| 1399 |
18한양2번
|
ipsin** |
2023-01-04 |
| 글제목 |
18한양2번 |
| 작성자 |
ipsin** |
등록일 |
2023-01-04 |
|

|
|
| └ |
답변입니다! |
anamso** |
2023-01-05 |
| 글제목 |
답변입니다! |
| 작성자 |
anamso** |
등록일 |
2023-01-05 |
|
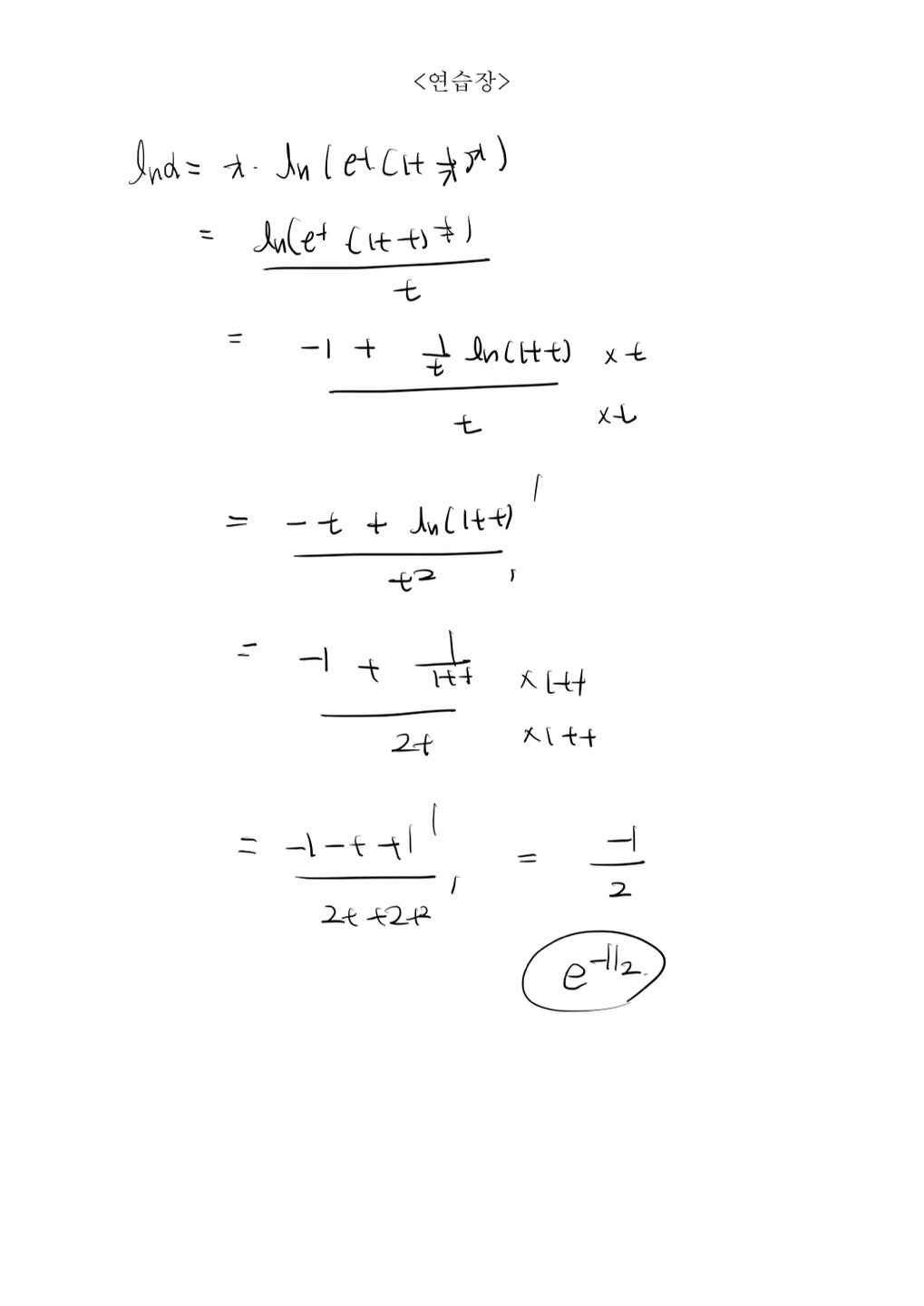
ln 안에 갖힌 (1+1/x)^x=e라고 판단거죠?
이렇게 독립적으로 (1+1/x)^x 가 혼자 존재하지 않고 밖에 x 있을 겨우에
(1+1/x)^x=e라고 단순히 판단하면 안됩니다.
(1+1/x)^x는 온전히 (1+1/x)^x 상태에서 서로 영향을 주고 받는 형태에서 e라고 정의되는것이지
밖에 x가 있다면 (1+1/x)^x에 영향을 주기에 e라 함부로 정의할 수 없습니다.
아래처럼 로피탈 풀이 해야합니다.

