| 1144 |
19성대44번 겉넓이 구하기에 대한 질문.
|
ipsin** |
2022-11-30 |
| 글제목 |
19성대44번 겉넓이 구하기에 대한 질문. |
| 작성자 |
ipsin** |
등록일 |
2022-11-30 |
|
교수님 제가 19성대 44번 질문한 내용에서 제가 풀이한 식에서는 부피식이 아니라 넓이식인데 왜 부피식이라고 말씀하신건가요? 미적분학2 17강인 곡면의 면적이라는 강의에서 분명히 아래 사진에 나와있는 것처럼 저 문제를 해설해주시다가 저렇게 말씀해주셔서 그대로 필기했는데 앞 질문인 19성대44번의 답변을 보고서는 앞 뒤가 안맞는 느낌입니다.. 그러면 저렇게 말씀하신 이유가 뭔가요? dxdydz=rdrd세타dz=로^2sin퐈이d로d세타d퐈이 에서 직교좌표계는 여기서 dz를 빼면 dxdy가 겉넓이 극좌표에서는 dz를 빼면 rdrd세타는 겉넓이 구면좌표계에서는 d로를 지우면 로^2sin퐈이d세타d퐈이로 겉넓이가 되고 이때 로는 반지름으로 고정값이니까 R이고 이 식으로 구의 겉면적을 구할 수 있다라고 말씀해주셨는데 그러면 위에 적은 dxdy가 겉넓이 rdrd세타도 겉넓이 <-- 이 내용들은 뭔가요? 아까 교수님의 답변보고 얼추 예상이 되는 점이 넓이식이 인테그랄 루트(fx^2+fy^2+1) dxdy에서 이때 dxdy를 말씀하신건가요? 이걸 말씀하신게 아니라면 정말로 모르겠습니다.


|
|
| └ |
답변입니다. |
anamso** |
2022-12-01 |
| 글제목 |
답변입니다. |
| 작성자 |
anamso** |
등록일 |
2022-12-01 |
|
일단 ds를 그냥 dxdy=rdθdr 로 바꿨기 때문에 높이를 구했다고 생각했구요.
ds=root(1+fx^2+fy^2)dxdy=root(1+fx^2+fy^2)rdθdr로 바꿔야만 겉넓이입니다.
본인이 구하려고 한 값이 넓이를 의도하고 구했다면,
면적 r과 θ가 변수이고 각 0~1, 0~2pi 까지인 원 영역안에
밀도 z를 곱 한값이니 반지름 1인 원의 무게를 구한 것입니다.
하지만 문제에서는 비스듬히 짤린 면의 겉넓이에다 밀도 z를 곱한 무게를 물어본 것이죠.
그리고 지금 써준 내용은 구면좌표계 내용인데 이 문제에는 구면좌표계와 정확히 비교할 상황이 아닙니다.
변수 r도 없고, 파이도 없습니다.
이 문제는 단수히 ds=root(1+fx^2+fy^2)dxdy 공식에서 dxdy를 r,θ 주면 좌표계(구면좌표계X)로 바꿔서 결국
ds=root(1+fx^2+fy^2)dxdy=root(1+fx^2+fy^2)rdθdr 입니다. |
|
| 1143 |
19성대44번
|
ipsin** |
2022-11-30 |
| 글제목 |
19성대44번 |
| 작성자 |
ipsin** |
등록일 |
2022-11-30 |
|

맞게 해준 것 같은데 왜 답이 안나올까요 교수님
해설지보니까 오히려 더 모르겠어서 질문드렸습니다. |
|
| └ |
답변입니다. |
anamso** |
2022-11-30 |
| 글제목 |
답변입니다. |
| 작성자 |
anamso** |
등록일 |
2022-11-30 |
|
부피를 구하는 게 아니고 겉넓이를 구하는 문제입니다.
dV가 아닌 dS라고 표현되어있죠?
물론 문제에서 부피가 아닌 겉넓이라고 정확히 표현했다면 좋았지만, 편입시험에서는 적당히 유두리있게 알아서 해석해야합니다.
ds=root(1+fx^2+fy^2)dxy 이고 root(1+fx^2+fy^2)=root2입니다. |
|
| 1142 |
질문..
|
ipsin** |
2022-11-30 |
| 글제목 |
질문.. |
| 작성자 |
ipsin** |
등록일 |
2022-11-30 |
|

