| 739 |
중앙대 시험
|
jjh04** |
2022-01-07 |
| 글제목 |
중앙대 시험 |
| 작성자 |
jjh04** |
등록일 |
2022-01-07 |
|
중앙대시험볼때 미방먼저풀고 1~12번문제 푸는게 좋을까요 아니면 1~12번문제를 먼저푸는게 좋을까요..??
기출문제 중적분유형 1번문제 로범위를 어떻게 해야할지 모르겠습니다.
+선형대수 유형 5번 잘모르겠습니다.
그리고 선적분유형 2번문제 답이 잘못 체크되어있는것 같습니다!! |
|
| └ |
답변입니다. |
anamso** |
2022-01-07 |
| 글제목 |
답변입니다. |
| 작성자 |
anamso** |
등록일 |
2022-01-07 |
|
보통 1번부터 푸나, 미방을 확실하게 풀 자신있으면 미방부터 푸는 것도 좋은 전략 같습니다. 어차피 미방이란 건 정해진 풀이 정해진 풀이시간이니. 이거 풀고 앞에 문제 보는 것도 좋은 전략입니다만 연습을 미리 해야할 듯합니다.
선형대수5번은 고유치값을 구하면 되는데, 이게 블록행렬인 걸 빨리 캐치하는게 포인트입니다. 블록행렬의 행렬식은 주대각블록 |A||B|이죠. 여기에 -람다만 추가해야겠습니다. 보통 블록행렬의 행렬식은 해봤는데 고유치구할 때는 생소해서 당황해서 많이 틀린 문제인데요. 실제 시험장에서 이렇게 살짝 비꼰 문제를 눈 크게 뜨고 잘 캐치해야겠습니다.
답 실수네요 ㅠ 3번이네요.


|
|
| 738 |
역함수의 미분법
|
ipsin** |
2022-01-07 |
| 글제목 |
역함수의 미분법 |
| 작성자 |
ipsin** |
등록일 |
2022-01-07 |
|
첫번째 사진처럼 저렇게 혼란스러우면서도 동시에 두번째 세번째처럼 생각하면 두번째 세번째가 맞는 것 같고 결론은 첫번째 사진도 그럴듯해보이는 말인 거 같아서 헷갈리네요 


|
|
| └ |
답변입니다. |
anamso** |
2022-01-07 |
| 글제목 |
답변입니다. |
| 작성자 |
anamso** |
등록일 |
2022-01-07 |
|
읽고 있는 제가 어질어질하네요 ㅠ ㅋㅋㅋ 이게 수학적인 부분이 아니라 언어적 표현와 논리 때문에 헷갈리는 거 같은데요.
sin^(-1)x=y 를 미분 못한다는 말은 전에도 설명했듯이, 아직 우리가 공식을 모른다는 말이고, 공식을 이제부터 알았다면 바로 1/root(1-x^2)을 하면 되고 이제 안다고 하면 되겠습니다.
그리고 원래 함수라는 말도, 우리가 알고 있는 y=sinx의 형태를 말한 겁니다. 이건 미분하면 cosx 이라는 공식을 우리가 알고 있기 때문에 바꺼주는거죠.
역함수라는 건,
y=f(x) 을 y=x대칭을 해서 y=f^(-1)(x) 로 표현한건데 그래서 y=sinx의 역함수를 y=sin^(-1)x 입니다. 근데 이 표현보다 그냥 y=x 대칭인 표현이 더 쓰기 좋으니 x=siny 를 이용하는거고. 이거 자체도 역함수 맞습니다. 단지 y= 표현이 아닌게 아직 어색할 뿐이지요.