|
|
| 1398 |
22인하 27번
|
ipsin** |
2023-01-04 |
| 글제목 |
22인하 27번 |
| 작성자 |
ipsin** |
등록일 |
2023-01-04 |
|

|
|
| └ |
답변입니다! |
anamso** |
2023-01-05 |
| 글제목 |
답변입니다! |
| 작성자 |
anamso** |
등록일 |
2023-01-05 |
|
요것도 인하대 영상 확인해주세요! 참고로 교재 삼중적분에 같은 문제 있습니다! |
|
| 1397 |
22 과기대 19
|
monge6** |
2023-01-04 |
| 글제목 |
22 과기대 19 |
| 작성자 |
monge6** |
등록일 |
2023-01-04 |
|

문제 뜻을 잘 모르겠습니다..
|
|
| └ |
답변입니다! |
anamso** |
2023-01-05 |
| 글제목 |
답변입니다! |
| 작성자 |
anamso** |
등록일 |
2023-01-05 |
|
저도 솔직히 이 내용을 바로 해석하긴 힘들었고 시간이 걸렸습니다.
x벡터 해석이 중요한데요.
x는 c1 c2 두 변수에 의해 정해지는 벡터이니 2차원 벡터가 되겠네요. 이 해석이 조금 어려웠을 겁니다.
변수의 갯수가 차원이란 것은 기억나시죠? 이렇게는 접근해보지 않았지만요.
x는 해죠? 해공간의 차원은 그럼 2차원이네요.
그리고 해공간차원은=n-rankA 이죠? 영공간과 해공간은 같은 개념입니다.
그럼 2=4-rankA 니까 2가 되겠네요.
|
|
| 1396 |
22 과기대 16번
|
monge6** |
2023-01-04 |
| 글제목 |
22 과기대 16번 |
| 작성자 |
monge6** |
등록일 |
2023-01-04 |
|

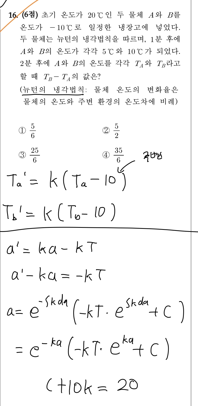
소금물도 식도 없지만 식 세울수있게 부가설명이 있어서 참고해서 풀어보려고했습니다
식을 세우고 이제 상수 값을 찾으려고 대입하려고 보니까 시간이라는 변수를 제가 넣지 못했는데
시간을 온도의 변화율 어디에 넣어야되는지 모르겠습니다 |
|
| └ |
답변입니다! |
anamso** |
2023-01-05 |
| 글제목 |
답변입니다! |
| 작성자 |
anamso** |
등록일 |
2023-01-05 |
|
과기대 문제 답글 달 때마다 하는 말인데
이 문제 역시 과한 문제구요. 식도 안주고 심지어 보기 조건도 복잡합니다.
왜냐면 물체가 A와 B가 있어서 TA TB를 다로 구해야합니다. 온도 상수 K가 서로 다르겠구요.
그래서
T(0)=20 초기 온도로 c값을 먼저 구해주구요.
TA(1)=5 TB(1)=10
조건으로 각각의 K값은 구해야합니다. |
|
| 1395 |
22 과기대 14번
|
monge6** |
2023-01-04 |
| 글제목 |
22 과기대 14번 |
| 작성자 |
monge6** |
등록일 |
2023-01-04 |
|

