| 1129 |
스톡스 정리에서 이해가 되지 않는 부분이 있습니다.
|
sehyun07** |
2022-11-27 |
| 글제목 |
스톡스 정리에서 이해가 되지 않는 부분이 있습니다. |
| 작성자 |
sehyun07** |
등록일 |
2022-11-27 |
|
안녕하세요 선생님! 다름이 아니라 스톡스 정리에서 이해가 가지 않는 부분이 있어서 질문드립니다. 제가 이해하기로는 스톡스 정리가 곡면을 반시계로 돌때 그 경로를 적분하는거 아닌가요? 그래서 그 곡면을 격자 모양으로 무한히 잘라서 테두리를 제외한 작은 격자 부분은 서로 경로가 반대이기 때문에 결국 한 일이 0이 되어서 테두리의 경로만 고려해서 적분하는거 아닌가요? 제가 이해한 것을 그림으로 그렸는데 z= x^2+y^2 을 z=1로 잘랐을때(470페이지 20번 문제) 위에 생기는 원의 경로가 반시계 인데 시계 방향 아닌가요? 혹시 제가 이해한게 맞는지 확인 부탁드립니다. ㅠㅠ

|
|
| └ |
맞습니다 |
anamso** |
2022-11-27 |
| 글제목 |
맞습니다 |
| 작성자 |
anamso** |
등록일 |
2022-11-27 |
|
제대로 이해한게 맞아요.
다만, 문제 조건의 경계곡선의 양의 방향이라고 강제하고 있어요.
이 조건이 없다면 시계라 - 라고 판단해야겠죠. |
|
| 1128 |
경희대학교 22년도 19번 공업수학 문제 질문 있습니다.
|
sehyun07** |
2022-11-27 |
| 글제목 |
경희대학교 22년도 19번 공업수학 문제 질문 있습니다. |
| 작성자 |
sehyun07** |
등록일 |
2022-11-27 |
|
안녕하세요 선생님!
다름이 아니라 공업수학 미분연산자 관련해서 질문이 있습니다. 선생님께서 2차식 D는 공식을 쓰면 된다고 하셨는데 3차식이 출제가 되어서, 무한 급수로 연산을 했는데 연산이 계속 되지 않아서 질문드리려고 합니다.
선형연립방정식은 좌변에서 D를 그대로 대입하면 되니까 분모에 D3-4D를 쓰고 그대로 우변의 각 항을 연산하면 되지 않습니까? 삼각함수랑 지수함수는 제대로 풀었는데 다항함수는 2x+8이 아니라 답이 -1/4 x^2이라고 하는데 혹시 제가 어떤 부분을 놓쳤는지 잘 모르겠습니다 ㅠㅠㅠ

|
|
| └ |
답변입니다. |
anamso** |
2022-11-27 |
| 글제목 |
답변입니다. |
| 작성자 |
anamso** |
등록일 |
2022-11-27 |
|
없는 1은 억지로 만들어서 그렇게 나온거같아요! 아랫처럼 해야합니다. 
|
|
| 1127 |
20세종8번
|
ipsin** |
2022-11-27 |
| 글제목 |
20세종8번 |
| 작성자 |
ipsin** |
등록일 |
2022-11-27 |
|