아크사인 미분한건 풀이 맞구요. 이제는 해봤으니, 본격적인 편입수학에서는 그냥 sin역함수는 1/root1-x제곱으로 외워서 쓰면 되겠습니다.
|
|
| 737 |
중앙대 자료
|
jjh04** |
2022-01-07 |
| 글제목 |
중앙대 자료 |
| 작성자 |
jjh04** |
등록일 |
2022-01-07 |
|
중앙대 자료 올려주신다 하셔서 드라이브에 들어가 봤는데 중앙대 자료가 기출분석인가요??? |
|
| └ |
맞습니다. |
anamso** |
2022-01-07 |
| 글제목 |
맞습니다. |
| 작성자 |
anamso** |
등록일 |
2022-01-07 |
|
넵
중앙대는 1~20번까지가 우리가 배운 파트이고 21~30번까지 복소함수파트인데 복소함수는 그냥 버린다고 생각하고 1시간에 1~20번 문제에 집중하는게 포인트입니다.
중앙대는
선적분은, 그린정리와 스톡스를 이용한 풀이를 선호하고.
선형대수는, 보통 AX 계산을 물어보는데 여기서 X를 문제에 주어진 v1, v2 등의 실수배 즉, X=c1v1+c2v2 로 표현후 AX=c1Av1+c2Av2 로 구하는 문제가 자주 나옵니다. 자료에 있는 점을 직선축으로 돌리는 건 굳이 챙기지마세요.
최대최소 문제는 라그랑지를 써도 되지만, x=y 혹은 x=cos, y=sin 으로 구할 수 있는 풀이가 가능하구요. 대신 자료에 있는 cos, sin 이용시 삼각함수를 미분해야합니다. 그래도 삼각함수를 잘 다룰 줄 안다면 라그랑지보다 이게 더 빠른 풀이입니다. 또 마지막 문제는, 기하성을 이용한 원과 평면 거리공식으로 풀수 있습니다. 괜히 걱정되면 그냥 라그랑지를 풀면 되겠습니다.
복소함수 중 공식을 외워서 풀 수 있는 간단한 문제가 있는데 그게 푸리에적분입니다. 다행히 기본식은 주어지고 A=인테그랄f(x)cosax, B=인테그랄f(x)sinax 만 외워가시면 맞출 수 있습니다.
풀어보시고 질문 주세요. 답변 빨리 달아드릴게요. :)
PS: 중앙대는 기본 문제가 살짝 비튼 문제가 자주 나와요. 그래서 그 살짝 비튼 걸 캐치하는게 키포인트이고. 많은 문제를 풀기보다 한문제 한문제 실수없이 정확히 푸는게 핵심입니다. 그리고 찍고 기도!!! |
|
| 736 |
구분독해 이해 안됨
|
jungmin** |
2022-01-06 |
| 글제목 |
구분독해 이해 안됨 |
| 작성자 |
jungmin** |
등록일 |
2022-01-06 |
|
형용사 수식이 아닌 이유가 궁굼해요 
|
|
| └ |
답변입니다 |
jk6** |
2022-01-08 |
| 글제목 |
답변입니다 |
| 작성자 |
jk6** |
등록일 |
2022-01-08 |
|
먼저, 칭찬부터 합니다. 구문 독해 공부를 잘 하고 있군요. 이 질문은 구문 수업을 제대로 하고 있어야 할 수 있는 질문이라 생각해요. 즉, 다각도로 문장을 분석하는 훈련을 하고 있다는 거겠지요?
답변 들어갑니다. 구문적으로는 민지학생처럼 생각해도 맞습니다. reduced가 과거분사로서 library를 전치 수식할 수 있지요. 그리고, 구문적으로 제가 설명한 것도 이해하죠? have p.p로 서술어가 될 수도 있다는 것. 자, 그럼 구문적으로는 둘 다 되니까, 맥락적으로도 살펴 봅시다. 주어를 보면 인터넷과 이러닝입니다. 인터넷이 도서관을 사용할 수 있을까요? 이상하죠? 그렇지만 인터넷이 도서관 사용을 줄인다는 것은 말이 되지요? 이런 식으로 구문을 따질 때는, 맥락도 함께 생각해 주는 것이 더 정확한 해석을 가능하게 만들어 줍니다.
