| 1213 |
21인하9번
|
ipsin** |
2022-12-14 |
| 글제목 |
21인하9번 |
| 작성자 |
ipsin** |
등록일 |
2022-12-14 |
|

|
|
| └ |
답변입니다. |
anamso** |
2022-12-15 |
| 글제목 |
답변입니다. |
| 작성자 |
anamso** |
등록일 |
2022-12-15 |
|
w^3=1 이고
w+w^3+w^5 = w+w^3(1+w^2) 후 w^3=1 이고 을 집어넣으면 w+1+w^2 이 됩니다.
|
|
| 1212 |
21 건국 38
|
seung208** |
2022-12-13 |
| 글제목 |
21 건국 38 |
| 작성자 |
seung208** |
등록일 |
2022-12-13 |
|
curl f가 있어서 외적부터 했는데 해설지의 풀이와는 전혀 다른 방향이더라고요. 해석지의 풀이는 어떻게 나온 풀이인가요? 선적분의 개념들과 문제들을 다시 봐도 비슷한 유형이다 싶은 걸 모르겠습니다 |
|
| └ |
답변입니다. |
anamso** |
2022-12-15 |
| 글제목 |
답변입니다. |
| 작성자 |
anamso** |
등록일 |
2022-12-15 |
|
최근 만들어진 해설지에는 제 방향(?)이 많이 담겨있는 추세인데요.
선적분 파트 스톡스 정리를 한번 다시 보면 알겠지만
스톡스 정리라는 것이,
일적분 F1dx+F2dy+F3dz가 어려워서 중적분으로 바꾼 연산인데요.
오히려 스톡스 정리를 쓰는게 독인 경우가 많습니다.
그래서 수업 중에도 스톡스를 스톡스로 풀지 말자고 강조했고 다행히 최근 해설에는 이런 흐름으로 해설되있습니다.
내용을 더 설명하자면
주어진 면의 테두리를 따라간 것이 선적분인데 해설그림에도 나왔있다시피 원이죠?
(cos,sin,0) 입니다.
이러면 z=0 고정되어있습니다. z로 움직인 값이 없기 때문에 F3dz=0 입니다.
힘x이동거리에서 이동한값이 0이기 때문이죠.
그럼 결국 F1dx+F2dy만 연산하면 되는것이기에 스톡스보다 일적분 풀이가 더 쉬운 방법이 됩니다. |
|
| 1211 |
파이널자료-최소고유다항식
|
ipsin** |
2022-12-13 |
| 글제목 |
파이널자료-최소고유다항식 |
| 작성자 |
ipsin** |
등록일 |
2022-12-13 |
|
총 질문이 3개가 있습니다. 
첫번째 질문은 교수님 파이널 자료를 봤는데 최소고유다항식은 정규커리큘럼에 배우지 않은 내용이고
교수님 커리큘럼 강좌인 세종대20기출 풀이영상에서 최소고유다항식은 조든행렬?이라고 뭐라고 말씀해주시면서 이 내용은 그냥 쿨하게 넘어가라고 하셨는데 파이널 자료에서 유형5. 최소고유다항식이 떡 하니 나와있어서 어떻게 공부해야 되는 것인지 모르겠습니다. 그냥 저 내용을 다 암기하고 문제를 풀면 되는건가요?
두번째 질문은 이번주 일요일에 국민대 시험을 치르러 가는데 18,19,20,21 국민대 수학을 풀면서 딱히 어려운 문제는 없었으나 MOD문제를 21년국민수학에 3개씩이나 낸 전적이 있어서 MOD를 따로 공부하고 싶은데 그렇게 하기에는 비효율적인건가요? 그냥 나오면 쿨하게 찍고 넘어갈까요? 전형은 농어촌전형으로 지원하기는 했는데 경쟁률이 농어촌전형 중에서 가장 높아서 이것까지 하고 가야되나 고민됩니다.
세번째 질문은 면적분관련인데요