|
|
| └ |
답변입니다. |
anamso** |
2022-11-28 |
| 글제목 |
답변입니다. |
| 작성자 |
anamso** |
등록일 |
2022-11-28 |
|
그림에서
D는 반원의 넓이에서 pi/6~pi/2 넓이를 뺏는데
다시한번 그림을 보시면 0~pi/6 사이에 넓이가 포함되지 않습니다. 원은 이 부분의 넓이를 포함하고 있구요. |
|
| 1126 |
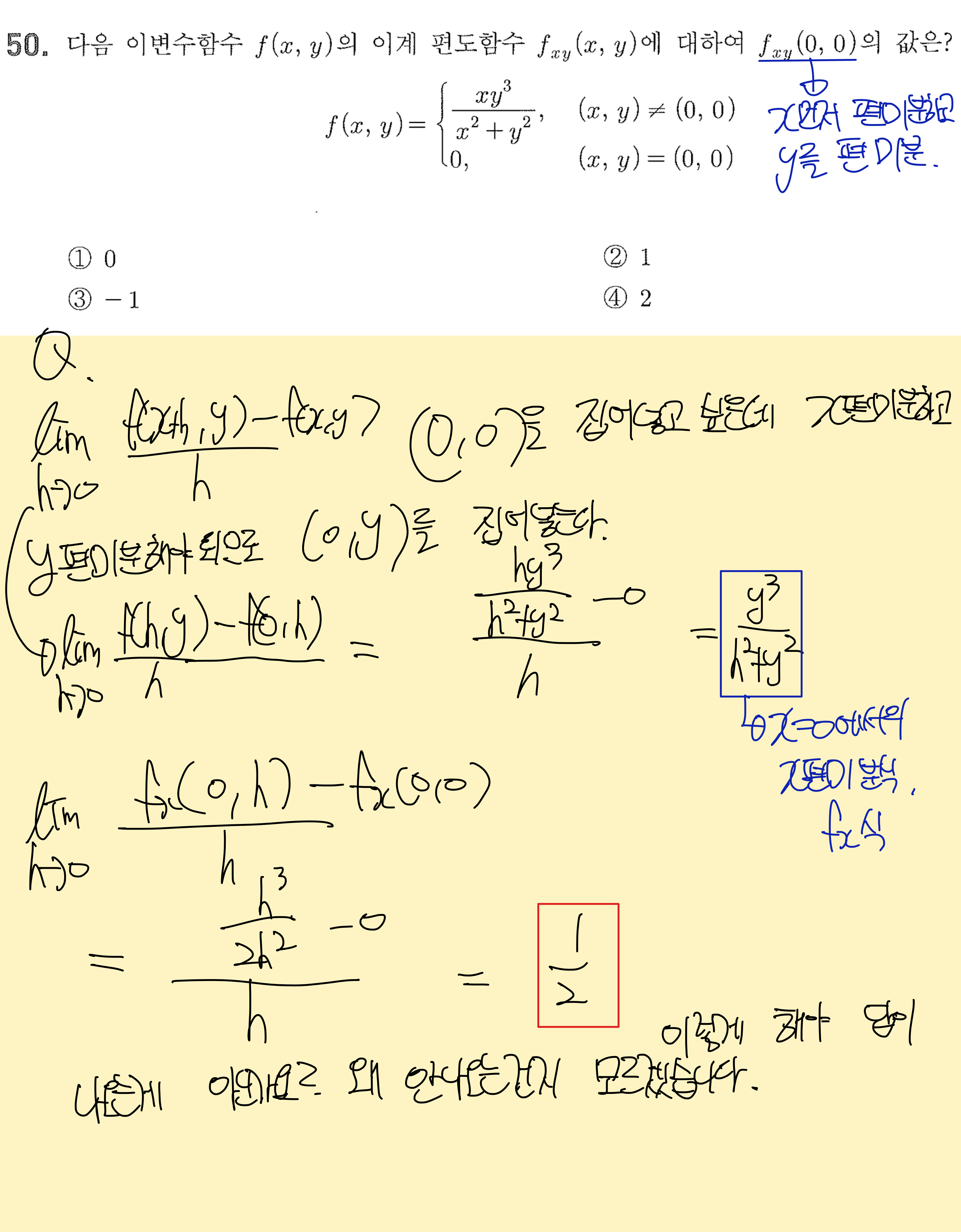
xy2계편도함수
|
ipsin** |
2022-11-27 |
| 글제목 |
xy2계편도함수 |
| 작성자 |
ipsin** |
등록일 |
2022-11-27 |
|

|
|
| └ |
답변입니다. |
anamso** |
2022-11-28 |
| 글제목 |
답변입니다. |
| 작성자 |
anamso** |
등록일 |
2022-11-28 |
|
y^3/(h^2+y^2) 에서 h->0 이기 때문에 y가 나옵니다. h를 처리 안했네요. |
|
| 1125 |
19숭실40번
|
ipsin** |
2022-11-27 |
| 글제목 |
19숭실40번 |
| 작성자 |
ipsin** |
등록일 |
2022-11-27 |
|

|
|
| └ |
답변입니다. |
anamso** |
2022-11-28 |
| 글제목 |
답변입니다. |
| 작성자 |
anamso** |
등록일 |
2022-11-28 |
|
R^2 라는 건 xy평면이란 뜻입니다.
(x,y,0) 에서 최대최소점이 없으니 틀린 보기입니다. |
|
| 1124 |
n->∞ 갈 때 지수에 2n+1이 있을 때
|
ipsin** |
2022-11-27 |
| 글제목 |
n->∞ 갈 때 지수에 2n+1이 있을 때 |
| 작성자 |
ipsin** |
등록일 |
2022-11-27 |
|