답변해주신거 풀이해주신거 곰곰히 생각해봤는데... 제가 사진 속에서 질문했듯이 T(X)=AX의 꼴이 아니라는 것을 도대체 '무엇'을 보고 아니다라는 것을 판단하셨나요 교수님. 그냥, 문제에서 T(A)=MA 에서 T=M이니까 M의 트레이스는 T의 트레이스와 같으니까 바로 M의 트레이스값을 구했는데 선지에 답이 안나와서 아 이때 T(A)=MA에서 T=M이 아니구나라는 시행착오를 겪어서 알게되었는데 이렇게 알아차리는 건가요?? |
|
| └ |
답변입니다. |
anamso** |
2022-11-30 |
| 글제목 |
답변입니다. |
| 작성자 |
anamso** |
등록일 |
2022-11-30 |
|
선형대수 수업 중에 벡터(1,2,3,4) 대신에 점이 아니라
행렬 2x2
1 2 3 4
혹은 다항식 1+2x+3x^2+4x^3 을 쓰기도 했다는 수업을 했는데요.
다만 성대 문제처럼 이렇게 대놓고 표현된 문제는 처음이었습니다.
선형대수 표현법은 항상 새로운 표현이 나옵니다. 그래서 과거에 배운 이해를 바탕으로 넓게 해석해야합니다.
수험생 입장에서 본다면
T=M 이 바로 답이 나온다는 것에 의심을 했어야 했고,
주어진 조건에 행렬 2X2라는 표현이 괜히 있는게 아니고 2X2 가
점 4개를
a b c d
로 표현하는 것이라고 눈치를 채야 했습니다. |
|
| 1141 |
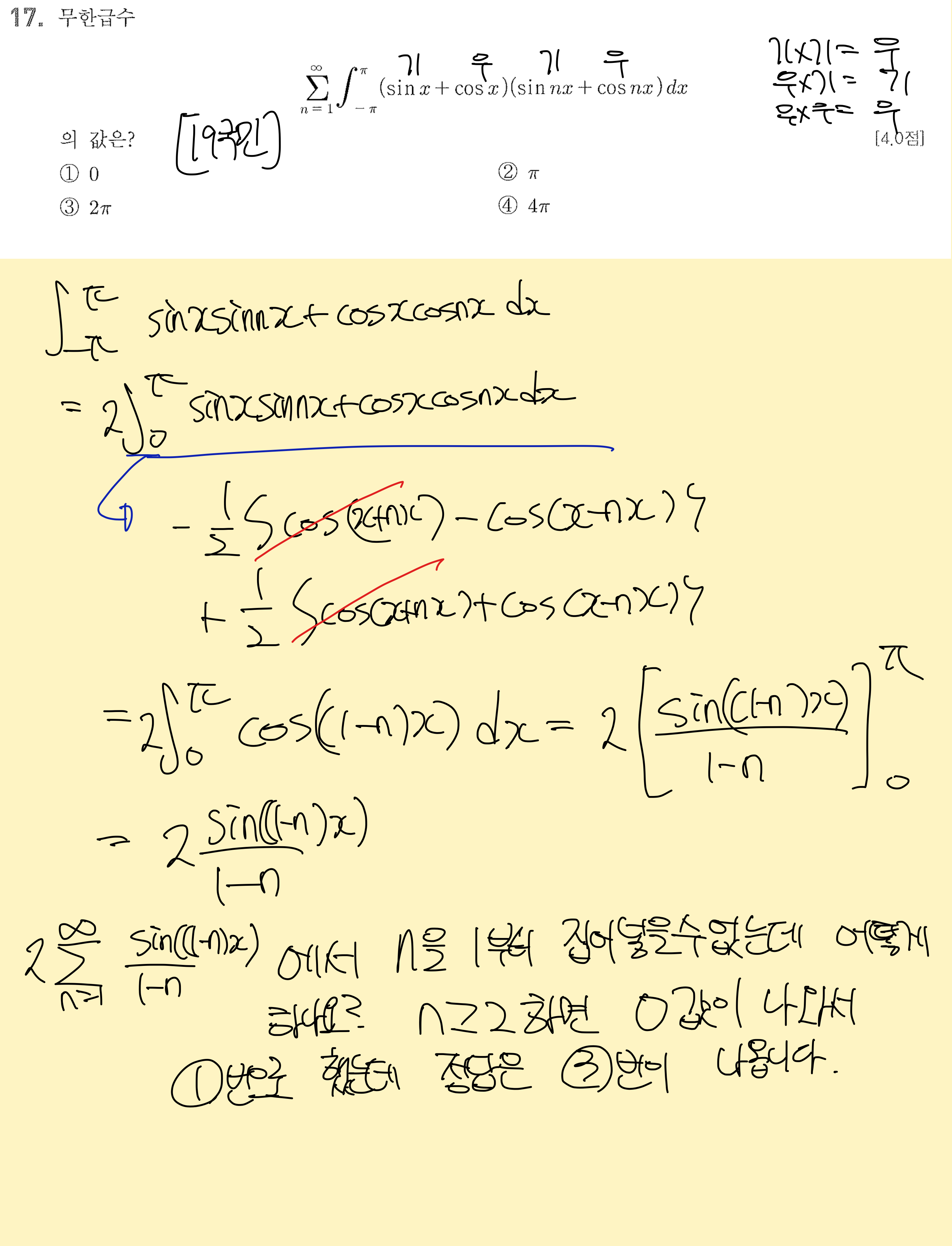
급수 마지막 질문
|
ipsin** |
2022-11-30 |
| 글제목 |
급수 마지막 질문 |
| 작성자 |
ipsin** |
등록일 |
2022-11-30 |
|

