| 664 |
세종대 2018 21
|
jjh04** |
2021-11-30 |
| 글제목 |
세종대 2018 21 |
| 작성자 |
jjh04** |
등록일 |
2021-11-30 |
|
| 야코비언하고 z=6이니까 인테그랄(0부터 6까지)하면 안되나요?? |
|
| └ |
답변입니다. |
anamso** |
2021-12-02 |
| 글제목 |
답변입니다. |
| 작성자 |
anamso** |
등록일 |
2021-12-02 |
|
삼중적분으로 표현할 때 높이까지 표현한 건 말하는거죠?
부피구할때 마지막 삼중적분은 윗높이 아랫높이입니다.
삼중적분에 앞에 더블인테그랄은 xy 밑면만 보면 되고. 마지막은 높이에 관한 식이죠.
전 이걸 수업떄 윗뚜껑 아랫뚜껑으로 표현하지요.
윗뚜껑은 z=6 이고
아랫뚜겅은 z=u^2+v^2입니다. 이걸 극좌표로 바꾸면 r이 되구요.
z=0 이라고 쓰면 곡면 z=u^2+v^2을 무시하게됩니다. |
|
| 663 |
건국대 2018 32번
|
sun44616** |
2021-11-30 |
| 글제목 |
건국대 2018 32번 |
| 작성자 |
sun44616** |
등록일 |
2021-11-30 |
|
가로 세로 길이가 같아 변수 a로 두었고, 변수 하나로 통일시키기위해 높이를 3/2 * a로 바꾸어 식을 만들었습니다 그럼 부피가 3/2*a^3으로 하여서 미분해서 da에 0.1을 넣어 풀었는데 답이 안나오네요 ㅠㅠ 어떻게 푸는지 알 수 있을까요? 함부로 변수를 통일 시키면 안되나요? |
|
| └ |
통일은 안됩니다! |
anamso** |
2021-12-02 |
| 글제목 |
통일은 안됩니다! |
| 작성자 |
anamso** |
등록일 |
2021-12-02 |
|
일단 변은 원래 변수였고 우연히 40 40 같은 경우를 물어본거지
변의 길이는 원래 각각 독립이라
x, y,z 로 두고
V=xyz 그리고 이건 미분하면 x'yz+xy'z+xyz' . 그리고 x'=y'=z'=0.1 로 풀어야합니다.
사실 같게 한 이유는 알겠습니다. 그런 시도는 좋아요.
하지만 이렇게 안된다는 경험하셨으니 앞으로 no! |
|
| 662 |
2017 세종대 21번 ㅠㅠ
|
jhwan9642** |
2021-11-29 |
| 글제목 |
2017 세종대 21번 ㅠㅠ |
| 작성자 |
jhwan9642** |
등록일 |
2021-11-29 |
|
ll w - x ll 의 값이 최소가 되는 W의 원소 w를 w= av1 + bv2 어떻게 이렇게 표현이 되는걸까요… 사실 두번째 문장부터 이해가 안가요ㅠㅠ 해설에는 그람 슈미트정리도 써야한다고 나와있는데 복잡하네요…
세종대 문제는 모르면 마킹안하는게 유리한건가요…? 오답 감점제도 낯서네요…ㅠ |
|
| └ |
틀려도 되는 문제. |
anamso** |
2021-12-01 |
| 글제목 |
틀려도 되는 문제. |
| 작성자 |
anamso** |
등록일 |
2021-12-01 |
|
어렵죠? 일반적으로 편입으로 공부한 친구들
이 문제는 못 푼다고 보면 됩니다. 그럼 틀리면 되나? 네 틀려도 됩니다 :)
세종대는 풀어보시면 알겠지만
심하게 수능수학스러운 문제도 있고... 심지어 편입만 가르치는 강사분들도 못 푸는 문제도 굉장히 많아요.
이 문제처럼, 대수학 지식이 너무 불필요하게 필요한 문제도 내죠.