계속해서 이렇게 공부하시면 금방 실력이 늘거라 확신합니다. 열공하세요.
|
|
| 735 |
2시간동안 곰곰히 느긋하게 생각해 본 결과
|
ipsin** |
2022-01-05 |
| 글제목 |
2시간동안 곰곰히 느긋하게 생각해 본 결과 |
| 작성자 |
ipsin** |
등록일 |
2022-01-05 |
|
혼자로는 해결이 되지않을 것 같아서 질문을 드리게 되었습니다. 개인적으로 교수님의 인강개념수업에서 90%이상 이해를 할 수 있다고 자부했는데 이 문제를 해결하는 과정 속에서 제가 잘못된 개념으로 접근했는지에 대한 혼란과 아니면 제가 모르는 개념이 있어서 해결이 되지않는건지 구분이 가지를 않습니다. 다시 처음부터 개념을 복습했는데도 다른 문제는 다 풀리는데 이 문제만 안 풀립니다. 너무 급해서 이해못한게 아니라 천천히 생각했는데도 이해가 가지않아서 말씀드립니다. 감사합니다. 

|
|
| └ |
답변입니다. |
anamso** |
2022-01-05 |
| 글제목 |
답변입니다. |
| 작성자 |
anamso** |
등록일 |
2022-01-05 |
|
좋은 질문입니다.
일단 x*sin1/x 이 왜 0 인지는
이걸 자세히 증명하려면 번잡한 과정이 필요해요. 그래서 저는 직관적으로 바로 설명했던거데요.
일단 x는 0으로 가죠? 0.0000000000000000000001 쯤 될겁니다.
sin1/x 에서 1/x=1/0 이니 무한대입니다. 엄청 크죠.
하지만!! sin무한대입니다. 알다시피 sin 커봤자 1 작아봤자 -1 입니다.
1/x은 크지만 sin이 씌어있기에 1~-1로 제한되죠.
자 그럼, 0.000000000000000000000000000000001 * 1~-1 은 얼마일가요?
당연 압도적으로 작은 숫자가 붙어 0이 되겠죠.
그리고 f`(x) 를 쓰는 방법은요 x에 집어넣을 함수가 존재해야 합니다.
문제에서 x=0 이 아닌 함수만 정의되어있습니다. 그래서 f`(0) 을 구하기 위해서는 x=0 이 아닌 함수를 미분한
f`(x) 를 구하고 거기에 x=0 을 집어넣으면 애초에 원칙을 무시한 풀이입니다.
가끔 같은 값이 나오는 경우는 우연이고, 대부분 그렇게 풀 수 없게 출제가 만들어놓습니다.
그래서 x=0 집어넣기 힘들기 떄문에 x->0 인 극한을 이용하는 거죠.
PS: 저번에도 말했다시피 더 딥한 내용은 본 강의에서 하는데 그 때 지금 가지고 있는 의문점들이 대부분 풀릴 거에요.
|
|
| 734 |
2020 성대 기출 12번 질문드립니다.
|
kms9904** |
2022-01-04 |
| 글제목 |
2020 성대 기출 12번 질문드립니다. |
| 작성자 |
kms9904** |
등록일 |
2022-01-04 |
|

표준행렬이 무엇인지 대체...
|
|
| └ |
답변입니다. |
anamso** |
2022-01-05 |
| 글제목 |
답변입니다. |
| 작성자 |
anamso** |
등록일 |
2022-01-05 |
|
이건 20성대에서 제가 풀었던 영상을 보는게 더 좋아요.
그래도 다시 말로 설명하자면
그림 보니 뭘 구하는건지 파악한 거 같은데요.
보통 어떤 점을 주고 직교사영 좌표를 구하라고 하는데
여기서 어떤 점을 아예 안주고 행렬을 물어봤쪼?
그럼 어떤 점을 그냥 a, b, c, d 로 두고 구하시면 어떤 식이 나올거에요.
예를 들어, (a-b, b, c-d, d) 가 나왔다고 볼게요.