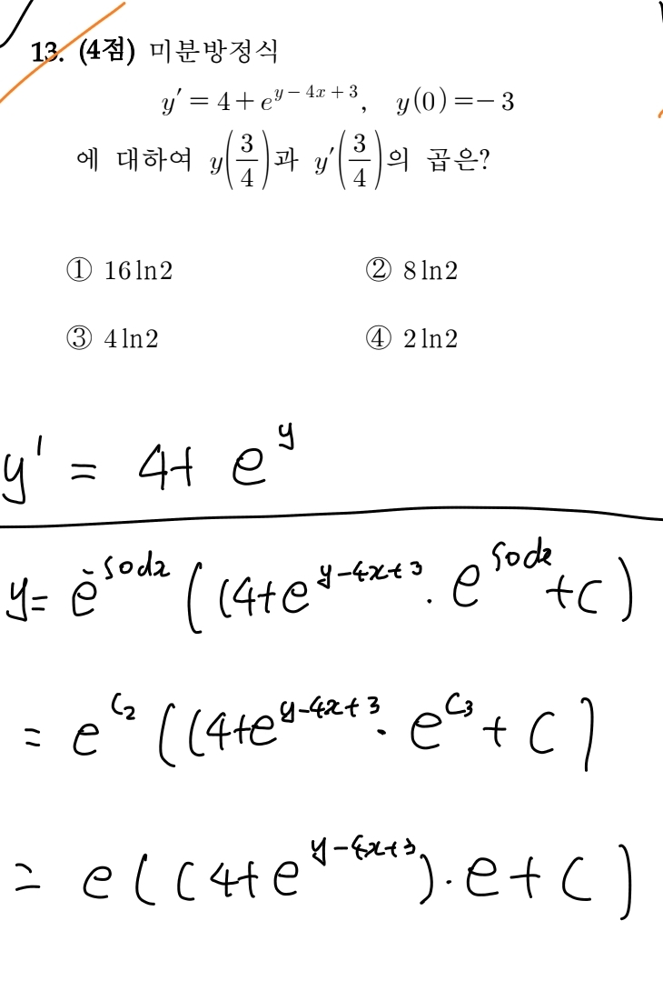
뭔가 각각 적분해서 적분상수 c 남는 그런 미분방정식으로 풀면 편할거같은데
적분식이 복잡해서 어떻게 적분해야할지 모르겠습니다.. |
|
| └ |
답변입니다! |
anamso** |
2023-01-05 |
| 글제목 |
답변입니다! |
| 작성자 |
anamso** |
등록일 |
2023-01-05 |
|
솔직히 도를 넘은 문제 같아요....
일단 변수 분리에서 dx에 x만 dy에 y만 있어야 해서
써준 식처럼 dy앞에 x를 쓰면 안됩니다.
이 문제는 많은 해설에서도 어거지로 풀어놨기에...저도 못 풀 었을 거 같은데요.
1/x(x^6-1) 에 위 아래 x^5을 곱해서
x^5/x^6(x^6-1) 을 하고 x^6=t를 치환해서 풀어야하는데..
아주 결론적이고 집엽적인 문제가 되겠습니다...
|
|
| 1394 |
22 과기대 13번
|
monge6** |
2023-01-04 |
| 글제목 |
22 과기대 13번 |
| 작성자 |
monge6** |
등록일 |
2023-01-04 |
|

뭔가 익숙하지 않은 미분방정식입니다.
그래도 좀 끄적여봤는데 못풀겠습니다.. |
|
| └ |
답변입니다! |
anamso** |
2023-01-05 |
| 글제목 |
답변입니다! |
| 작성자 |
anamso** |
등록일 |
2023-01-05 |
|
익숙하지 않은 유형 맞구요.
아래처럼 치환을 생각 못했다면 힘든 문제였습니다.