그런 문제는 그냥 틀리면 됩니다! 정말루!!!!
감점제도.. 제 수업을 들어보면 알겠지만 어려운 문제는 찍기를 추천 드리고 있습니다! 물론 '근거'있는 찍기.
세종대는, 근거 없으면 찍지 마시고. 근거 있으면(최소 50프로 확률) 찍는 걸 추천 드리고 싶습니다.
|
|
| 661 |
질문드립니다.
|
kgh992** |
2021-11-29 |
| 글제목 |
질문드립니다. |
| 작성자 |
kgh992** |
등록일 |
2021-11-29 |
|
2020 단국대 18번 문제 베르누이 질문드립니다. dy/dx=1/x+y^2 역수 해서 dx/dy=x+y^2해놓고 어떻게 처리하나요? 홍창의 선생님 강의를 보면 밑에 처럼 푸는데 x와 y가 다른데 저 공식을 써도 되나요? 설명 및 풀이 부탁드립니다.~

|
|
| └ |
답변! |
anamso** |
2021-11-30 |
| 글제목 |
답변! |
| 작성자 |
anamso** |
등록일 |
2021-11-30 |
|
잘했는데요?
이 문제는 y= 으로 해석하면 절대 안풀려요. 다행히 보기에 식이 x= 이기 때문에 이걸보고
아 이식은 역수취해서 x= 으로 풀어야 풀리는구나하고 캐치해야했습니다.
그 이후는 올린것처럼 하면 될텐데요? 베르누이 쓰지말고 적은 것처럼 하세요.
아래처럼 부분적분을 해야하는 귀찮음 있지만. 풀이는 자주쓰는 방식으로 통일하는게 좋습니다.

|
|
| 660 |
질량구하기
|
jjh04** |
2021-11-28 |
| 글제목 |
질량구하기 |
| 작성자 |
jjh04** |
등록일 |
2021-11-28 |
|
질량구하는 방법이 더블인테그랄 로 ds, 트리플인테그랄 로 dv인가요?
|
|
| └ |
질량 |
anamso** |
2021-11-29 |
| 글제목 |
질량 |
| 작성자 |
anamso** |
등록일 |
2021-11-29 |
|
네 맞습니다. 면적밀도(kg/m^2)가 주어지고 면적질량 구하려면 더블인테그랄 로 ds 부피밀도(kg/m^3)가 주어지면 부피질량이면 트리플인테그라 로 dv이빈다. |
|
| 659 |
2020 과기대 5번문제질문있습니다 ++2번문제
|
sun44616** |
2021-11-27 |
| 글제목 |
2020 과기대 5번문제질문있습니다 ++2번문제 |
| 작성자 |
sun44616** |
등록일 |
2021-11-27 |
|
문제중 넓이는 구했는데 길이구하는공식에서 막혀서요.. 루트 r제곱 + r(미분)제곱으로 구했습니다 전에 올렸던 루트 2(1+sin)에서 막힙니다..ㅠㅠ 그리고 2번문제는 위치를 두번 미분하면 가속도인걸로 아는데 그러면 세번 미분하여 극값 구해서 푸는문제 아닌가요? 이것도 막히네요도와주세요.. |
|
| └ |
답변입니다. |
anamso** |
2021-11-29 |
| 글제목 |
답변입니다. |
| 작성자 |
anamso** |
등록일 |
2021-11-29 |
|
루트 (r제곱+r'제곱) 하면 루트(2+2cos)이 나오는데용?!! 이건 cos^2(x)=(1+cosx)/2 이용해서 풀고.
맞아요. 두번하면 -cost-루트3sint 이고
이걸 한번 더 미분해서 sin-루트3cost=0 이러면 pi/3 , 4pi/3 가 나오고 이 구간의 이동길이(참 귀찮게 이것저것 물어보네요ㅠ) 인테그랄 |위치| 로 이동길이 구하면 되겠습니다.