이걸 행렬표현을 바꿀 수 있어요. A(a,b,c,d)=(a-b, b, c-d, d)
이건 선형사상에서 많이 했죠? 그 행렬 A는 (1-1 0 0 / 0 1 0 0 / 0 0 1 -1/ 0 0 0 1) 이죠
바로 문제에서 물어본 표준행렬입니다.
다만! 이게 공식이 있어요. 그런데... 이 문제는 성대에서 처음으로 나왔어요. 언제 한번 나올지 모르는 이 문제를
복잡한 공식을 미리 외우고 대비하는 건 굉장히 비효율적입니다.
그래서 저처럼 풀 거 아니면 스킵 하는 걸 추천합니다. 실제로 대다수 학생들이 틀린 문제입니다. :) |
|
| └ |
답변입니다. |
anamso** |
2022-01-05 |
| 글제목 |
답변입니다. |
| 작성자 |
anamso** |
등록일 |
2022-01-05 |
|
이건 20성대에서 제가 풀었던 영상을 보는게 더 좋아요.
그래도 다시 말로 설명하자면
그림 보니 뭘 구하는건지 파악한 거 같은데요.
보통 어떤 점을 주고 직교사영 좌표를 구하라고 하는데
여기서 어떤 점을 아예 안주고 행렬을 물어봤쪼?
그럼 어떤 점을 그냥 a, b, c, d 로 두고 구하시면 어떤 식이 나올거에요.
예를 들어, (a-b, b, c-d, d) 가 나왔다고 볼게요.
이걸 행렬표현을 바꿀 수 있어요. A(a,b,c,d)=(a-b, b, c-d, d)
이건 선형사상에서 많이 했죠? 그 행렬 A는 (1-1 0 0 / 0 1 0 0 / 0 0 1 -1/ 0 0 0 1) 이죠
바로 문제에서 물어본 표준행렬입니다.
다만! 이게 공식이 있어요. 그런데... 이 문제는 성대에서 처음으로 나왔어요. 언제 한번 나올지 모르는 이 문제를
복잡한 공식을 미리 외우고 대비하는 건 굉장히 비효율적입니다.
그래서 저처럼 풀 거 아니면 스킵 하는 걸 추천합니다. 실제로 대다수 학생들이 틀린 문제입니다. :) |
|
| 733 |
2020 성대 기출 7번 문제 질문드립니다
|
kms9904** |
2022-01-04 |
| 글제목 |
2020 성대 기출 7번 문제 질문드립니다 |
| 작성자 |
kms9904** |
등록일 |
2022-01-04 |
|

어떻게 접근해야할지 아에 모르겠습니다....ㅠㅠㅠㅠㅠㅠ
|
|
| └ |
답변입니다. |
anamso** |
2022-01-06 |
| 글제목 |
답변입니다. |
| 작성자 |
anamso** |
등록일 |
2022-01-06 |
|
이 질문을 지나쳤네요.
근데 이것도, 성대20 기출에 자세히 풀어놨는데 ㅠ
일단 행렬 A의 열공간 (1,1,0,-1),(2,2,-1,-1),(0,1,1,0) 을 랭크를 해보면
1 1 0 -1 0 0 -1 1 0 1 1 0
이고 랭크3이네요. 그러면 얘네들은 3차원 공간을 만들어내죠?
근데 우리는 4차원 속 3차원은 그릴 수가 없습니다. (우리는 3차원 속 존재니까!)
하지만!! 이걸 그냥 3차원 속 평면처럼 그려보죠!
1차 직선은 ax+by=0 2차 평면 방정식은 ax+by+cz=0 이죠? 마찬가지로 3차 평면도 ax+by+cz+dw=0 형식을 따릅니다.
이 3차평면 x,y,z,w 에 위에서 구한 벡터
1 1 0 -1 0 0 -1 1 0 1 1 0
를 집어넣고 연립하면 a,b,c,d 값이 나옵니다.
