| 1174 |
22경희17번
|
ipsin** |
2022-12-05 |
| 글제목 |
22경희17번 |
| 작성자 |
ipsin** |
등록일 |
2022-12-05 |
|

공수커리큘럼에서 1강인가 2강에서 배운 내용을 그대로 갖다가 썼는데 답이 무언가 이상하게 나옵니다 계속.. 제가 뭘 잘못한 것일까요? |
|
| └ |
답변입니다. |
anamso** |
2022-12-06 |
| 글제목 |
답변입니다. |
| 작성자 |
anamso** |
등록일 |
2022-12-06 |
|
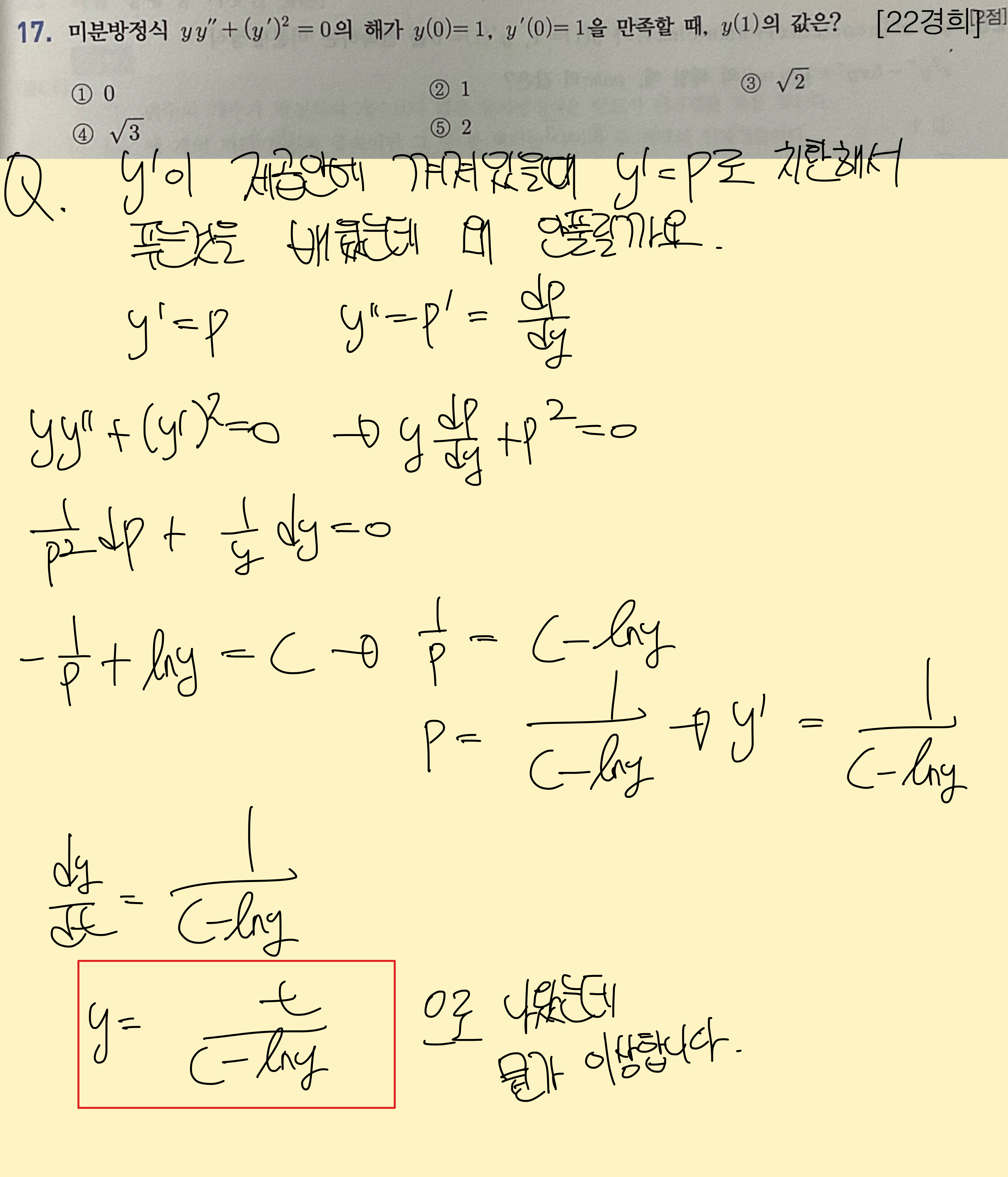
문제가 조금 더 복잡합니다.
교재 문제는 오로지 dp 와 dt 만 변수분리가 되는데
이 문제는
y'' 앞에 y가 있습니다.
그냥 냅두면 변수는 dp와 dt 뿐 아니라 dy도 있죠.
변수분리는 2개만 있어야하는데 3개 있었지만, 지금 풀이는 이를 무시해서 오류가 나왔습니다.
아래 풀이처럼 dt를 지워야겠습니다. 솔직히 시험장에서 이 문제를 맞춘 친구는 있을 거 같지 않군요.