그래서 제가 인테그랄 1부터 e까지 1/x(lnx)^2 도 수렴 아니냐고 교수님께 여쭤봤었던 이유입니다. 저도 교수님의 피드백을 받아서 무한급수를 풀 때는 1/x를 기준으로 풀고있습니다. 물론 수업시간에서도 매우 강조를 해주셨었어요. 하지만 그럼에도 여쭤봤던 이유는 제가 수업에서 배운 내용과 뭔가 딜레마가 있는 것 같아서 질문드렸습니다. 당연히 x=1이면 분모가 0이라서 분수자체가 정의가 되지 않기에 그래프로도 그려보면 x=1일 때 무한대가 됩니다. 그러면 당연히 인테그랄 1부터 e까지 1/x(lnx)^2 값은 발산이겠지요. 그런데 위에 사진 속에서 제가 수업시간에 필기를 해놨듯이 저기에서도 x=1부터 무한대까지 더했을 때 1/x(lnx)^2 값이 수렴이라고 배웠습니다. 어쨌든 이 식에서도 x=1을 집어넣으면 무한대가 되버리는데 x=1부터 무한대까지 더했을 때 1/x(lnx)^2 값도 그러면 발산되어야 하는거아닌가요? 제가 이 부분에 대해서 딜레마가 와서 질문드렸었습니다 교수님..
|
|
| └ |
답변입니다. |
anamso** |
2022-11-30 |
| 글제목 |
답변입니다. |
| 작성자 |
anamso** |