|
|
| └ |
답변입니다. |
anamso** |
2022-12-15 |
| 글제목 |
답변입니다. |
| 작성자 |
anamso** |
등록일 |
2022-12-15 |
|
1. 최소고유다항식
찍으면 됩니다. 그래도 풀 겠다면 최선의 대안은 저기 쓴 내용처럼 하는 방법입니다. 제가 마든 꼼수 같은 방법이라 그냥 외워서 따라하면 됩니다.
2. mod 암호학문제인데요. 국민대에서 간혹 나오는 문제인데 따로 배우는건 추천하지 않습니다만. 여유가 되면 구글에 mod 모듈러 연산으로 검색해서 독학하는 수 밖에 없습니다. 참고링크 https://www.crocus.co.kr/1231
3. 구의 겉면적 구의 겉면적구할 땐 루트(1+fx^2+fy^2)를 쓰지 않습니다! 직교(x,y,z)나 주면좌표계(r,세타,z)인 경우만 루트(1+fx^2+fy^2) 입니다. |
|
| 1210 |
★2022 예상 문제 PDF + 시험TIP★
|
이** |
2022-12-13 |
| 글제목 |
★2022 예상 문제 PDF + 시험TIP★ |
| 작성자 |
이** |
등록일 |
2022-12-13 |
|
| ★자료
안녕하세요. 시험이 코 앞이네요.
인강 업데이트가 느려 많이 미안합니다.
(마음 같아서는 현강 바로 찍어 유튭에 올리고 싶지만 ㅠ)
그래서 자료라도 공유하겠습니다.
아래 구글링크로 다운 받으면 됩니다!
https://drive.google.com/drive/folders/1ziC_-lK8bFBUIfCo7Gd7PxnS8QEFg0qL?usp=sharing
내용은 학교별 기출분석과 예상문제입니다.
나름 심사숙고해서 시험 직전마다 만드는 따끈한 자료이니 한번 풀어보고 이해 힘든 부분이 있으면 언제든 질문해주세요.