|
|
| 1173 |
22경희8번
|
ipsin** |
2022-12-05 |
| 글제목 |
22경희8번 |
| 작성자 |
ipsin** |
등록일 |
2022-12-05 |
|

|
|
| └ |
답변입니다. |
anamso** |
2022-12-06 |
| 글제목 |
답변입니다. |
| 작성자 |
anamso** |
등록일 |
2022-12-06 |
|
높이가 무한해도 두께가 얇으면 넓이가 존재하는 것입니다.
0~1부터 lnx의 넓이는 e^x의 -무한대~0 의 넓이와 같죠.
알다시피 1/x보다 납작해서 넓이가 당연 존재합니다.
|
|
| 1172 |
254p 유형2
|
seung208** |
2022-12-05 |
| 글제목 |
254p 유형2 |
| 작성자 |
seung208** |
등록일 |
2022-12-05 |
|
해설 마지막 인테그랄 앞에 왜 곱하기 2가 붙나요?
X의 범위가 0부터 1까지라서 y=+-가 아닌 y=~ 로 계산한다고 생각했습니다 계산을 위해 플러스 부분만 계산해서 두 배를 한 건가요? |
|
| └ |
답변입니다. |
anamso** |
2022-12-06 |
| 글제목 |
답변입니다. |
| 작성자 |
anamso** |
등록일 |
2022-12-06 |
|
보통 두배를 한 것은 모양이 2개 나온 경우에요. 아래처럼 x>0에서도 모양이 2개 생겨서 그렇습니다!!
x=1 이라면 y 값이 2개 나오는 것으로부터 확인할 수 있죠.
하지만 식은 rootx를 이용했기 때문에 2배한 것입니다.