|
|
| 1393 |
22 과기대 12번
|
monge6** |
2023-01-04 |
| 글제목 |
22 과기대 12번 |
| 작성자 |
monge6** |
등록일 |
2023-01-04 |
|

뭔가 처음 보는 식입니다.. z로 표현되어있고 면적이라는데 z로 표현되어있으면 3차원 아닌가요??
면적의 범위부터 못잡으니까 못풀겠습니다..
|
|
| └ |
답변입니다! |
anamso** |
2023-01-05 |
| 글제목 |
답변입니다! |
| 작성자 |
anamso** |
등록일 |
2023-01-05 |
|
3차원 맞아요. 3차원 면적분
ds=root(1+fx^2+fy^2) 쓰는 식입니다,
범위는 문제에 주어져있어요! x는 0~1 y는 0~pi |
|
| 1392 |
22 과기대 11번
|
monge6** |
2023-01-04 |
| 글제목 |
22 과기대 11번 |
| 작성자 |
monge6** |
등록일 |
2023-01-04 |
|

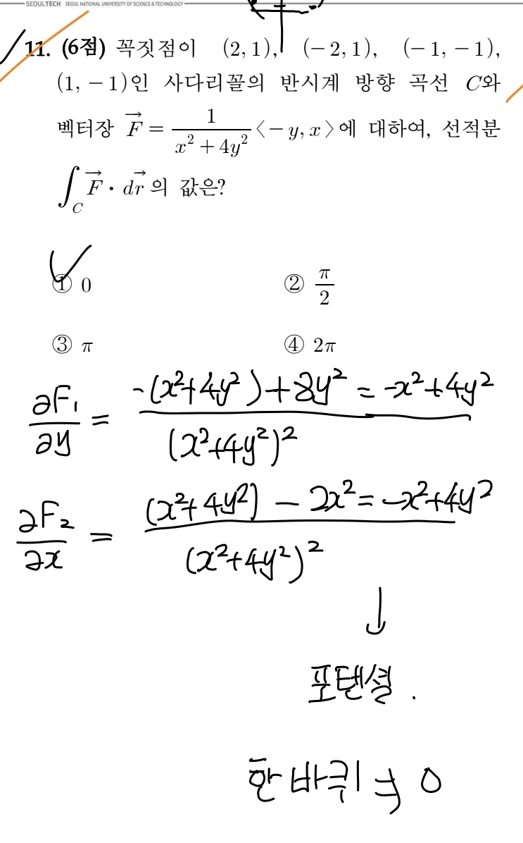
선적분 한 바퀴 돌아서 그린정리 사용하려고했는데 미분해보니까 포텐셜함수가 나옵니다..
그래서 0이라고했는데 틀렸어요 여러 번 풀어도 포텐셜함수인거같은데 모르겠습니다.. |
|
| └ |
답변입니다! |
anamso** |
2023-01-05 |
| 글제목 |
답변입니다! |
| 작성자 |
anamso** |
등록일 |
2023-01-05 |
|
지난 답변에도 말했지만 분모가 0이 될 수 있는 조건이기에 경로 변경으로 풀어야합니다.
적분하기 좋으려면 x=2cost, y=sint 치환해주면 분모가 4cos^2+4sin^2 으로 이쁘게 정리될수 있죠.
한바퀴 도니 적분 2pi 하면 답이 잘 나옵니다.
이런 문제 유형 절대 0 답 찍지말고 무조건 cos sin 치한해서 풀어야해요.
|
|
| 1391 |
22 과기대 8
|
monge6** |
2023-01-04 |
| 글제목 |
22 과기대 8 |
| 작성자 |
monge6** |
등록일 |
2023-01-04 |
|