★ 시험 TIP
편입시험은 완벽한 시험이 아닙니다. 출제자도, 수험생도.
그래서 모든 문제를 완벽하게 풀려고 하면 안됩니다.
어려운 문제를 어렵게, 일반적인 해설 따라서 길게 풀어봐야 소용없습니다.
1. 낯설고 오래 걸리는 문제를 거르기.
2. 그래프+조건이용(SIMPLE예 집어넣기)+보기집어넣기
3. 안 풀리면 적당히 찍기
그리고
4. 쿨한척 자기최면 걸기.
갑자기 쿨한척은 무슨 말이냐. 수업 중에 한 말이기도 한데요.
수능부터 PSAT,LEET,GSAT,NCS 등…안본 시험이 없는 제 경험 중에
재수한단 마인드로 쿨하게 본 수능은 대박을 쳤고,
이거 떨어지면 인생 진짜 망해라고 생각한 PSAT은 떨어졌습니다.
그리고 취업하고 대충 본 PSAT은 또 붙었죠.
보통 간절하면 그만큼 긴장하게 되고 순간적으로 머리가 굳습니다.
짧은 시간 안에 빠르고 유연한 생각을 해야 하는 편입시험에서 과도한 긴장은 독이죠.
모든 문제가 딱딱 풀리는 시험이 아니기 때문에 특히 그렇습니다.
그래서 긴장을 최대한 버려야합니다.
물론 간절한 마음을 갑자기 어디 버리고 올 수는 없지만
최소, 이 학교 떨어지면 다른 학교 가면 돼!
라고 자기 최면을 걸어주세요. 그리고 쿨하게 시험장 들어가서 안 풀리는 문제는
그래프 그리고! 정말 안 풀리면 잘 찍고! 오세요!
그리고 시험 끝나고 연락주세요. 맛있는 거 사줍니다 😊 |
|
| 1209 |
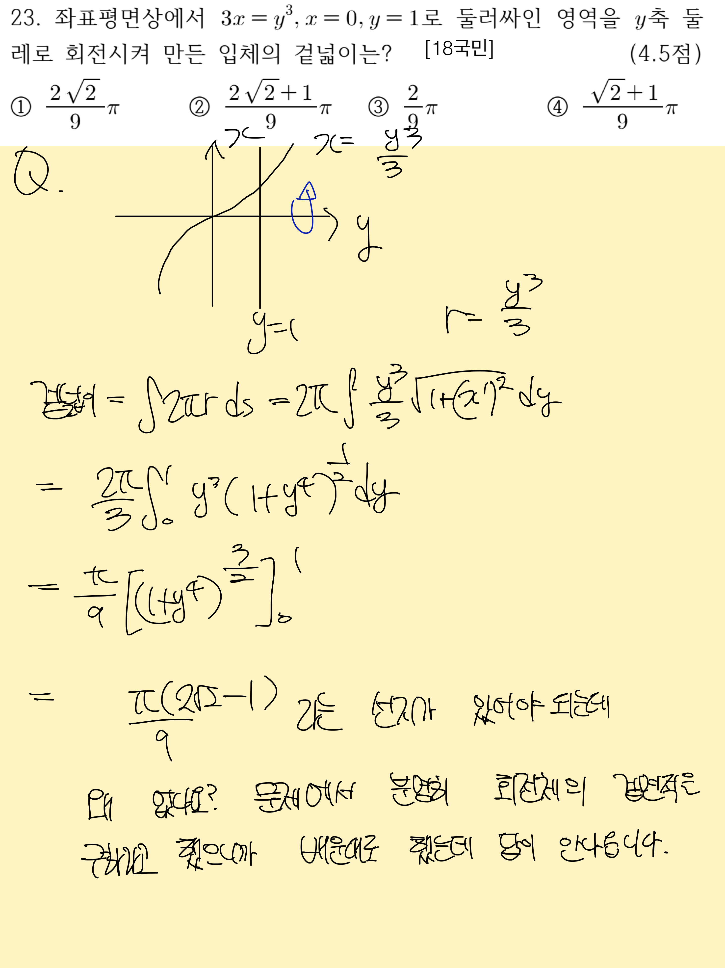
18국민23번
|
ipsin** |
2022-12-13 |
| 글제목 |
18국민23번 |
| 작성자 |
ipsin** |
등록일 |
2022-12-13 |
|