왜 절대값을 하냐면, 위치는 -가 나올 수 있기 때문이고. 이동거리는 -를 무시하기 떄문이죠. 요 문제는 다소 물리학적인 수학문제입니다.
|
|
| 658 |
삼각함수 변환
|
sun44616** |
2021-11-25 |
| 글제목 |
삼각함수 변환 |
| 작성자 |
sun44616** |
등록일 |
2021-11-25 |
|
| root(2(1+sin)) 에서 루트 벗길수 있는 삼각함수 변환 공식 있을까요?? ㅠㅠ |
|
| └ |
답변입니다. |
anamso** |
2021-11-25 |
| 글제목 |
답변입니다. |
| 작성자 |
anamso** |
등록일 |
2021-11-25 |
|
cos^2(x)=(1+cos2x)/2 이지만 아쉽게도 sin은..
제가 아는 바로는 없습니다?!
혹시 저 값을 정확히 구해야 하나요?
그게 아니라면
무한급수로 대충 근사값으로 풀 순 있어요.
근데 2가 붙어 있는거보니, 근사값은 아닌거 같은데.
전체를 문제를 봐야겠는데요?
만약 저걸 벗기지 못하면 절대 못푸는 문제라면 저라면 걍 넘기겠습니다! |
|
| 657 |
기출문제 어디까지 풀어야 할까요?
|
gozjtm04** |
2021-11-25 |
| 글제목 |
기출문제 어디까지 풀어야 할까요? |
| 작성자 |
gozjtm04** |
등록일 |
2021-11-25 |
|
2018년도 까지 상위권 학교들 기출문제를 모두 풀었습니다. 한양대학교를 희망하고 있어서 2009년 까지 기출문제를 구했는데 답지가 없어서 고민입니다. 남은 시간동안 그냥 이전에 풀었던 기출문제들을 다시 풀어보거나 해설 답지가 있는 다른 학교들 문제를 푸는게 나을까요 아니면 그래도 한양대 기출을 모두 풀어보는게 좋을까요?
|
|
| └ |
그만그만! |
anamso** |
2021-11-25 |
| 글제목 |
그만그만! |
| 작성자 |
anamso** |
등록일 |
2021-11-25 |
|
5개년이면 충분합니다.
그 이상은, 출제교수님도 바뀌고 많이 달라져서요.
한양대가 목표면,
한양대 특유의 어려운 문제가 있어요.
이차형식! 요건 제가 수업 때 자세히 많이 다루진 않았어요. 요거 한번 정리하시구요.
그리고 미방!! 다른 학교는 미방은 쉬운데. 한양대는 연립미방까지도 알아야해요.
그리고 사실 한양대는 1차컷이 영어 수학 5:5라 영어점수도 중요하답니다.
실제로 한양대 붙는 친구들이 수학을 엄청 잘하는 친구들보다 영어가 이과 이상으로 잘하는 친구들이 좀 많았어요.
그래서 영어 신경을 좀 써야합니다 :)
한양대가 지겨우면 성균관대나 서강대 풀어보는 것이 좋겠습니다. |
|
| 656 |
편입수학을 제대로 공부하기 전에 앞서서
|
ipsin** |
2021-11-24 |
| 글제목 |
편입수학을 제대로 공부하기 전에 앞서서 |
| 작성자 |
ipsin** |
등록일 |
2021-11-24 |
|
지금 편입수학 기초 집합-삼각함수 인강을 듣고있는데 제가 도형에 굉장히 많이 무지하다는 것을 깨닫고 나서 중학교도형을 배워야 하는지 그리고 배운다면 어느 부분을 듣는 것이 좋을지 피드백을 얻고싶습니다. |
|
| └ |
답변입니다. |
anamso** |
2021-11-25 |
| 글제목 |
답변입니다. |
| 작성자 |
anamso** |
등록일 |
2021-11-25 |
|
그래프, 도형 등 '기하' 엄청나게 중요하죠. 수학이 딥해지면 딥해질수록 '기하' 해석을 이용해서 많이 풉니다. 공식을 무작정 외워서 하는 경우도 있지만 암기는 장기적으로 좋지 못한 학습이고, 한계가 있습니다.