|
|
| 1171 |
경희대, 과기대, 시립대
|
khy65** |
2022-12-05 |
| 글제목 |
경희대, 과기대, 시립대 |
| 작성자 |
khy65** |
등록일 |
2022-12-05 |
|
이 세 학교는 토익 점수를 보던데 보통 800점대까지는 맞아야 시험 볼 만 한가요?? 그 밑에 점수는 원서접수 안 하는게 나을까요..? |
|
| └ |
아니에요! |
anamso** |
2022-12-06 |
| 글제목 |
아니에요! |
| 작성자 |
anamso** |
등록일 |
2022-12-06 |
|
작년에 700점대라인
심지어 600라인도 붙는 친구들 많았어요.
애초에 공대생들 중에 토익 800점 극히 드뭅니다
저도 수능 끝나고 처음 본 토익이 740...
아무튼 지원하세요!! |
|
| 1170 |
함수의 내적은 무엇을 의미하나요?
|
tlsaudc** |
2022-12-05 |
| 글제목 |
함수의 내적은 무엇을 의미하나요? |
| 작성자 |
tlsaudc** |
등록일 |
2022-12-05 |
|
그래프의 형태 유사함을 비교하는건가요? |
|
| └ |
함수의 내적 |
anamso** |
2022-12-06 |
| 글제목 |
함수의 내적 |
| 작성자 |
anamso** |
등록일 |
2022-12-06 |
|
맞아요.
내적이라는 게 동일상황에서 비교하는 것이죠.
함수 역시 어떤 함수를 다른 함수에 비슷하게 펼처서 비교하는 의미입니다.
정말 간단하게 x^2 과 x^3 이 있다면 x^3을 x^2과 가깝게 눕혀서 비교하는 의미죠. |
|
| 1169 |
pg.279 대표기출유형1번
|
edga** |
2022-12-05 |
| 글제목 |
pg.279 대표기출유형1번 |
| 작성자 |
edga** |
등록일 |
2022-12-05 |
|
이 문제에서 왜 식을 빼서 생성된 새로운 함수 g(x)로 부피를 구하면 안되는지 궁금합니다. 이차식에서 일차식 뺸 -x^2+2x에 원넓이이용한 부피구하는 공식썼는데 답이 다르게나오더라구요 이 문제와 비슷한것같은데 pg.282의 유형학습1에서는 함수 두개로 둘러싸여있어서 서로 뺸 함수를 그대로 공식에 넣어서 풀면된다고하셨는데, 두 문제는 무슨차이인가요? |
|
| └ |
답변입니다. |
anamso** |
2022-12-06 |
| 글제목 |
답변입니다. |
| 작성자 |
anamso** |
등록일 |
2022-12-06 |
|
279 문제는 x축 회전
292 문제는 y축 회전이죠? y축 회전은 1차식이라서 그래프를 그리지 않아도 집어넣어도 상관은 없습니다.
하지만 x축 회전은 y^2이 들어갑니다. 조심해야합니다 .
만약 -x^2+2x 상태에서 인테그랄 (-x^2+2x)^2 * pi 를 쓴다면
-x^2+2x 의 그래프를 x축으로 돌린 부피가 생깁니다.
하지만 이는 문제에서 언급한 부피가 아니죠.
식으로만 접급하지만 말고 직접 그래프를 그려봐야해요.
|
|
| 1168 |
포텐셜
|
ipsin** |
2022-12-05 |
| 글제목 |
포텐셜 |
| 작성자 |
ipsin** |
등록일 |
2022-12-05 |
|

교수님 근데 생각해보니까 포텐셜함수면 처음과 끝만 중요한데
지금 문제에서는 타원이 반시계방향으로 돈다고 했고 그러면 처음과 끝이 같으니까 0이 나와야 되는거 아닌가요..?
|
|
| └ |
답변입니다. |
anamso** |
2022-12-06 |
| 글제목 |
답변입니다. |
| 작성자 |
anamso** |
등록일 |
2022-12-06 |
|
좋은 질문이에요.
0이 아닌 이유는 그린정리에 의한 복잡한 과정이 들어가는데요.
그냥 단순하게 한바퀴 돌 때 원점이 포함되어있죠.
그런데 식에 원점을 집어넣으면 분모가 0이 되는 상황이 옵니다.
그래서 이 경우는, 기존 경로선적분과 차별을 둬야합니다.
만약 분모에 저런 식이 없으면 당연 0 이구요.
|
|
| 1167 |
재질문
|
ipsin** |
2022-12-05 |
| 글제목 |
재질문 |
| 작성자 |
ipsin** |
등록일 |
2022-12-05 |
|