풀이과정을 다시 음미해봐도 맞고 문제에서도 회전체의 겉면적을 구하라고 했으니까 저렇게 구해야 되는게 맞지 않나요? 근데 왜 답이 안나올까요 교수님..
|
|
| └ |
답변입니다. |
anamso** |
2022-12-14 |
| 글제목 |
답변입니다. |
| 작성자 |
anamso** |
등록일 |
2022-12-14 |
|
함정이 있는 문제인데요.
y=1 돌린 면적도 구해야합니다.
3x=y^3 만 구한 것이고
y=1(x=1/3)을 돌린 원의 넓이 pi(1/9) 까지 구해야합니다.
|
|
| 1208 |
미분방정식 질문입니다.
|
dlatnqls9** |
2022-12-13 |
| 글제목 |
미분방정식 질문입니다. |
| 작성자 |
dlatnqls9** |
등록일 |
2022-12-13 |
|

|
|
| └ |
맞는 풀입니다. |
anamso** |
2022-12-14 |
| 글제목 |
맞는 풀입니다. |
| 작성자 |
anamso** |
등록일 |
2022-12-14 |
|
일단 맞는 풀입니다!
정확히는 e^x를 실제로 상수취급하지는 않고 미분 연산 과정에서 미분연산자가 뒤로 가서 무시 될 뿐입니다.
|
|
| 1207 |
20년도 경희대 8번 문제 질문 있습니다.
|
sehyun07** |
2022-12-13 |
| 글제목 |
20년도 경희대 8번 문제 질문 있습니다. |
| 작성자 |
sehyun07** |
등록일 |
2022-12-13 |
|
안녕하세요 선생님!
이 문제에서 cos(y^2)에 대해서 변수 범위를 바꿔서 푸는것은 알겠는데 E의 꼭짓점을 구하라는 말이 어떤 말인지 잘 이해가 가지 않습니다! 어떻게 푸는 건가요? 
|
|
| └ |
답변입니다. |
anamso** |
2022-12-13 |
| 글제목 |
답변입니다. |
| 작성자 |
anamso** |
등록일 |
2022-12-13 |
|
말그대로 사면체E의 꼭짓점을 구합니다.
삼중적분 범위 잡을 때처럼
z 0~1 x 0~6z y x/2~3z
를 그린다음에 사면체 모양의 꼭짓점을 구하면 되는데요.
문제는 그림이 괴상해요. 이래서 제가 삼중적분 문제는 풀지 말라했죠.
다행히 이 문제는 서술이긴 하지만요.
저도 아랫처럼 그려는 봤지만 일단 시간내는 실패했네요. 오면체가 나오네요.

|
|
| 1206 |
건대 21년도 30번 문제 질문 있습니다.
|
sehyun07** |
2022-12-13 |
| 글제목 |
건대 21년도 30번 문제 질문 있습니다. |
| 작성자 |
sehyun07** |
등록일 |
2022-12-13 |
|
건대 30번문제입니다. 이 벡터외적의 내적은 라그랑지항등식을 외워서 풀어야 하는지 궁금합니다!! 기하적으로 풀 수 있는 방법은 없을까요?

|
|
| └ |
기하 풀이입니다. |
anamso** |
2022-12-13 |
| 글제목 |
기하 풀이입니다. |
| 작성자 |
anamso** |
등록일 |
2022-12-13 |
|
참고로 제가 볼 때 건대 출제자는 벡터문제를 편입스로운 풀이를 전제로 내지 않습니다.
대부분 해설과 강의에서는 편입스러운 풀이로 어기로 끼워맞추는데, 시험장에서 절대 할 짓이 못되죠.
수능 기하벡터처럼 아래처럼 풉니다.
그런데!! 문제는 우리가 이 문제를 풀기 위해서 수능 기벡을 다시 할 수는 없잖아요?
시험장에서는 그냥 스킵하셔야합니다.
아니면 사면체의 좌표
A(1,1,1) B(1,0,0) C(0,1,0) D(0,0,1)을 직접 집어넣고 푸는게 최선입니다.
기하 풀이 아래 참조.