지수승에 2n+2이 있고 n을 무한대로 보내면 상수는 의미없으니까 지울 수 있는게 이때까지 그렇게 배웠었는데 지수승에 있는 것만큼은 없애면 안된다고 배웠습니다. 그런데 위 풀이에서는 지수승에 있는 상수 1을 없애줘서 (x^2)^n으로 한 것 같은데 심히 혼란스럽습니다.. |
|
| └ |
답변입니다. |
anamso** |
2022-11-28 |
| 글제목 |
답변입니다. |
| 작성자 |
anamso** |
등록일 |
2022-11-28 |
|
저도 모르겠습니다.
애초 반경k 구하는 방법이 비판정법R에서 파생된 방법입니다. 편히 쓰기 위해서.
이건 일반적인 an(x)^n 꼴이 아니므로 그냥 비판정법R을 쓰면 되겠습니다.

|
|
| 1123 |
19숭실29번
|
ipsin** |
2022-11-26 |
| 글제목 |
19숭실29번 |
| 작성자 |
ipsin** |
등록일 |
2022-11-26 |
|

|
|
| └ |
접선의 기울기입니다. |
anamso** |
2022-11-27 |
| 글제목 |
접선의 기울기입니다. |
| 작성자 |
anamso** |
등록일 |
2022-11-27 |
|
접선의 기울기를 물어본 것이라
dy/dx 를 구해야합니다.
tan파이는 곡률구할 떄 쓰는 것이구요.
x=rcos=(1+cos)cos y=rsin=(1+cos)sin
을 세타로 위아래 미분하면 되겠습니다. |
|
| 1122 |
19숭실36번
|
ipsin** |
2022-11-26 |
| 글제목 |
19숭실36번 |
| 작성자 |
ipsin** |
등록일 |
2022-11-26 |
|

|
|
| └ |
답변입니다. |
anamso** |
2022-11-27 |
| 글제목 |
답변입니다. |
| 작성자 |
anamso** |
등록일 |
2022-11-27 |
|
단순해요.
F(x) 미분값이 f(x)값이 존재하면 미분이 가능한 겁니다.
f(x)는 당연히 0~1사이에 연속인 함수니 존재하는 것이겠구요.
의심되면 f(x) 연속함수 아무거나 x라든지 5라든지 집어넣고 확인해봐두 좋구요. |
|
| 1121 |
세종대 2022 기출질문
|
khy65** |
2022-11-26 |
| 글제목 |
세종대 2022 기출질문 |
| 작성자 |
khy65** |
등록일 |
2022-11-26 |
|
유니타리 대각화 이거 는 강의에서 안다루신 것 같은데.. 이거 뭔가요..ㅠ 갑자기 복소수나오고 멘붕오네요 처음봐요 이런거.. 
|
|
| └ |
유니타리 행렬 |
anamso** |
2022-11-27 |
| 글제목 |
유니타리 행렬 |
| 작성자 |
anamso** |
등록일 |
2022-11-27 |
|
교재 111p 내용이 아주 간략히있는데요.
이 파트를 제대로 이해하고 풀고 싶다면 공부를 복소함수론까지해서 한 달 더 하셔야합니다.
그냥 넘기셔야합니다. 수험생 중에 이 문제를 준비하고 푼 친구는 없으니 멘붕할 필요없습니다.
굳이 이 문제 뿐만 아니라 기출 풀다보면 이런 특이하고 생소한 문제가 간혹 나옵니다.
출제교수가 마음만 먹으면 누구도 못 푸는 문제가 나올 수 있는게 편입시험입니다.
항상 말했다시피 우리가 아는 범위 안에 문제를 실수없이 풀면 되는거에요.
|
|
| 1120 |
적분연산 질문 있습니다.
|
sehyun07** |
2022-11-26 |
| 글제목 |
적분연산 질문 있습니다. |
| 작성자 |
sehyun07** |
등록일 |
2022-11-26 |
|
안녕하세요 교수님! 다름이 아니라 선적분 449페이지 유형학습 5번에서 적분 관련 연산에 대해 질문이 있습니다.
형광펜으로 밑줄 친 (4sin^3(t) * cos^2(t)) 의 적분을 어떻게 0부터 2파이까지 하면 0이 되는지 모르겠습니다. 
|
|
| └ |
답변입니다. |
anamso** |
2022-11-27 |
| 글제목 |
답변입니다. |
| 작성자 |
anamso** |
등록일 |
2022-11-27 |
|
부분적은 힘들어보이고
삼각함수 공식을 이용해서 왈리스이용해야합니다. 풀이는 아래!