|
|
| └ |
답변입니다. |
anamso** |
2022-12-06 |
| 글제목 |
답변입니다. |
| 작성자 |
anamso** |
등록일 |
2022-12-06 |
|
경험적인 부분인데요. 저런 물리학식을 많이 접하면 저런 벡터장F 조건에서 대칭성을 가진 상황에서는
0 이 안나오고 짝수배값이 나옵니다.
마치 우함수가 오른쪽넓이X2 하는 것처럼.
|
|
| 1166 |
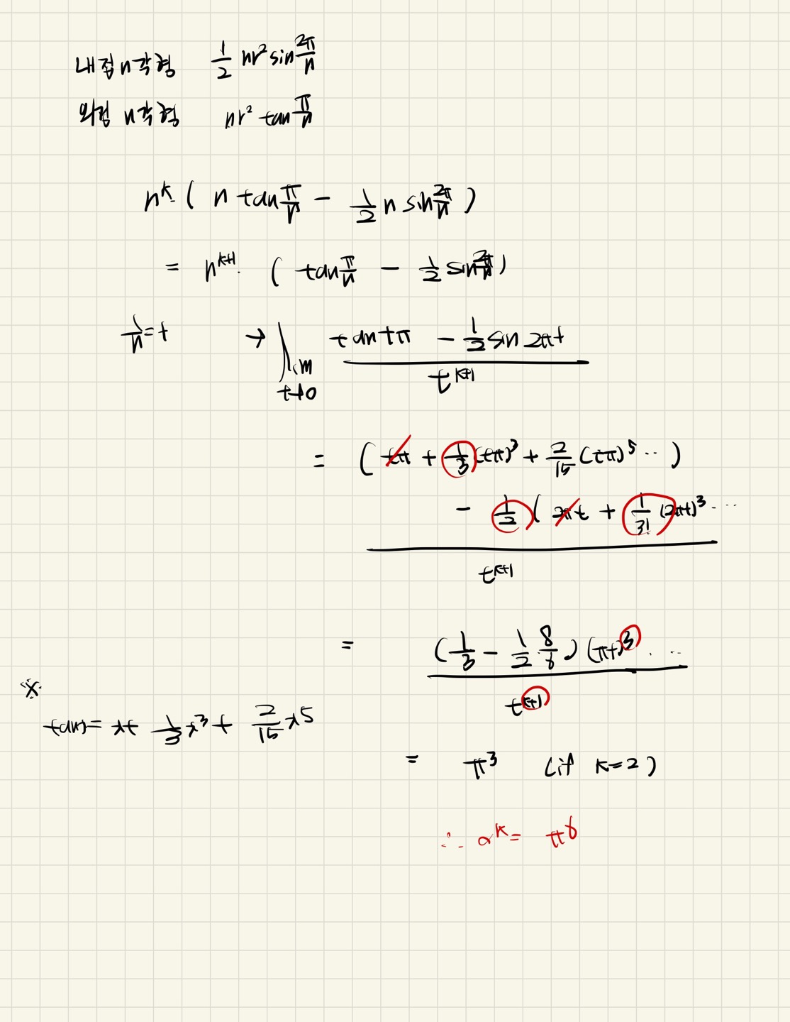
중앙대 기출 2022년 5번 문제
|
kyj3** |
2022-12-05 |
| 글제목 |
중앙대 기출 2022년 5번 문제 |
| 작성자 |
kyj3** |
등록일 |
2022-12-05 |
|

안녕하세요 선생님
중앙대 기출을 풀다가 잘 안풀리는 문제가 있어서 질문합니다. 어떻게 푸는지 설명해주실수 있나요? |
|
| └ |
답변입니다. |
anamso** |
2022-12-06 |
| 글제목 |
답변입니다. |
| 작성자 |
anamso** |
등록일 |
2022-12-06 |
|
원에 외접하는 n각형, 내접하는 n각형 이론이 있는데요. 솔직히 이걸 누가 외우고 준비를 할 수 있을지 모르겠네요.
참고로 저도 까먹어서 틀린 문제입니다.