그리고?
점과 평면의 공식을 쓰면 되겠습니다 :)
3a-4b+3c+1/ 루트 (a제곱+b제곱+c제곱+w제곱)
참고로, 이 문제의 다른 편입해설은 어떻게든 공식으로 쎼려 박았지만 그건 결론적인 풀이고. 사실 공간과 차원에 대한 깊은 이해가 필요한 문제입니다. 이해가 된다면 위에처럼 쉽게 풀리는 문제지만 사실 일반 편입생은 틀리는 게 당연한 문제이지요.
|
|
| 732 |
2021 세종대 기출 14번 질문드립니다
|
kms9904** |
2022-01-02 |
| 글제목 |
2021 세종대 기출 14번 질문드립니다 |
| 작성자 |
kms9904** |
등록일 |
2022-01-02 |
|

아크싸인이 기함수니까 마이너스 밖으로 나오면서 아크싸인싸인은 엑스로 바뀐뒤 파이부터 2/5파이까지 -x 적분으로 풀었는데 해설에는 범위를 나눠서 풀었더라구여.... 왜 제가 한 방식이 안되는지 궁금합니다!
|
|
| └ |
아크싸인 조심 |
anamso** |
2022-01-03 |
| 글제목 |
아크싸인 조심 |
| 작성자 |
anamso** |
등록일 |
2022-01-03 |
|
일단 잘했어요!! 접근법은 좋습니다.
BUT!! sin 역함수 자체가 건드리기 힘든 애에요. 원래 역함수가 불가능한 sin을 범위 제한을 걸어서 역을 취해서 만든거라서요. 다른 역함수처럼 마음대로 가지고 놀 수가 없어요.
일반 해설에선 이걸 또 억지로 풀어냈던데요... 그런 풀이를 만들어낸 분들도 참 대단합니다만 현실성 없는 풀이죠? 그나마 아래 제 풀이가 현실성 있는 풀이에요. 참고해주세요.

|
|
| 731 |
세종대 20 기출 15번 질문드립니다.
|
kms9904** |
2022-01-01 |
| 글제목 |
세종대 20 기출 15번 질문드립니다. |
| 작성자 |
kms9904** |
등록일 |
2022-01-01 |
|
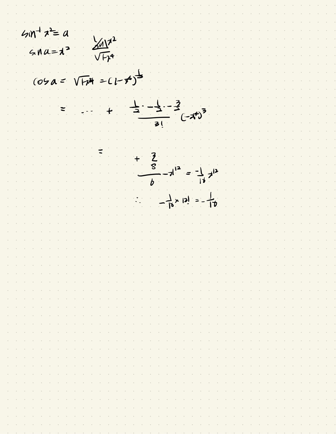
선생님 풀이 하신대로 역함수 이용해서 루트 1-x제곱 까지 알겠고 문제에서 구하라는게 12승의 계수라는 것도 알겠는데 6! 분의 n 부터 n-5 까지 의 곱에 2/1을 대입하면 답이 안나옵니당.... |
|
| └ |
답변입니다. |
anamso** |
2022-01-02 |
| 글제목 |
답변입니다. |
| 작성자 |
anamso** |
등록일 |
2022-01-02 |
|
아래 참고 
|
|
| 730 |
12강 28:59 내용 중에
|
ipsin** |
2022-01-01 |
| 글제목 |
12강 28:59 내용 중에 |
| 작성자 |
ipsin** |
등록일 |
2022-01-01 |
|

|
|
| └ |
평균값 정리 |
anamso** |
2022-01-02 |
| 글제목 |
평균값 정리 |
| 작성자 |
anamso** |
등록일 |
2022-01-02 |
|
평균값 정리 f(b)-f(a)/b-a=f`(c) 입니다. 여기서 arcsinx/x = f`(c) 이니 arcsinx 일 미분해야 하구요.