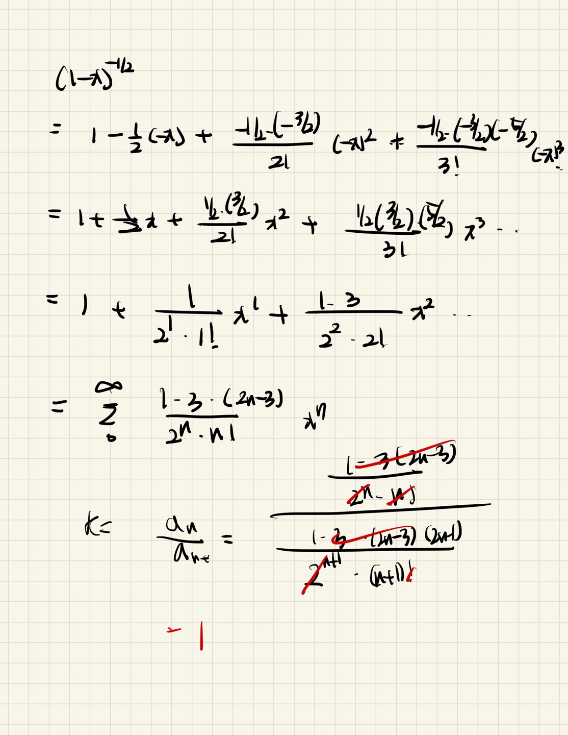
저 식을 외워야하는 맥클로린 급수로 표현하고 싶었는데 그게 잘안되는거같아요.. 모르겠습니다 |
|
| └ |
답변입니다! |
anamso** |
2023-01-05 |
| 글제목 |
답변입니다! |
| 작성자 |
anamso** |
등록일 |
2023-01-05 |
|
(1+x)^n 급수전개해야합니다.
야속할 정도로 어려운 문제네요.
풀이는 아래 같습니다.

|
|
| 1390 |
22 과기대 6번
|
monge6** |
2023-01-04 |
| 글제목 |
22 과기대 6번 |
| 작성자 |
monge6** |
등록일 |
2023-01-04 |
|

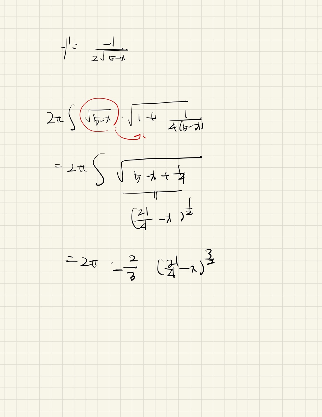
계산이 너무 더러워서 풀 엄두가 안나는데 혹시 쉽게 풀수있는방법이 있는건가요?
제가 잘못풀어서 계산이 더럽게 나온건가요?
|
|
| └ |
답변입니다! |
anamso** |
2023-01-05 |
| 글제목 |
답변입니다! |
| 작성자 |
anamso** |
등록일 |
2023-01-05 |
|
식 잘 만들었는데요.
2번식에서 뭔가 좀 이상하게 된 거 같아요.
밖에는 루트5-x를 들여보내야했어요.

|
|
| 1389 |
22인하29번
|
ipsin** |
2023-01-04 |
| 글제목 |
22인하29번 |
| 작성자 |
ipsin** |
등록일 |
2023-01-04 |
|


|
|
| └ |
답변입니다! |
anamso** |
2023-01-05 |
| 글제목 |
답변입니다! |
| 작성자 |
anamso** |
등록일 |
2023-01-05 |
|
이것도 인하대 유튭 영상 확인!
사실 스톡스도 깊게 깊게 물리학적으로 flux와 연관이 되긴해요.
유속이 움직여서 일한 것이니까요.
식까지 있으면 식보고 판단하는게 우선이겠습니다. |
|
| 1388 |
20 과기대 19
|
monge6** |
2023-01-04 |
| 글제목 |
20 과기대 19 |
| 작성자 |
monge6** |
등록일 |
2023-01-04 |
|