|
|
| 1165 |
재질문
|
ipsin** |
2022-12-05 |
| 글제목 |
재질문 |
| 작성자 |
ipsin** |
등록일 |
2022-12-05 |
|

다른 문제는 몰라도 이 문제만큼은 무조건 이해하려고 가려는데요 제가 이해한 바는 문제에서 "선형변환 T가 W로의 직교사영일 때"라고 했으니까 T=W로의 직교사영 이라는 것인데 W로의 직교사영이 뭔가요? W 위에서 어떤 점을 내리콱 수직으로 찍었다는 말인지 아니면 W에서 수직으로 내리콱 수직으로 찍었다는 말인지 모르겠습니다.
또한,

|
|
| └ |
답변입니다. |
anamso** |
2022-12-06 |
| 글제목 |
답변입니다. |
| 작성자 |
anamso** |
등록일 |
2022-12-06 |
|
직교사영=정사영 같은 말입니다.
식만 보고 판단해서 헷갈려하는 거 같은데.
지금 정리해둔 식을 ua 성분이 아래 있는 벡터일 때고
평면 경우, 그 ua를 직접 찾을 수 없어서 법선벡터로 우회적으로 써서 식이 달라지는 것 뿐입니다.
아래 정리해두었습니다.

|
|
| 1164 |
공간곡선에서 이계도함수는 어떠한 의미를 가지는가요?
|
tlsaudc** |
2022-12-05 |
| 글제목 |
공간곡선에서 이계도함수는 어떠한 의미를 가지는가요? |
| 작성자 |
tlsaudc** |
등록일 |
2022-12-05 |
|
공간곡선에서 이계도함수는 어떠한 의미를 가지는가요? 1차도함수는 접선이라는건 알겠는데 2차도함수는 그 접선의 법선을 의미하나요? |
|
| └ |
맞습니다! |
anamso** |
2022-12-06 |
| 글제목 |
맞습니다! |
| 작성자 |
anamso** |
등록일 |
2022-12-06 |
|
한번 미분하면 접선벡터 한번 더 미분하면 법선벡터입니다. |
|
| 1163 |
22성대45번
|
ipsin** |
2022-12-04 |
| 글제목 |
22성대45번 |
| 작성자 |
ipsin** |
등록일 |
2022-12-04 |
|

|
|
| └ |
엥 |
anamso** |
2022-12-05 |
| 글제목 |
엥 |
| 작성자 |
anamso** |
등록일 |
2022-12-05 |
|
선적분으로 풀면 됩니다.
포텐셜함수라 경로는 내 맘대로 정해도 됩니다. 아래풀이처럼 바꾸면
식이 안복잡하네요! 아래 풀이 참고

|
|
| └ |
답변입니다. |
anamso** |
2022-12-08 |
| 글제목 |
답변입니다. |
| 작성자 |
anamso** |
등록일 |
2022-12-08 |
|
그렇게 풀면 맞는 식인데 적분 자체가 어려워서
경로변경해서 아래처럼 풉니다!