그러면 이제와서 중학교 기초 도형부터 다시 해야하냐? 그건 또 안됩니다. 이 시험이 3년 과정이라면 그렇게 하는 게 당연하나.. 우리에겐 시간이 얼마 남지 않았고, 앞으로 진도 빼야할 게 너무나도 많아서 안됩니다. ㅠ
그냥 힘들더라도 수업을 계속 따라오시면 수업 때 한 그래프나 도형을 그때 그때 이해하고 이해가 안되는 부분은, 따로 찾아보는 식으로 학습해야 합니다.
참고로, 저는 다른 어떤 편입 선생님들보다 기하 해석을 많이하고 강조하는 편입니다. (엄청 잘하기도 하고?!) 제 수업 자체가 기하 풀이를 우선으로 하니, 공식보다 기하를 우선으로 하는 학습을 하고 싶으시면 그냥 제 수업을 쭉 들으시면서 따라오시면서, 부족한 부분은 찾아보거나, 질문을 하는 걸 추천 드립니다.
|
|
| 655 |
해공간의 차원 재질문
|
jjh04** |
2021-11-24 |
| 글제목 |
해공간의 차원 재질문 |
| 작성자 |
jjh04** |
등록일 |
2021-11-24 |
|
| 예를들어 2018년 한양대24번에 기하학적다중도=해공간의 차원으로 알고있습니다.
그래서 해공간의 차원(기하학적 다중도)는 n-rank로 알고있습니다.문제에 적용하면
(3,1,5) (0,2,6) (0,0,2)를 rank 연산하면 rank가 3이 나와서 핵차원이 0차원인줄 알았는데
그런데 문제에서는 n-rank(A-2I)를 적용해서 rank가 2가 나와서 핵차원이 1이 나옵니다. 여기서 좀 헷갈립니다. |
|
| └ |
답변입니다. |
anamso** |
2021-11-25 |
| 글제목 |
답변입니다. |
| 작성자 |
anamso** |
등록일 |
2021-11-25 |
|
일단, 정확히는 기하적 다중도 = 해공간의 차원이아닙니다! 아마 (A-람다I)X=0 에서 이걸 해공간의 차원으로 본 것인데. 여기서 AX=0 를 만족하는 X가 해공간이지 A-람다I는 다른 의미입니다. 물론 A-람다I의 해공간의 차원으로 볼 수도 있긴 합니다.
정리하자면,
대수적 다중도는, 문자 그대로 고유치 숫자가 중복된 횟수입니다. 3, 2, 2 이니 람다 2의 대수적 중복도는 2
기하적 다중도는 고유벡터 갯수입니다. 고유치가 같다고 꼭 고유벡터가 같지 않을 수도 있죠?! 물론 같은 확률이 높지만. 이 문제에서 람다 2의 고유벡터 갯수는 (A-람다I)X=0 구해보면 알겠지만 고유벡터 하나 밖에 안나옵니다. 고로 기하적 다중도 1
사실 여기서 대수적 중복도와 기하적 중복도가 같지 않으면 그 행렬을 고유벡터가 중복되어서 대각화 불능이란 말도 됩니다!
문제는 '최소' 다항식인데요. 이 파트는 한양대와 중앙대만 나와 따로 수업 때 정리를 안해드렸습니다. 이 내용은 해커스 교재 328p 조단행렬을 이해해야하는데 내용도 복잡하고 중요치 않아 스킵했습니다.
그래도 간단히 정리하자면
최소고유다항식의 차수는 조단행렬을 이용해 기존 차수보다 더 식을 줄여도 되는지를 체크합니다. 예를 들어, 주어진 문제의 다항식은 3차이지만 이걸 2차 혹은 1차까지 줄여도 되는지를 체크해보는거죠.
