z+4w=0 방향으로 내려찍어야 저 빨간벡터가 나와야 되는게 아닌가요?


한마디로 결론: 평면의 법선벡터를 우회적으로 써서 구하든 어떻게 해서 구하든.. b-p랑 평면의 벡터랑 평행해서 같고 그게 정사영직교사영이라고 말씀해주셨는데 바로 왜 b-p가 W로의 정사영이 되는 것인지 어느쪽으로 W로 찍어눌러도 절대로 b-p인 모양이 절대 나올 수가 없는데 제가 여기에서 뭘 잘못보고 있는건지 그 부분을 모르겠습니다.
cf. 시험 일주일전까지 이해못하면 그냥 이 문제는 암기하거나 포기하겠습니다. |
|
| └ |
답변입니다. |
anamso** |
2022-12-09 |
| 글제목 |
답변입니다. |
| 작성자 |
anamso** |
등록일 |
2022-12-09 |
|
이게 그림 때문에 오해가 생긴거 같은데 W는 x+2y...=0 을 말하는겁니다.
마치 W 위치가 교묘하게 평면의 법선벡터처럼 써있네요.
평면 x+2y..=0 에 내려찍은게 맞아요.
W = 평면입니다.
저는 계속 평면=W라고 생각해서 설명했는데.
W를 법선벡터로 착각했는지 생각조차도 못했스빈다 ㅠ |
|
| 1190 |
22경희27번
|
ipsin** |
2022-12-08 |
| 글제목 |
22경희27번 |
| 작성자 |
ipsin** |
등록일 |
2022-12-08 |
|

|
|
| └ |
답변입니다. |
anamso** |
2022-12-09 |
| 글제목 |
답변입니다. |
| 작성자 |
anamso** |
등록일 |
2022-12-09 |
|
네
스펙트럼 관계식에서는 P역행렬과 P^T와 같습니다. 자세하게는 직교행렬이기 때문이죠.
스펙트럼 문제가 처음 나온 문제인데 혹시 또 나온다면 그냥 외워서 푸셔야합니다. |
|