|
|
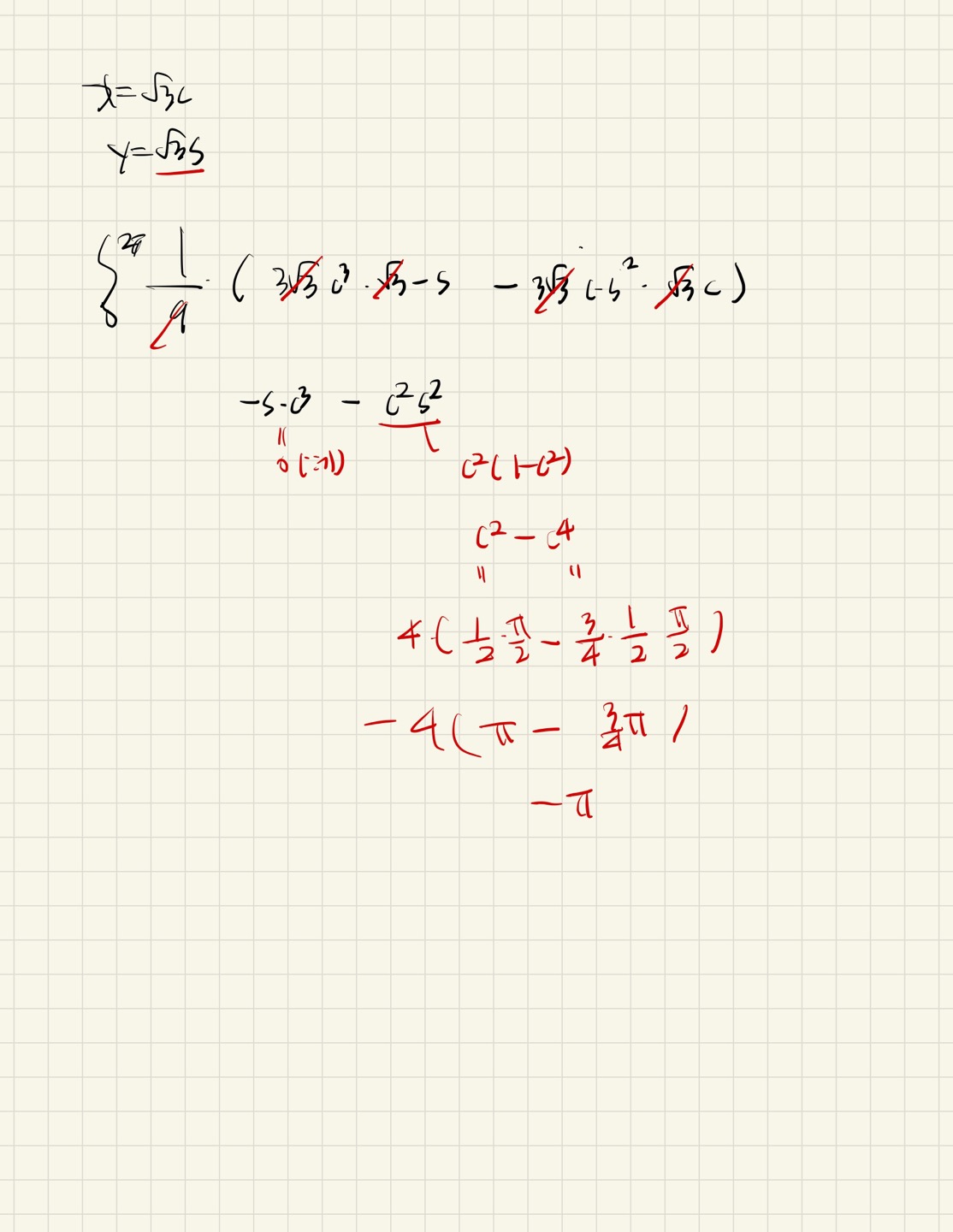
| 1162 |
22성대39번
|
ipsin** |
2022-12-04 |
| 글제목 |
22성대39번 |
| 작성자 |
ipsin** |
등록일 |
2022-12-04 |
|