|
|
| 1119 |
19국민22번
|
ipsin** |
2022-11-26 |
| 글제목 |
19국민22번 |
| 작성자 |
ipsin** |
등록일 |
2022-11-26 |
|

|
|
| └ |
답변입니다. |
anamso** |
2022-11-27 |
| 글제목 |
답변입니다. |
| 작성자 |
anamso** |
등록일 |
2022-11-27 |
|
연쇄법칙입니다. 이 표현이 (라운드Z/라운드s) 에서 서로 밀고 중간에 매개체인 변수 집어넣는다는 방법!
여기서 단지 라운드Z/라운드s = Zs 로 표현한 것 뿐입니다.
Zs=ZxXs+ZyYs
이런식이 완성되고 나머지는 해설과 같습니다.
|
|
| 1118 |
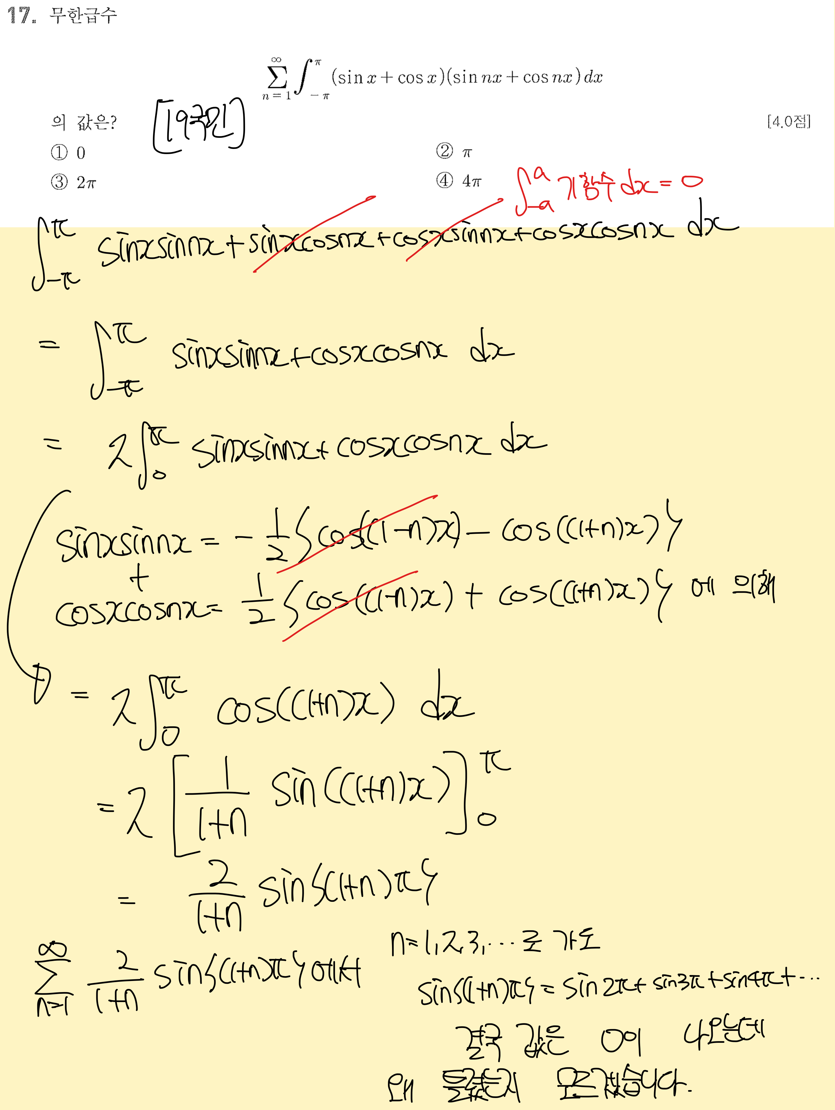
19국민17번
|
ipsin** |
2022-11-26 |
| 글제목 |
19국민17번 |
| 작성자 |
ipsin** |
등록일 |
2022-11-26 |
|