등록일 |
2022-11-30 |
|
분모 lnx 있을 때,
x=1 부터는 발산이고 x=2부터 해야 수렴입니다.
교재에도 x=2부터 되있을텐데
지금 물어본 성대 문제를 제외하고 x=1 x=2 가지고 장난친적이 없어서 수업 중에 x=1과 x=2를 강조하지는 않았습니다.
혹시 제가 판서로나 말로서 x=1이라고 했다면 정정해야겠습니다.
|
|
| 1140 |
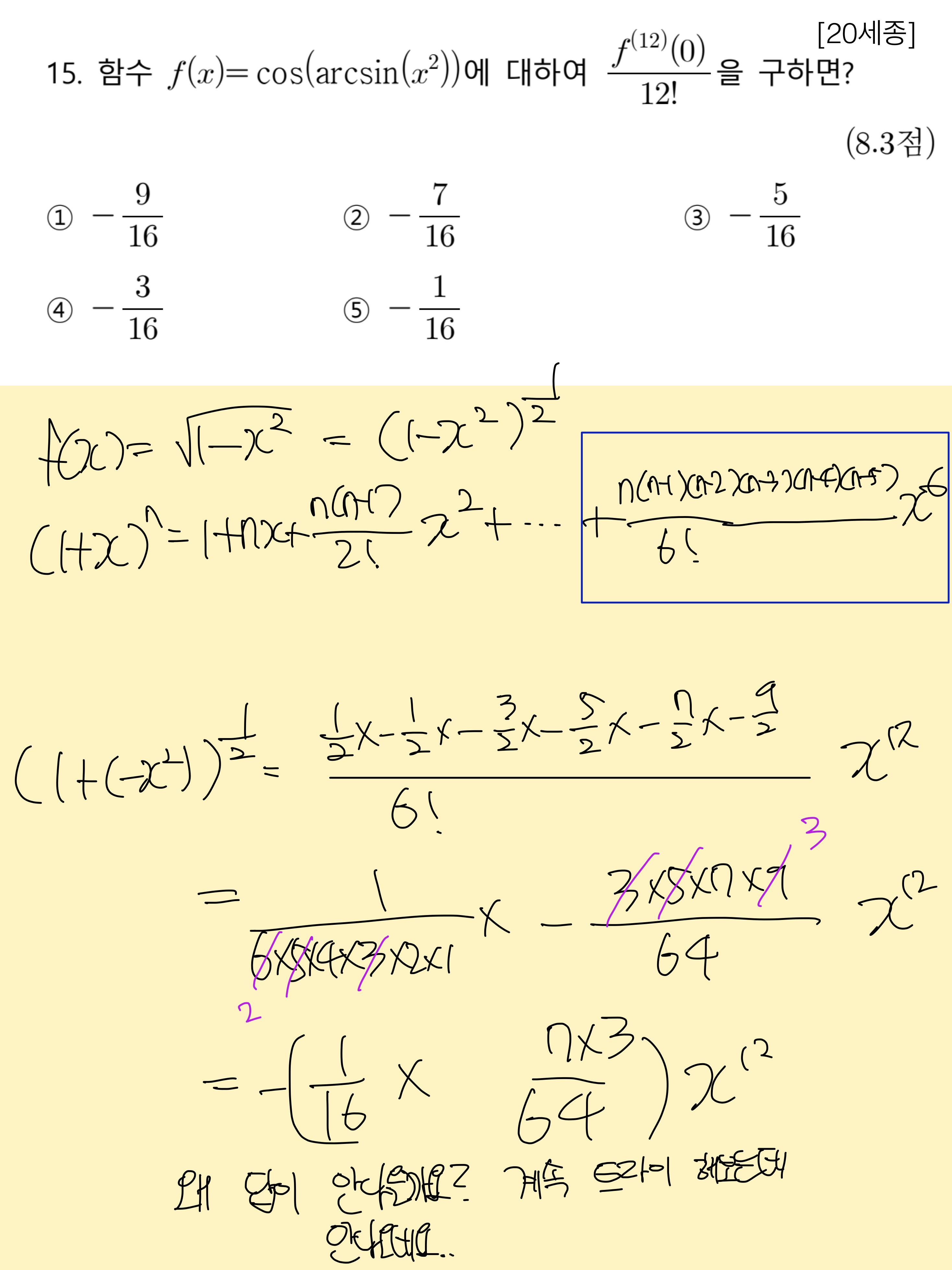
경희대 22년도 27번문제 관련해서 질문이 있습니다!
|
sehyun07** |
2022-11-29 |
| 글제목 |
경희대 22년도 27번문제 관련해서 질문이 있습니다! |
| 작성자 |
sehyun07** |
등록일 |
2022-11-29 |
|
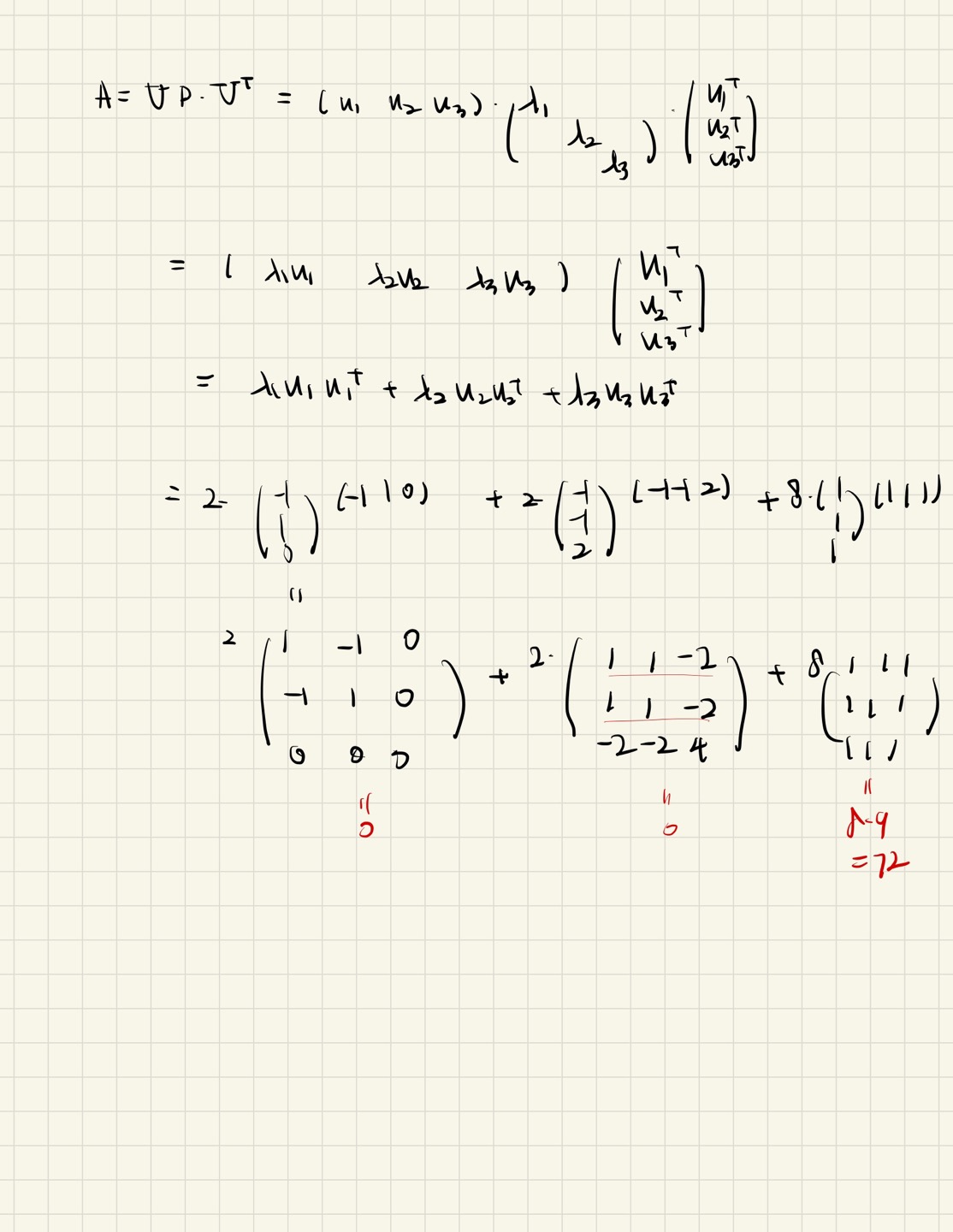
안녕하세요 선생님! 다름이 아니라 경희대 문제중에서 스펙트럼 분해라는 개념이 나왔는데, 제가 배우지 않는 부분인 거 같아서요.... 인터넷에 검색을 해봤는데, A= PDP-1처럼 주어진 고윳값과 고유벡터를 조합해서 A를 만들면 되는 건가요?? 정확히 스펙트럼 분해가 뭔지 알 수 있을까요??