그냥 정의 자체가 이래서 arcsinx/x 를 미분할 이유는 없습니다. |
|
| 729 |
질문드립니다.
|
kgh992** |
2022-01-01 |
| 글제목 |
질문드립니다. |
| 작성자 |
kgh992** |
등록일 |
2022-01-01 |
|
인테그랄 0~2PI 까지 COS^4(X/3) 은 월리스공식이 불가한가요? X일때만가능한가요? 질문 2 작년 명지대 12번은 F(X)가 인테그랄 아크사인엑스 디엑스인걸 눈치채지못하면 어떻게 푸나요 그리고 14번 및 25번도 어떻게 접근해야하는지 잘모르겟어요
|
|
| └ |
답변입니다. |
anamso** |
2022-01-01 |
| 글제목 |
답변입니다. |
| 작성자 |
anamso** |
등록일 |
2022-01-01 |
|
1. x여야 합니다. x/3 = t 을 치환하는 방법이 있는데. 이러면 범위가 2/3pi 로 pi/2 배수가 안나와서 월리스는 쓸 수 없겠습니다.
2. 문제에 f, f'''가 있고 주어진 조건대로 따라가면 f''=1/루트1-x^2 이고 이걸 적분하면 f'=arcsin 인데 이건 눈치의 문제가 아니라 주어진 식을 이용한 풀이라고 보여집니다.
3. 14번은 다른 수험생들도 접근이 힘든 문제니 너무 걱정마시고, 시험장에서 바로 안보이면 그냥 스킵하는 걸 추천합니다. 이걸 푼다면 일단 주어진 행렬부터 계산해야겠죠? 그러면 a+x=2, b+x=1, y+a^2=a, y+ab=0 식이 4개고 미지수도 4개니 이제부터 풀어주면 됩니다.
a+x=2, b+x=1 에서 a-b=1 을 알았고 y+a^2=a 에서 y=-(a-1/2)^2+1/4 이니 y 최대값은 a=1/2 긜고 b=1/2 이 되겟네요.
4. 난이도 좀 있는 문제네요. 문제에 x^2+y^2 이니 극좌표로 바꾼 중적분인걸 캐치해야하구요. 주어진 그림을 그리면 중심이 (1,1)이고 반지름1인 원의 외부와 y=x 아래죠?
세타야 y=x 이니 pi/4 까지인데 문제는 r 입니다.
r=은 원의 바깥과 x=2 안쪽입니다. r=acos세타 기억나시죠? r=2sin세타 그리고 x=2 에서 x=rcos 이니 rcos=2 고로 r=2sec
인테그랄 0~ pi/4 인테그랄 2sin ~ 2sec 적분 잡으시면 되겠씁니다.
|
|
| 728 |
범위구간질문이요.
|
ipsin** |
2021-12-30 |
| 글제목 |
범위구간질문이요. |
| 작성자 |
ipsin** |
등록일 |
2021-12-30 |
|


|
|
| └ |
답변입니다. |
anamso** |
2022-01-01 |
| 글제목 |
답변입니다. |
| 작성자 |
anamso** |
등록일 |
2022-01-01 |
|
0에서 미분값이 정의가 안되는거지
원래 주어진 함수에서 0이 정의 안되는 건 아니기 때문에 조건 [0,4]에는 전혀 문제가 없습니다.
그리고 정수란 말도 없으니 1이라고 단정 지을 수도 없구요.
제대로 구하려면 미분해서 부호가 바뀌는 포인트를 잡는건데
편입문제는 보기가 허술하게 주어지기 때문에 그냥 보기 조건을 주어진 함수식에 집어넣어서 가장 작은값 찾으면 됩니다. |
|
| 727 |
커리큘럼 질문있습니다.