음.. 이렇게 풀다가 너무 식이 길어지고 복잡해지는데 이 문제 어떻게 접근해야 되나요? 해설지에서는 이걸 거의 반장을 채웠습니다.. 잘 알지도 못하겠구요 |
|
| └ |
답변입니다. |
anamso** |
2022-12-05 |
| 글제목 |
답변입니다. |
| 작성자 |
anamso** |
등록일 |
2022-12-05 |
|
제대로 풀라고 낸 문제는 아닌 거 같습니다.
치환하고 구면 좌표계를 써야하는데, 식이 너무너무 복잡합니다.
특히 divF 식이.... 출제자가 전날 급하게 냈나봐요.
그래서 안푸는게 맞습니다.
그래서 찍으면 됩니다.
1번 0 이 나올리는 없고
주어진 식이 대칭 관계니 2의 배수가 나오니
4번은 아웃.
2 3 5 번 중에 찍으면 될 거 같습니다. 이게 최선입니다 .ㅠ
|
|
| 1161 |
그린정리 시계방향
|
khy65** |
2022-12-04 |
| 글제목 |
그린정리 시계방향 |
| 작성자 |
khy65** |
등록일 |
2022-12-04 |
|
그린정리 할 때 시계방향이면 - 붙어야 한다고 하시는데, 그렇다고 반시계일 때도 마이너스가 붙는 경우가 있더라구요..ㅜ 어떻게 정리해서 생각하면 좋을까요? 헷갈려요.. |
|
| └ |
답변입니다. |
anamso** |
2022-12-05 |
| 글제목 |
답변입니다. |
| 작성자 |
anamso** |
등록일 |
2022-12-05 |
|
어떤 경우일까요?
혹시 단국대 문제인가요?
그 문제 정말 치사한데요.
자세히 보면 원점에서 바라보는 방향입니다.
우리는 위에서 바라봐야하기 때문에, 원점에서 시계면 위에서 보는 우리입장에서 반시곕니다. |
|
| 1160 |
목표학교설정에 대해서
|
khy65** |
2022-12-03 |
| 글제목 |
목표학교설정에 대해서 |
| 작성자 |
khy65** |
등록일 |
2022-12-03 |
|
올해 무휴학으로 시험 준비하는 학생입니다. 이제 정말 시험날짜가 얼마 남지 않아서 다소 긴장되고.. 조급하네요..ㅜ 원래는 건대, 세종대 이 두 학교 목표로 시험 준비를 했었습니다. 근데 편입시험은 될 수 있으면 다 보라고 해서, 다른 학교 기출도 풀어보고 있는데.. 쉽지 않네요 ㅠㅠ 지금 시점에서 건대,세종대 기출풀이도 아직 완벽하지 않은데, 그래도 다른 학교도 조금씩 건들여서 대비를 해보는 것이 좋을까요? 아니면 그냥 정말 두 학교만 파서 대비하는 것이 좋을까요..ㅜ 두 학교만 대비하자니 올킬났을때가 걱정이구ㅜ 모든학교 다 찔러보기에는 어느학교도 완벽하게 준비를 못할 것 같아서 걱정입니다..ㅜ 현실적인 조언 부탁드립니다!
|
|
| └ |
건대 세종대 |
anamso** |
2022-12-05 |
| 글제목 |
건대 세종대 |
| 작성자 |
anamso** |
등록일 |
2022-12-05 |
|
건대 세종대 조합은 처음보네요. (혹시 광진구사나요?!)
그런데 건대 세종대는 준비하기에 변수가 많은 학굡니다.
세종대는 수학만 보는데요. 문제 스타일이 다른 학교랑 조금 다르죠?
건대는 아시다시피 영어+수학 1시간 안에 끝내야 하는 곳이라, 어떠한 변수가 있을지 모르는 시험입니다.
그래도 이번에 다행히 건대에서 많이 뽑아서 그나마 나은 상황이긴 합니다.
결론적으로 딱히 건대, 세종대만 가야하는 이유가 있는게 아니면 다른 학교도 지원하세요.
단국대 같은 경우, 문제 준비하기 좋은 학교구요. 동국대와 외대도 준비하기 좋은 학교입니다. 토익 점수 있으면 경희대는 강추구요. 여학생이면 당연히 이대 집어넣어야합니다. 학교 네임벨류는 이대>건대, 이지만 실제 편입 합격 난이도는 건대>>이대 정도로 차이가 큽니다.
아무튼, 꼭 건대 세종대를 준비하는 이유가 있는 게 아니면 다른 학교, 특히 이대랑 TO 많이 뽑는 학교도 지원해주세요.
|
|