|
|
| └ |
답변입니다! |
anamso** |
2022-11-27 |
| 글제목 |
답변입니다! |
| 작성자 |
anamso** |
등록일 |
2022-11-27 |
|
삼각함수 공식이 틀린 거 같아요.
sinx*sinnx=-1/2(cos(x+nx)-cos(x-nx))
이라서 지워지지 않습니다. |
|
| 1117 |
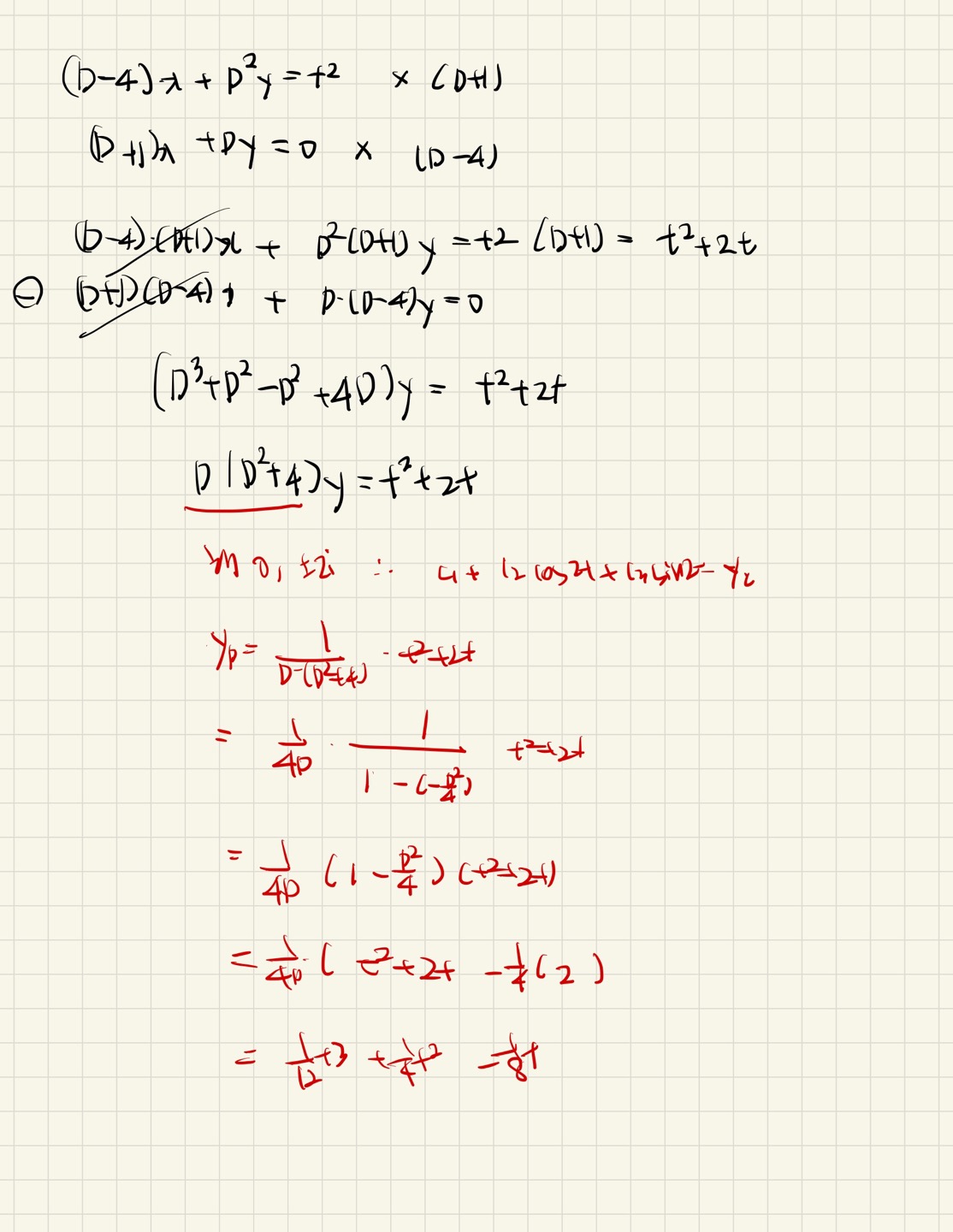
연립 미방 145쪽 유형학습 2번 질문 있습니다.
|
sehyun07** |
2022-11-26 |
| 글제목 |
연립 미방 145쪽 유형학습 2번 질문 있습니다. |
| 작성자 |
sehyun07** |
등록일 |
2022-11-26 |
|
이 문제에서 크래머 공식을 썼는데 다른 풀이로 풀 수 있는 방식은 없을까요? 
|
|
| └ |
연산자 |
anamso** |
2022-11-27 |
| 글제목 |
연산자 |
| 작성자 |
anamso** |
등록일 |
2022-11-27 |
|
연산자 풀이로 하면 되겠습니다. 다행히 답은 yc에서 나오니 yp는 구할 필요없겠네요.