|
|
| └ |
스펙트럼 분해 |
anamso** |
2022-11-30 |
| 글제목 |
스펙트럼 분해 |
| 작성자 |
anamso** |
등록일 |
2022-11-30 |
|
아마 편입시험 역사상 처음 나온 문제네요..
솔직히 저도 이 문제 다시 풀기 전까지 까먹었습니다..
검색해봐서 알겠지만 단순 글로써는 간단히 설명 할 수 없는 내용이에요.
우리는 그냥 문제만 풀죠?!
아래 참조.

|
|
| 1139 |
18성대16번
|
ipsin** |
2022-11-29 |
| 글제목 |
18성대16번 |
| 작성자 |
ipsin** |
등록일 |
2022-11-29 |
|

|
|
| └ |
답변입니다. |
anamso** |
2022-11-30 |
| 글제목 |
답변입니다. |
| 작성자 |
anamso** |
등록일 |
2022-11-30 |
|
일단 T=M 이지 않습니다.
평소 우리가 썻던 T(X)=AX 의 꼴이 아닙니다.
문제 나왔다시피 X에 들어가는 건 평소에 우리가 썻던 (x,y) 가 아니라
2x2 행렬입니다.
그래서 X 자리에 2X2 행렬을 집어넣어야 합니다.
해설이...좀...많이 구리네요.. 제가 아래 새로 풀어드렸습니다.

|
|
| 1138 |
수렴발산판단
|
ipsin** |
2022-11-29 |
| 글제목 |
수렴발산판단 |
| 작성자 |
ipsin** |
등록일 |
2022-11-29 |
|

|
|
| └ |
답변입니다. |
anamso** |
2022-11-30 |
| 글제목 |
답변입니다. |
| 작성자 |
anamso** |
등록일 |
2022-11-30 |
|
많이 풀다보면 반복되는 표현이 있습니다.
대표적으로 질문한 1/x(lnx)^2 이죠. 이건 교재에도 많이 나와있고 기출에서도 많이 보게될 보기입니다. 수렴이죠. 다만 문제에서 페이크가 있는데 x=1부터가 아니라 x=2부터라고 해야 수렴입니다. x=1 집어넣으면 ln1=0 이라 분모가 0이 되기 떄문이죠.
1/ x(lnx)^2 는 무한급수라고 생각하면 됩니다. 이상적분과 무한급수는 굉장히 유사합니다. 시그마 1/n(lnn)^2 = 인테그랄 1/ x(lnx)^2 은 같은 의미니까요.
무한급수의 정확한 풀이는 없습니다. 정확히 적분을 다해서 하는 사람도 있고 싹다 외워서 하는 사람도 있고. 하지만 아시다시피 적분은 시간이 걸리고. 외우는 것은 한계가 있습니다.
자주 나오는 것은 외우고,
자주 나오지 않는 것은 제가 수업에서 강조한 1/x 그래프 풀이를 하는게 가장 좋습니다.
|
|
| 1137 |
성대내적
|
ipsin** |
2022-11-29 |
| 글제목 |
성대내적 |
| 작성자 |
ipsin** |
등록일 |
2022-11-29 |
|