|
ipsin** |
2021-12-30 |
| 글제목 |
커리큘럼 질문있습니다. |
| 작성자 |
ipsin** |
등록일 |
2021-12-30 |
|
2023년 편입준비를 하고 있습니다. 수학실력은 고3때 이과였지만 문과수학으로 2등급정도되는 성적이었는데 군대갔다오고 개인사정상 1년 더 쉬다보니까 거의 다 까먹어서 아무것도 모른다는 상태로 임하는 중입니다. 2등급정도였지만 실상 수학의 기본베이스는 없었습니다. 편수와 편영으로 지원할 수 있는 대학교가 무수히 많지만 저는 가고 싶은 대학교가 중앙대라서 그거 하나만 바라보고 편입수학을 공부중인데 한 학교만 준비하면 위험성이 크다고 하는데.. 다른 학교를 합격해도 제대로 못 다닐 것 같습니다. 그래서 수학만 지금부터 파고 있습니다. 커리큘럼을 보니까 2023 최신대비 강의라고 적혀있는데 강의는 다 있더라구요? 그건 2023년대비가 아니라 전년대비하는 강의가 아닌지 궁금합니다. 그리고 교재는 2023년 강의나 2022년 강의나 동일한가요? 동일하다면 지금 사려고 합니다. 또, 교수님 커리큘럼과정에서 다른 상위권 학교 모의고사 인강은 있는데 중대는 없없던 것 같습니다. 제가 못찾는건지는 모르겠는데 원래안하시는건지 아니면 여유가 없어서 못하신건지 궁금합니다. 마지막으로, 커리큘럼만 제대로 따라가도 충분히 합격할 수 있을지 그거에 대한 불안감이 매우 큽니다. 지금 인강을 보면서 공부하고 있는데 강의만 듣고 바로 그 다음 인강으로 넘어가는게 아니라 인강 한강씩 다 보고나서 복기하고 문제를 풀면서 왜 이 문제에 이렇게 적용해서 풀게되었을까라고 나름의 논리를 대면서 풀고는 있는데 교수님이 찍어주시는 문제위주로 하라고 하는데 실상 인강에서 풀어주시는 문제를 보면 많은 문제까지는 아니라서 불안하기도 합니다. 글이 참 두서없게 작성했네요 |
|
| └ |
긴 답변! |
anamso** |
2021-12-30 |
| 글제목 |
긴 답변! |
| 작성자 |
anamso** |
등록일 |
2021-12-30 |
|
오늘 건대 시험이라 한가로워 답글을 길게 달아봐요. 1. 중앙대만?
꼭 중앙대인 이유가 있을까요. 수업 중 농담삼아, 중앙대만 꼭 가고 싶은 사람 없지? 다른 좋은 학교도 많은데, 라고 하는데. 그 이유는 중앙대 시험 문제는 다른 학교랑 많이 달라요. 편입수학, 안그래도 양이 많고 적응하기 힘든 구성인데 중앙대는 출제자 멱살 잡고 싶을 정도로 욕이 나와요. 유일하게 복소함수가 고정적으로 나오고, 이 내용 때문에 다른 학교보다 +1개월 더 투자해야합니다. 게다가 30 문제 중 많이 풀어야 20개. 나머지 10문제 이상을 잘 `찍어서` 붙는 비합리적인 문제로 구성 되어있죠. 아무튼 중앙대만 준비하는 건 변수가 많아 비추입니다.
2. 지금 업로드 강의가 2023 대비라 나와있는데 새로 업로드는 되긴 하는데 아무래도 녹화 후 작업으로 조금 느려서 미리 올라간 듯 합니다. 어차피 기본 개념 강의 내용은 크게 달라지지 않을 거고, 기출강의 정도만 유의미하게 다를거에요. 참고루 제 인강은 현장이 아닌 스튜디오 강의용으로 따로 촬영하기 때문에 업로드가 좀 더 느립니다.
3. 그냥 복소함수=중앙대라고 생각하면 되겠습니다. 중앙대를 꼭 가고 싶은 친구들만 다른 진도 다 끝내고 11~12월에 들으면 됩니다.