|
|
| 1116 |
시험볼때 필기구
|
khy65** |
2022-11-26 |
| 글제목 |
시험볼때 필기구 |
| 작성자 |
khy65** |
등록일 |
2022-11-26 |
|
| 제가 공부할때는 주로 샤프로 풀고 했는데 기출풀때 앞에 적혀진 안내문구 보니까 컴퓨터용 싸인펜이랑 흑색 볼펜만 사용하라고 하는데 ㅠ 샤프쓰면 안될 것 같아서 이제부터 볼펜으로 연습하려고하는데 볼펜 0.7 0.5상관없이 그냥 볼펜이면 되겠죠??ㅠ 보통 다 볼펜으로 풀게하나요? 볼펜이 익숙치가 않아서..ㅠ |
|
| └ |
볼펜! |
anamso** |
2022-11-27 |
| 글제목 |
볼펜! |
| 작성자 |
anamso** |
등록일 |
2022-11-27 |
|
필기구 뭐를 써라고 수험생에게 말한 적은 없는데,
그래도 수학 문제 풀 때는 얇은 0.5가 좋아요.
아무래도 편입수학은 계산이 많아서 숫자를 작게 쓰게되는데
0.7이상을 쓰면 종이가 낭비될 수 있거든요.
참고로 저는 항상 0.5~0.7 제트스트림을 사용합니다. :)
|
|
| 1115 |
론스키안 해법 관련해서 질문 있습니다.
|
sehyun07** |
2022-11-25 |
| 글제목 |
론스키안 해법 관련해서 질문 있습니다. |
| 작성자 |
sehyun07** |
등록일 |
2022-11-25 |
|
문제사진이랑 제가 푼 풀이 사진 첨부하였습니다. 공업수학 112쪽 유형학습 3번 문제입니다. 2가지 질문이 있습니다.
제가 궁금한점은 론스키안 해법 말고 e^ax * f(x) 꼴이면 미분연산자에서 (D+a)로 계산하는 방법 있지 않습니까? 그 풀이로 하면 왜 오답이 나오는지 궁금합니다.
또한, 제가 알기로 론스키안 해법은 y'' + Ay' + By = R(x) 일때 즉, 선형미분방정식 꼴일때 적용가능하다고 들었습니다. 즉 , y''이랑 y' 앞이 상수가 되어야 적용가능한 것으로 이해했습니다. 문제 해설 풀이에서는 y'' - 1/x y' = 2xe^x 라고 설정하고 론스키안 행렬을 이용했는데 y'앞이 상수가 아니더라도 적용이 가능한지 궁금합니다.


|
|
| └ |
오답인 이유는 |
anamso** |
2022-11-26 |
| 글제목 |
오답인 이유는 |
| 작성자 |
anamso** |
등록일 |
2022-11-26 |
|
오답인 이유는
주어진 식이 코시오일러이기 떄문입니다.
코시오일러에서는z=lnx, x=e^z를 이용해서 치환하고 계산 후에
가장 마지막에 다시 x로 바꾸어야합니다.
따라서 주어진 식도
2x^3*e^x=2e^(3z)*e^(e^z)를 해야합니다.
하지만 아시다시피 e^(e^z) 은 연산자 풀이가 힘듭니다. ㅠ
론스키안은 그 형태가 어떻든 다 적용가능합니다!!
다만 적분을 써야하고 복잡하기 떄문에 안쓰는 것 뿐이죠. |
|