복잡하게 생각한 것이 아니라 마치 1+1=2라고 당연한 수순으로 생각해도 이해가 안되는데 왜 저렇게 해서 푸나요 교수님.. |
|
| └ |
답변입니다. |
anamso** |
2022-11-30 |
| 글제목 |
답변입니다. |
| 작성자 |
anamso** |
등록일 |
2022-11-30 |
|
P1은 벡터 1과 x로 이루어진 공간입니다.
당연히 1과 x의 실수배인 a+bx와 주어진 h2와 내적시 0 이 나와야합니다.
이렇게 풀어도 됩니다. 다만 실수배 미지수인 a,b 까지 고려하면 계산의 번잡함이 있습니다.
그런데 가만 생각해보면
h2는 당연히 1과 x와도 수직입니다.
애초에 1,x로 이루어진 공간 위에 모든 벡터과 수직이고 1,x도 그 수많은 벡터 중에 하나이니까요.
그래서 1과 x를 따로 내적해서 쉽게 구해주었습니다.
물론 솔직히 시험 때 이 아이디어를 스스로 생각하기엔 매우 힘듭니다. |
|
| 1136 |
아무리 생각해봐도 모르겠는..
|
ipsin** |
2022-11-29 |
| 글제목 |
아무리 생각해봐도 모르겠는.. |
| 작성자 |
ipsin** |
등록일 |
2022-11-29 |
|

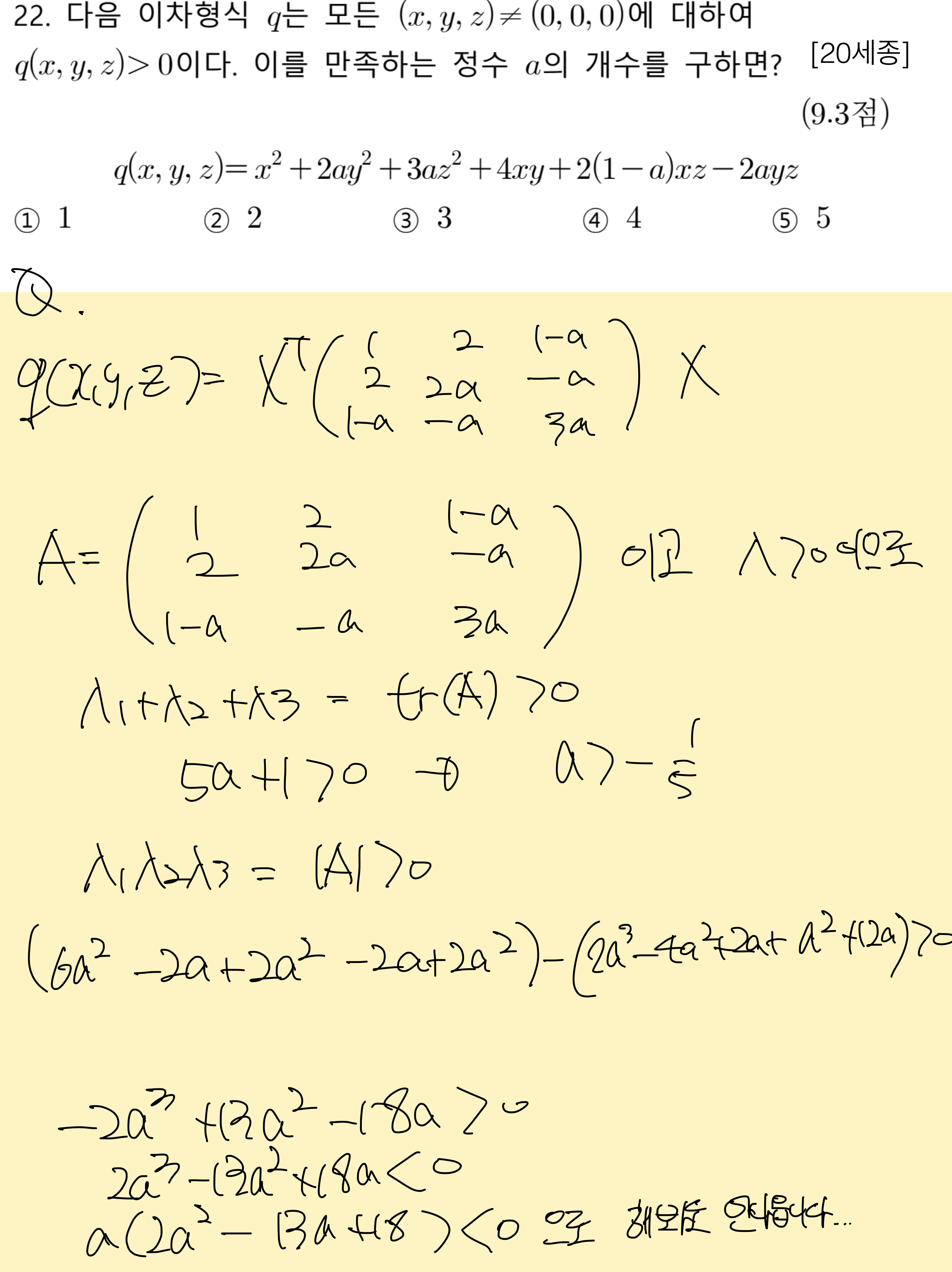
이거 20세종대 25번 회전변환 문제인데 물론 이 문제 풀 추호의 생각 단 하나도 없는데요
교수님이 그 문제를 기하적으로도 풀 수 있다라고 가이드라인주셨을 때 한번 생각해봤는데 사진 속에 질문한 내용처럼 이해가 안갑니다. 이 내용이 이해가 간다고 하더라도 이 문제 다시 풀 생각 없는 문제이긴 한데 저 질문 내용에 대해 해결받고 싶어서 질문드렸습니다 교수님.. |
|
| └ |
삼수선의 정리 |
anamso** |
2022-11-30 |
| 글제목 |
삼수선의 정리 |
| 작성자 |
anamso** |
등록일 |
2022-11-30 |
|
삼수선의 정리를 말하는 거 같군요.
모든 면위에 선끼리 90'이지 않습니다. 이건 단순히
주변 직각면이 만난 사물을 보고 선과 선을 이어봐도 확인할 수 있습니다.
직각이 되기 위해서는 직각으로...이건 말로하는 것보다 아래 링크 한번 참고해서 보세요.
https://m.blog.naver.com/jihyoseok/221173325915 |
|
| 1135 |
20세종22번
|
ipsin** |
2022-11-28 |
| 글제목 |
20세종22번 |
| 작성자 |
ipsin** |
등록일 |
2022-11-28 |
|