4. 본 강의에서 충분히 많은 문제를 푸니 걱정할 필요없습니다. 다만, 제 수업 스타일이 공식보다는 그래프와 개념 이해 위주로 하고 있어요. 또, 지금까지 수학을 암기식으로 공부했고 시험으로 역전하고 싶다면 제 잔소리(?)도 받아 들여야 합니다.
PS: 최근 질문 내용이나 상담 글을 보면 걱정많고 꼼꼼한 성향인 거 같은데 일단 시작은 좋은 자세에요. 하지만 장기적으로 공부할 때 불안감과 꼼꼼함은 독이 되는 경우가 많아요. 여러 이유가 있지만, 특히 편입수학은 고등수학+대학수학이라 난이도 자체가 많이 어렵고 사실상 `수능 1등급 베이스 + SKY급 대수학 이해력` 정도가 아니면 사실상 전부 이해하면서 접근 못해요. 그래서 100% 중 80%만 챙겨가도 엄청 잘하는 거죠. (공지글 중 `찍기` 참고..) 아무튼 아직 시간이 많으니 공부할 때만큼은. 좀 더 여유롭고 쿨한 마인드로 공부를 시작해보기를 조언해봅니다.
|
|
| 726 |
너무 늦은것 같지만 내일 저녁까지 답변주시길 바ㅏㄹ면서...
|
kms9904** |
2021-12-29 |
| 글제목 |
너무 늦은것 같지만 내일 저녁까지 답변주시길 바ㅏㄹ면서... |
| 작성자 |
kms9904** |
등록일 |
2021-12-29 |
|
파이널 자료에 올려주신 건대 기출 분석 문제중 16번 17번 질문 드립니다.
16번은 세타는 0과2파이 화이는 0과 3분의파이로 잡을 수 있었지만 로가 도무지 안잡힙니다....
17번은 그림은 알맞게 그린거 같은데 어디까지 적분해서 뭐랑 빼 야 할지 잘 모르겠습니다.
|
|
| └ |
늦었나요? |
anamso** |
2021-12-29 |
| 글제목 |
늦었나요? |
| 작성자 |
anamso** |
등록일 |
2021-12-29 |
|
17번은 정적분으로 풀면 안되고 높이1인 부피를 가정해서 야코비안으로 풀어줘야 하는 아이디어 문제입니다 :)
자세한 풀이는 아래 이미지참고!
PS: 건대 시험 1시간이니 영어20분 풀고 40분동안 문제 풀 수 있는거 골라서 빠르게 풀기! 괜히 다 건들이다 망함


|
|
| 725 |
교수님 어제 질문드린 내용에 추가질문이 있습니다.
|
ipsin** |
2021-12-28 |
| 글제목 |
교수님 어제 질문드린 내용에 추가질문이 있습니다. |
| 작성자 |
ipsin** |
등록일 |
2021-12-28 |
|
교수님이 답변해주신 내용을 보고 바로 이해가 갔는데 여기에서 의문점이 있습니다. 바로 dy/dx인데요. (lnx)'=(sinx)'에서 좌항에는 (y'/y)(dy/dx)이고 우항에는 cosx가 나와서 (y'/y)(dy/dx)=cosx 이렇게 나와야 되는데 왜 그게 아니라 y'/y=cosx 이렇게 dy/dx없이 나왔을까요? 이 부분을 모르겠습니다. 
|
|
| └ |
답변입니다! |
anamso** |
2021-12-29 |
| 글제목 |
답변입니다! |
| 작성자 |
anamso** |
등록일 |
2021-12-29 |
|
dy/dx 가 바로 y' 입니다. 표기법이 같아요 :)
d(lny)/dy = 1/y 이고 dy/dx = y' 이라 y'/y 로 표현된겁니다.
아직 수학적 표현과 연산이 익숙하지 않아서 그래요. 천천히 차츰차츰 적응 될 겁니다 :)
사실 기초미적분은 고등학교 복습차원에서 한 강의라, 더 디테일한 수업은 본 강의에서 시작하기 때문에 그 때 더 자세히 이해할 수 있을거에요. |
|