복잡한 스킬들이 있지만 간단히 줄이면,
1. 고유방정식을 구하고. 람다를 구한다. 2. 중복된 고유치를 체크
ex) 윗 문제는 3 2 2 나왔죠. 고유치 혼자인 3인 신경 쓸 필요 없고. 오직 람다 2만 신경씁니다.
3. 람다2의 대수적 중복도와 기하적 중복도가 같은지, 즉 대각화 가능인지 체크
4. 대각화 가능이면 람다 중복된 거 하나로 묶을 수 있어서 2차 방정식으로 줄일 수 있고 대각화 불능이면 람다를 하나로 묶을 수 없어서 그냥 그대로 3차 방정식을 사용
이 문제는 3차를 그냥 써야 하고, 이게 최소차수입니다.
묶는다는 의미는 조던행렬에서 나오는데, 이 정도에서 타협하는 걸 추천 드립니다. :) |
|
| 654 |
해공간의 차원
|
jjh04** |
2021-11-23 |
| 글제목 |
해공간의 차원 |
| 작성자 |
jjh04** |
등록일 |
2021-11-23 |
|
| 해공간의 차원은 n-rank라고 배웠는데 rank값구할 때 그냥 바로 행렬연산할 때도 있고
고유치를 빼주고 구할때도 있던데 어떻게 하는 건가요 좀 했갈립니다. |
|
| └ |
예를 볼 수 있을까요? |
anamso** |
2021-11-23 |
| 글제목 |
예를 볼 수 있을까요? |
| 작성자 |
anamso** |
등록일 |
2021-11-23 |
|
행렬연산은 행렬식인가요?
정방일 때 해공간이 0 일때 행렬식이 0이 아님으로 바로 구하는 경우는 있어요.
해공간이 0 이라며녀 n-rankA=0, rankA=n 이고 이 말은 랭크연산시 0 줄이 안생기고
0줄이 안생긴다는 말은 행렬식이 0이 아니란 말과 같은 말이기 때문에.
해공간 구할 때 고유치가 껴있는 문제 있었나용?! 문제 예시를 알려주면 확실히 설명 드릴게요! |
|
| 653 |
11번 질문입니다.
|
sslee74** |
2021-11-22 |
| 글제목 |
11번 질문입니다. |
| 작성자 |
sslee74** |
등록일 |
2021-11-22 |
|
11번을 not having to deal with the constraints of society를 보고 빈칸을 플러스로 예측하여 정답을 맞추긴 했었는데 앞에 because life is pointless(삶이 무의미하기 때문이다)부분이 liberate랑 어떻게 연결이 되는지 이해가 되지 않습니다ㅠㅠ
|
|
| └ |
답변^^ |
hj_jeo** |
2021-11-28 |
| 글제목 |
답변^^ |
| 작성자 |
hj_jeo** |
등록일 |
2021-11-28 |
|
yet앞쪽에서 삶에는 목적이나 본질적 가치가 없다는 믿음이 제한적인 것처럼 보일 수 있다고 했는데 yet으로 흐름이 바뀌었어요. 그렇다면 삶에는 목적이 없으면 우리를 제한한다기 보단 오히려 자유롭게 해줄 수 있다는 말이 흘러나와야 겠죠? 그 말을 삶에는 의미가 없다 라는말로 대신했다고 생각하면 이해될꺼에요 내용파악을 이렇게 하려는 자세가 아주 좋네요^^ 남은 기간도 이렇게 꼼꼼이 공부하세요^^
|
|
| 652 |
선적분 출제예상문제 471p 22번 질문있습니다
|
kms9904** |
2021-11-22 |
| 글제목 |
선적분 출제예상문제 471p 22번 질문있습니다 |
| 작성자 |
kms9904** |
등록일 |
2021-11-22 |
|
문제풀이 부탁드립니닫....ㅠㅠㅠㅠㅠ |
|
| └ |
풀이! |
anamso** |
2021-11-23 |
| 글제목 |
풀이! |
| 작성자 |
anamso** |
등록일 |
2021-11-23 |
|
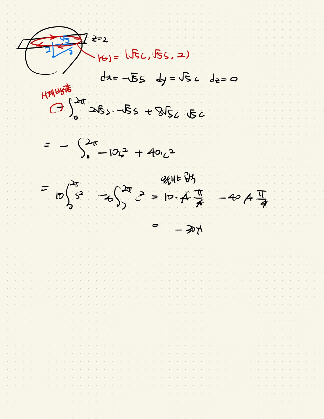
풀이 중 궁금한게 왜 시계방향이냐인데요.