|
|
| 1205 |
21 건대 34
|
seung208** |
2022-12-12 |
| 글제목 |
21 건대 34 |
| 작성자 |
seung208** |
등록일 |
2022-12-12 |
|
해설의 야코비안 값은 4(x^2+y^2)인데 원랜 1/4(x^2+y^2)아닌가요? 그렇게 되면 문제지의 답과는 멀어지게 되네요..
|
|
| └ |
답변입니다. |
anamso** |
2022-12-13 |
| 글제목 |
답변입니다. |
| 작성자 |
anamso** |
등록일 |
2022-12-13 |
|
이 문제...정말 화나는 문제에요.
보통은 x,y 를 u,v 로 치환하죠? 야코비안 값을 붙이고요.
그런데 문제를 다시 보시면 이 문제는 이미 u,v 이고 이걸 x,y 로 치환한 문제입니다.
그래서 평소와 다르게 역수를 취해야합니다. |
|
| 1204 |
행렬식에 대해서 질문 있습니다!
|
sehyun07** |
2022-12-12 |
| 글제목 |
행렬식에 대해서 질문 있습니다! |
| 작성자 |
sehyun07** |
등록일 |
2022-12-12 |
|
교재 136번의 기출유형 5번에서 , 크기가 5 X 5 인 행렬 A에 대해서 다음 설명중 틀린것은?
4) A의 모든 4 X 4 소행렬의 행렬식이 0이면 A의 rank는 3이다. 5) A의 한 4 X 4 소행렬의 행렬식이 0이 아니면 A의 rank는 4이상이다.
여기서 A의 모든 4X4의 소행렬의 행렬식이 0이면 A는 rank가 언제나 3이하라고 했는데 왜 그런지 이해가 안됩니다.
만약에 5 X5 의 소행렬의 행렬식이 0이면 A의 rank는 4이하인가요? |
|
| └ |
답변입니다. |
anamso** |
2022-12-13 |
| 글제목 |
답변입니다. |
| 작성자 |
anamso** |
등록일 |
2022-12-13 |
|
좀 어려운 보기에요. 과한 문제다 생각해서 수업 때는 스킵을 했는데요.
소행렬식을 쉽게 말하면 행렬 안의 블록 행렬의 행렬식이죠.
5x5 이니가 4x4 이하의 4x4, 3x3, 2x2, 1x1 블록 행렬의 행렬식이 존재합니다.
여기서 4x4의 행렬식이 0 이면 5x5 안에서 4x4 모든 묶음 행렬들의 행렬식은 0 이 나와야 합니다.
그렇게 나오려면 어떤 모양일까요?
최소 5x5 테두리 밖은 0 으로 채워져 있어야 합니다.
0 0 0 0 0 0 1 2 3 0 0 5 6 8 0 0 5 2 9 0 0 0 0 0 0
처럼요. 이 행렬의 랭크는 3 이죠? 하지만
0 0 0 0 0 0 1 1 1 0 0 0 0 0 0 0 0 0 0 0 0 0 0 0 0
도 4x4 블록행렬식은 0 입니다. 그래서 3이하라고 해야합니다.
5x5는 자기 자신이라 소행렬식이라 하지는 않지만 당연히 5x5가 행렬식이 0 이면 어딘가에 0 줄이 있고 랭크 4이합니다. |
|
| 1203 |
파이널 자료
|
khy65** |
2022-12-11 |
| 글제목 |
파이널 자료 |
| 작성자 |
khy65** |
등록일 |
2022-12-11 |
|
작년 11월즈음에 파이널자료들 올려주신 것 같은데 올해는 언제쯤 올라올까요..? 그리고 해설강의 업데이트는 언제쯤 될까요...? |
|
| └ |
답변입니다. |
anamso** |
2022-12-13 |
| 글제목 |
답변입니다. |
| 작성자 |
anamso** |
등록일 |
2022-12-13 |
|
안녕하세요.
자료들이 늦은 점 미안해요 ㅠ
해설강의는 업데이트가 좀 늦을 거 같습니다.
마음으로는 현강 바로 찍어서 유튭으로라도 올려주고 싶은데 해커스 인강은 검수 과정도 있어서요.
대신에 파이날 자료(기출분석,기출예상) 자료를 공지 링크 달아서 내일 안으로 올리겠습니다!
|
|
| 1202 |
라그랑지 질문
|
ipsin** |
2022-12-11 |
| 글제목 |
라그랑지 질문 |
| 작성자 |
ipsin** |
등록일 |
2022-12-11 |
|