제가 고친 풀이인데 어떻게 고친지 모르겠습니다..
대각화 불가는 고유벡터의 행렬식이 0이면 되는거 같은데
그러면 벡터가 종속이어야하니까 행렬식이 0이 되야되고 rank의 0줄이 안되면 되는거같은데.. 이렇게는 풀어보니까 잘안나오더라구요..
뭔가 풀었던거 추적해보면 고유치가 중근이면 고유벡터 행렬식 값이 0이라고 해놓은거같은데 그렇게 하는게 맞나요?
|
|
| └ |
답변입니다! |
anamso** |
2023-01-05 |
| 글제목 |
답변입니다! |
| 작성자 |
anamso** |
등록일 |
2023-01-05 |
|
정확히는 고유벡터 행렬P 식으로 하는게 맞지요.
하지만 그렇게하면 람다 구하고 고유벡터구하고 너무 복잡합니다.
그래서 일반적으로 고유치로 판단하죠.
고유치가 서로 다르면 100퍼 고유벡터 독립이라 확일 필요 없죠.
다만 중근인 경우는 될 수도 있고 안 될 수도 있으니 정확히는 |P|를 구해야하나..
대부분의 중근인 경우는 안된다 생각하여 그냥 중근으로 풀라고 하였습니다.
이 문제도 그렇게 야매로 풀어야 하구요.
다만 중근이어도 대각화 되는 예외가 있죠? 바로 단위행렬. 주어진 행렬은 단위행렬이 아니니 그냥 중근으로 빠르게 판단하고 문제 빠르는 게 좋겠습니다.
|
|
| 1387 |
22인하9번
|
ipsin** |
2023-01-04 |
| 글제목 |
22인하9번 |
| 작성자 |
ipsin** |
등록일 |
2023-01-04 |
|

|
|
| └ |
답변입니다! |
anamso** |
2023-01-05 |
| 글제목 |
답변입니다! |
| 작성자 |
anamso** |
등록일 |
2023-01-05 |
|
해설을 좀 고등수학을 못하시는 분들이 써서 그런지 왜 저래 했는지 모르겠네요.
공지 링크 건대 다음 인하대 영상 참고해주세요. |
|
| 1386 |
18중대18번론스키안사용시
|
ipsin** |
2023-01-04 |
| 글제목 |
18중대18번론스키안사용시 |
| 작성자 |
ipsin** |
등록일 |
2023-01-04 |
|

|
|
| └ |
답변입니다! |
anamso** |
2023-01-05 |
| 글제목 |
답변입니다! |
| 작성자 |
anamso** |
등록일 |
2023-01-05 |
|
x값은 정의해줄 수 있는게 아닙니다.
흔한 방정식이라 생각해서 sin2x=0이라고 판단한것입니다.
우리가 (1,2,3)을 벡터로 1+2x+3x^2 이렇게 표현하는데 여기 x를 다른 방정식처럼 어떤 숫자를 집어넣진 않았쬬.
그냥 행렬식 자체가 깔끔하게 0이 나와야합니다.
|
|
| 1385 |
22인하6번
|
ipsin** |
2023-01-04 |
| 글제목 |
22인하6번 |
| 작성자 |
ipsin** |
등록일 |
2023-01-04 |
|

또 다른 질문은

제가 지금 극좌표랑 헷갈려하고 있는 건가요..? 결국 원이나 타원이나 좌표를 cos과 sin으로 만드는 것은 삼각함수의 성질 중 하나인 cos^2+sin^2=1을 이용해서 쓰는건데 여기서 헷갈리는게 그러면 이때 각도는 무엇을 기준으로 재는건가요??
|
|
| └ |
답변입니다! |
anamso** |
2023-01-05 |
| 글제목 |
답변입니다! |
| 작성자 |
anamso** |
등록일 |
2023-01-05 |
|
극좌표에 쓰이는 r과 theta는 중심이 항상 원점입니다.
치환한 theta 값은 중심이 15,0에 있는 것입니다.
그냥 직접 theta에 각 여러개 집어넣고 판단하는게 이해하기 가장 빠릅니다.
당장 90' 집어넣으면 (15,5) 가 나오죠.
인하대 문제는 그렇게 푸는 것이 맞는데 아마 적분이 힘들겁니다.
공지 건국대 영상 다음에 인하대 기출풀이도 있으니 한번 참고해주세요. |
|