사실 여기엔 굉장히 심오한 의미가 있습니다.
제가 그린정리 잠깐 설명할 때, 사실 경로를 분해에서 빙글빙글 돌리다보니 나온게 그린정리라고 한 거 기억나시나요??
저 구 z=2 밑부분(윗부분 아닙니다.) 밑부분, 구의 밑 겉부분을 시계방향으로 돌리시면 테두리 쪽은 시계방향이 됩니다.
반대로 평상시 윗부분일 때는 반시계가 되지요.
어렵죠? 사실 이렇게 아랫부분으로 시계방향으로 나온 문제는 거의 없고 이 문제는 이해해서 맞춘 학생이 없습니다.
너무 깊게 알려고 하지 마시고 이렇게 정리할게요.
남은 면이 윗부분이면 반시계. 남은 면이 아래 부분이면 시계.

|
|
| 651 |
서울과기대 2020학년도 10번
|
sun44616** |
2021-11-22 |
| 글제목 |
서울과기대 2020학년도 10번 |
| 작성자 |
sun44616** |
등록일 |
2021-11-22 |
|
| 문제를 적을수 없어서 죄송합니다ㅠ 10번문제 식을 구면좌표계로 바꿔서 풀려고 하는데 Z부분이랑 로 부분을 어떻게 처리해야할지 모르겠습니다 |
|
| └ |
답변입니다. |
anamso** |
2021-11-22 |
| 글제목 |
답변입니다. |
| 작성자 |
anamso** |
등록일 |
2021-11-22 |
|
삼중적분!의 핵심은 3차원면을 그리는게 핵심이죠
다행히 주어진 범위를 보니 구이고, 식도 제곱제곱제곱=로제곱이라, 구면좌표계를 써야한다는 힌트가 잔뜩있네요.
이제 그림만 잘 그리면 되는데
구의 그림자, 밑면적은 반지름인 1인 원이죠?
하지만 구의 반지름은 2입니다. 어디서 끊긴다는거죠.
힌트를 루트(3(x^2+y^2) 인데요. 이건 사실 기울기 루트3인 직선이나 다름없죠.
기울기 루트3=탄젠트세타, 세타 pi/3 !! 1:2:루트3 !! 다행히도 구의 반지름 2와 비가 딱 맞네여.
아래 그림 참조. 주의점은 파이는 0~pi/3가 아닌 0~pi/6 입니다.

|
|
| 650 |
2018 성균관대 44번
|
jjh04** |
2021-11-20 |
| 글제목 |
2018 성균관대 44번 |
| 작성자 |
jjh04** |
등록일 |
2021-11-20 |
|
| ln(x+1)을 적분하는 것은 알겠는데 적분을 왜 정적분으로 했는지 모르겠습니다
여태까지 무한급수 합은 미분하거나 적분해서 주어진 급수형태로 만든후 숫자를 넣어서 계산하는 식이었는데 이거는 0부터1까지 적분하래서 좀 모르겠습니다. |
|
| └ |
답변입니다. |
anamso** |
2021-11-22 |
| 글제목 |
답변입니다. |
| 작성자 |
anamso** |
등록일 |
2021-11-22 |
|
적분 0~1은 결론적인 이야기고 무시해요!! 아랫처럼 ln(1+x) 의 급수표현을 유추해서 풀어야겠습니다.

|
|