1시간째해도 안나오는데 어떻게 해야될까요..
|
|
| └ |
답변입니다. |
anamso** |
2022-11-30 |
| 글제목 |
답변입니다. |
| 작성자 |
anamso** |
등록일 |
2022-11-30 |
|
아래 풀어놨습니다! 그런데 해설에 똑같이 나와있을텐데 정말 1시간을 봤나요? 편입시험 문제가 퀄리티가 좋지 않고 또 나올 문제도 아니기에 시험이 코앞인 지금 상황에서 한문제 한문제 오래보는건 좋지 않습니다.

|
|
| 1134 |
열공간에 관련하여서 질문이 있습니다.
|
sehyun07** |
2022-11-28 |
| 글제목 |
열공간에 관련하여서 질문이 있습니다. |
| 작성자 |
sehyun07** |
등록일 |
2022-11-28 |
|
안녕하세요 선생님! 다름이 아니라 선형대수학 379쪽 유형학습 3번문제
7 X 9의 영공간의 차원(nullity)을 k라 할때, 다음 설명 중 옳지 않은 것은? 이 문제에서 4번 보기: A의 열공간에 있는 벡터 b에 대해 Ax=b는 무한히 많은 해를 갖는다. 이 보기가 맞는 보기라고 하는데요,
A라는 행렬을 행공간으로도 볼 수 있고 열공간으로도 볼 수 있는 건가요? 그리고 이 보기가 무엇을 뜻하는지 잘 모르겠습니다 ㅠㅠ 무한히 해를 많이 가지려면 첨가행렬 rank = 계수행렬 rank이어야 하고 |A| = 0 이어야 하지 않습니까?
그런데 특히 어디서 행렬식 A가 0이라는 근거를 발견할 수 있는지 모르겠습니다. |
|
| └ |
답변입니다. |
anamso** |
2022-11-30 |
| 글제목 |
답변입니다. |
| 작성자 |
anamso** |
등록일 |
2022-11-30 |
|
행공간이라고 물어보면 행요소를 벡터로 갖는 공간 열공간이라고 물어보면 열요소로 벡터로 갖는 공간이라 생각하면 됩니다.
4번 보기가 좀 어려운 보기입니다. 어렵다기보다 짜증나는 보기죠.
일단 행렬식으로 판단할 수 없습니다. 애초 7x9 정방이 아니기 떄문이지요.
그래서 해설에 주어진 첨가rank=계수rank 판단으로는 이해하기 힘든 부분이 있습니다.
예를 들어 이해하는게 좋습니다. 물론 그만한 가치가 있는 문제는 아니지만요.
주어진 행렬을 행보다 열이 큰 경우인데요.
극단적인 예로
1x3 짜리 행렬이 있다고 보면
A=(1 2 3 ) AX=b를 전개하면 x+2y+3z=b
평면식인데 평면식은 x,y,z가 무한하죠.
다른 예를 들까요.
2x4 짜리 행렬
1 2 3 4 5 6 7 8
AX=b 전개하면, (x+2y+3z+4w,5x+6y+7z+8w)=(b1,b2) 이고
이 역시 해가 무수히 많습니다.
|
|
| 1133 |
그린정리
|
ipsin** |
2022-11-28 |
| 글제목 |
그린정리 |
| 작성자 |
ipsin** |
등록일 |
2022-11-28 |
|

|
|
| └ |
답변입니다. |
anamso** |
2022-11-30 |
| 글제목 |
답변입니다. |
| 작성자 |
anamso** |
등록일 |
2022-11-30 |
|
y^2+4x^2 가 4 이지 않습니다.
문제에 주어진 y^2+4x^2=4 는 타원을 말하기 위해 있는 식이지
모든 y^2+4x^2 가 4라는 뜻이 아닙니다.
그린정리는 타원 내부 면적을 이용해야하기 떄문에 y^2+4x^2<4 라고 표현해야합니다. |
|
| 1132 |
19국민재질문
|
ipsin** |
2022-11-28 |
| 글제목 |
19국민재질문 |
| 작성자 |
ipsin** |
등록일 |
2022-11-28 |
|