라그랑지를 쓸 때 저 두식을 다 만족시키는 x값y값z값을 구하는 것인데 저 19아주대 45번문제의 경우에는 x=0이면 당연히 그라디언트f=람다*그라디언트g의 식을 부정하는건데 그러면 애초에 라그랑지를 쓸 때 그라디언트f=람다*그라디언트g 와 제약조건g(x,y,z)=0 이 두 식을 무조건 다 만족시키는 건 아닌건가요? 당연히 저는 이때까지 라그랑지를 풀 때 저 두 식에 무조건 아다리가 맞아야 그 값을 f의 x,y,z에 대입해서 최댓값 또는 최솟값을 구해왔는데 저 문제는 라그랑지를 쓸 때 두 식이 충족하는 값을 구해서 집어넣은게 아니라 그라디언트f=람다*그라디언트g 와 제약조건g(x,y,z)=0 두 식 중 하나만 만족시켜서 f의 x,y,z에 대입해서 값을 구해서 헷갈립니다. |
|
| └ |
답변입니다. |
anamso** |
2022-12-13 |
| 글제목 |
답변입니다. |
| 작성자 |
anamso** |
등록일 |
2022-12-13 |
|
x=0 이라고 해서 그래디언f=람다*그라디언g 식이 부정되지 않습니다. x=0, 4x^2=y^2 이 부정되는 것입니다.
x=0 이면 그냥 y=람다y, 0=람다2y 일 뿐입니다.
여기서 y=0이 나올 뿐입니다. 하지만 x=y=0 일순 없으니 결론적으로 x=0 이란 조건은 제외해야 합니다. |
|
| 1201 |
19아주45번
|
ipsin** |
2022-12-10 |
| 글제목 |
19아주45번 |
| 작성자 |
ipsin** |
등록일 |
2022-12-10 |
|

|
|
| └ |
답변입니다. |
anamso** |
2022-12-10 |
| 글제목 |
답변입니다. |
| 작성자 |
anamso** |
등록일 |
2022-12-10 |
|
애초에 4x^2=y^2 이 나온 이유가 처음 구한 관계식에서 x와 y를 곱해서 만들어진 식인데
x=0 이면 이 식자체가 부정되기 때문이에요.
그래서 x=0 경우에는 4x^2=y^2 를 쓸 이유가 없습니다. |
|
| 1200 |
19아주44번
|
ipsin** |
2022-12-10 |
| 글제목 |
19아주44번 |
| 작성자 |
ipsin** |
등록일 |
2022-12-10 |
|

|
|
| └ |
답변입니다. |
anamso** |
2022-12-10 |
| 글제목 |
답변입니다. |
| 작성자 |
anamso** |
등록일 |
2022-12-10 |
|
지금 구한 S'은 부피의 변화율이에요! 인테그랄 pix^2이 회전체 부피잖아요?!
문제에서 물의 부피가 아닌 가장 위에 있는 수면 넓이를 구하라고 했으니! |
|
| 1199 |
그래디언트 f관련 질문
|
edga** |
2022-12-10 |
| 글제목 |
그래디언트 f관련 질문 |
| 작성자 |
edga** |
등록일 |
2022-12-10 |
|

쌤께서 그래디언트 쓸때 음함수를 이용해야 한다고해서 위와같이 풀었는데, 문제의 해설에서는 양함수인채로(15-x^2-2y^2)으로 풀어서 4루트2로 답을냈더라구요. 근데 저는 z까지 고려해서 한변으로 몰아서 음함수를 만든다음에 거기서 그래디언트를 구해서 그래디언트의 크기를 구했는데, 그러면 책의 해설과 풀이가 틀려지네요... 어떻게 생각해야할까요? |
|
| └ |
답변입니다. |
anamso** |
2022-12-10 |
| 글제목 |
답변입니다. |
| 작성자 |
anamso** |
등록일 |
2022-12-10 |
|
음함수를 이용해야하는건 맞는데
fz=-1 까지 집어넣으면 답이 없죠?
결론적으로
이 문제는 3차원(x,y,z)이 아닌 2차원(x,y)까지의 방향 값만 요구한 것입니다.
그럼 z까지 요구하냐 안하냐는 어떻게 아냐?
일단 수험생 입장에서 z까지 한 답이 없으면 x,y만 물어보는구나 라고 판단하는게 제일 속편하구요.
다시 문장을 세세히 읽어보면 문제에서 동쪽(x),남쪽(y)만 언급하고 있으니 x,y만 신경쓰면 되겠구나 판단해야겠습니다.
|
|