식을 한 4번~5번 천천히 되새김질하면서 써봤는데 저 식만 나오는데
시그마가 1부터 무한대까지 더하는 것인데 n=1 대입하면 0/0꼴이 나와서 안되는데 어떻게 하나요? 반면에 n을 1을 제외하고 나머지 숫자를 더하면 값이 0이 나오구요 그런데 답은 1번이 안나와서 혹시 0/0꼴이니까 n에 대해서 로피탈을 쓰면 답이 나오지 않을까?해서 해봤는데 3번이 나오더라구요. 그런데 여기서 문제만 풀고 넘어가는게 아니라 왜 이렇게 푸는건지를 모르겠습니다. 왜냐하면 로피탈을 풀때는 기본적으로 극한일때 0/0꼴을 분모 분자 각각 미분해서 풀었는데 지금 n=1이라는게 진짜 1아닌가요? 진짜 1이면 0/0꼴자체로는 정의할 수 없기에 로피탈을 쓸 수 없는데 그냥 내버려두는 것이 아닌가요? 아니면 저 시그마가 사실 극한의 개념도 포함되어 있는건가요? 그렇다면 납득이 되는데.. |
|
| └ |
답변입니다. |
anamso** |
2022-11-28 |
| 글제목 |
답변입니다. |
| 작성자 |
anamso** |
등록일 |
2022-11-28 |
|
전에도 말했지만, 스스로 너무 어렵게 생각하는 거 같습니다.
시그마에 극한개념은 없습니다. n=1이면 1입니다.
그래서 n=1은 적분하지 않습니다. 분모에 n=1을 집어넣을 수 없기 때문에요.
그래서 n=1은 적분하지 않고 따로 구하고 n=2부터 적분해서 구합니다.
참고로 n=1 인 경우가 2pi가 나오고 n=2부터는 0입니다.
|
|
| 1131 |
학습방법 관련해서 질문이 있습니다!
|
sehyun07** |
2022-11-27 |
| 글제목 |
학습방법 관련해서 질문이 있습니다! |
| 작성자 |
sehyun07** |
등록일 |
2022-11-27 |
|
안녕하세요 선생님! 다름이 아니라 저번에 대학별 학습방법 관련해서 질문했었는데요, 추가적으로 궁금한게 있습니다. 경희대학교는 작년이랑 제작년 기준으로 혹시 몇문제 정도 맞혀야 합격선이라고 볼 수 있나요? 그리고 성균관대학교는 영어 25문항 수학 20문항정도 중 몇문제 정도 맞혀야 하나요? |
|
| └ |
답변입니다. |
anamso** |
2022-11-28 |
| 글제목 |
답변입니다. |
| 작성자 |
anamso** |
등록일 |
2022-11-28 |
|
과마다,TO마다,난이도마다 커트라인은 달라질 수 있어요.
하지만 대충 잡으면
영어까지는 정확히 제가 집어드리기 힘들고, 다른 학생들과 비교해서 무난하다는 전제하에
성대는 13~15 문제 정도.
경희대는 23~25 문제 정도면 합격선이라 볼 수 있습니다.
여기서 추합까지 생각하면 그 이하도 생각할 수 있어요. 물론 적게 뽑고 경쟁률 높은건 그 이상까지 생각해야겠습니다. |
|
| 1130 |
계산
|
ipsin** |
2022-11-27 |
| 글제목 |
계산 |
| 작성자 |
ipsin** |
등록일 |
2022-11-27 |
|

뭐죠..?이거 한 30분 붙잡고 한 거같은데 이 값이 어떻게 -1/16이 나오는지 모르겠어요..
완전 다른 값이 나오는데 어떻게 답이 -1/16이 나오나요? 기출영상에서 그대로 했는데도 답이 안나오네요 ㅠ |
|
| └ |
답변입니다. |
anamso** |
2022-11-28 |
| 글제목 |
답변입니다. |
| 작성자 |
anamso** |
등록일 |
2022-11-28 |
|
혹시 제가 판서에 x^2 이라고 썻나요? 그렇게 썻다면 제 실수입니다. ㅠ x^2 이 아니라 x^4 입니다.

|
|