| 694 |
2017 성대 기출 41번 질문드립니다
|
kms9904** |
2021-12-17 |
| 글제목 |
2017 성대 기출 41번 질문드립니다 |
| 작성자 |
kms9904** |
등록일 |
2021-12-17 |
|

선생님 도움이 절실히 필요합니다.... |
|
| └ |
답변입니다!! |
anamso** |
2021-12-17 |
| 글제목 |
답변입니다!! |
| 작성자 |
anamso** |
등록일 |
2021-12-17 |
|
솔직히 이 문제는, 실전에서는 못 푸신다고 보면 됩니다.

|
|
| 693 |
20년도 중앙대 23번 문제 질문드립니다.
|
haneol** |
2021-12-16 |
| 글제목 |
20년도 중앙대 23번 문제 질문드립니다. |
| 작성자 |
haneol** |
등록일 |
2021-12-16 |
|
기본식에서 1/pi가 빠져 나와있으니 A(α)와 B(α)를 구할 때 1/pi 없이 계산하여 풀었는데, 적분 구간이 -무한대~무한대인 경우 계산식에 1/pi를 포함하여 계산하고 0~무한대인경우 추가로 2를 곱해야 하는게 아닌가 궁금하여 질문드립니다! x>0라는 전제조건 때문에 1/pi로 계산하는건가요?
|
|
| └ |
넵!! |
anamso** |
2021-12-17 |
| 글제목 |
넵!! |
| 작성자 |
anamso** |
등록일 |
2021-12-17 |
|
평소 쓰던 식이랑 조금 모양이 다른데요.
말한 것처럼 1/pi도 뺏고, 무엇보다 전 구간이 아닌 0부터 무한대입니다.
전 구간이라면 2를 당연히 곱해야하지만
주어진 식이 0부터라 곱할 필요 없이 그냥 그 자체로 계산해야겠습니다!
|
|
| 692 |
final 강의
|
jjh04** |
2021-12-16 |
| 글제목 |
final 강의 |
| 작성자 |
jjh04** |
등록일 |
2021-12-16 |
|
혹시 final강의는 언제올라올 예정인가요? 가천대랑 건대 빼고는 다 1월달이라서 이번달에만 올라오면 좋을것 같아서요
|
|
| └ |
ㅠ |
anamso** |
2021-12-17 |
| 글제목 |
ㅠ |
| 작성자 |
anamso** |
등록일 |
2021-12-17 |
|
제가 현장수업을 인강용으로 따로 녹화하지 않아서 올해 파이날 업로드는 없습니다.
미안해요 ㅠ
대신 기출 강의는 곧 업로드 예정이니 실전 문제 풀이법을 한번 참고해서 봤으면 좋겠습니다.
그리고 공지글 구글드라이브에 파이날 자료는 계속 업로드하고 있습니다. 풀어보시고 질문주세요 :)
|
|
| 691 |
질문드립니다~
|
jiwonlee06** |
2021-12-15 |
| 글제목 |
질문드립니다~ |
| 작성자 |
jiwonlee06** |
등록일 |
2021-12-15 |
|
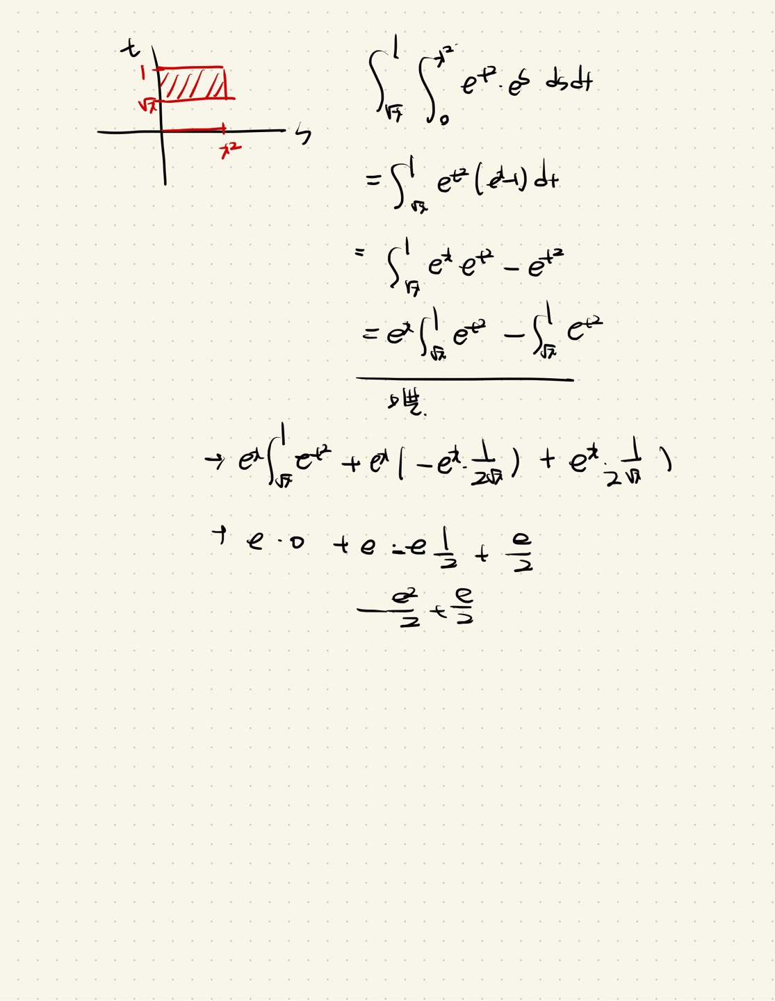
선생님 안녕하세요~ 교재 내용은 아니지만 기출문제를 풀던중 2문제를 질문드립니다. 우선 아래 문제는 제 머리로는 이렇게 밖에 풀이가 안됩니다 ㅠㅠ 함께 풀어주시면 감사하겠습니다.  아래 문제는 서로 다른 4개의 실근이 나올 수 있는건지 일단 cosθ 값이 2개 나오면 그에 따라 θ값이 4개가 되어서일까요!? 함께 풀어주시면 감사하겠습니다. (아래 적혀있는 번호는 제가 풀어 체크한 것이니 유념치 마셔요 ㅠㅠ)
늘 감사드립니다!!!

|
|
| └ |
답변입니다!! |
anamso** |
2021-12-16 |
| 글제목 |
답변입니다!! |
| 작성자 |
anamso** |
등록일 |
2021-12-16 |
|
편입수험생들이 풀기에는 어려운 문제들이네요.
아랫문제는 수능스러운 문제네요. 외대에서나 나올법한 문제


|
|
| 690 |
2021 중앙대 23번
|
gozjtm04** |
2021-12-14 |
| 글제목 |
2021 중앙대 23번 |
| 작성자 |
gozjtm04** |
등록일 |
2021-12-14 |
|

질문있습니다! |
|
| └ |
주기 |
anamso** |
2021-12-16 |
| 글제목 |
주기 |
| 작성자 |
anamso** |
등록일 |
2021-12-16 |
|
이 문제는 평소 푸리에급수랑 다른 유형입니다. 그래서 주기가 없습니다.
유일하게 중앙대에만 나오는 문제죠.
다행히 기본식이 주어져있는데요.
저기서 주어진 구간 내 A(a)=인테그랄 f(x)cos(ax) B(b)=인테그랄 f(x)sin(ax)
입니다. 그냥 외워야 합니다.
하나만 같이 해볼까요?
A(a)=인트그랄(pi~0) sinx*cos(ax) = 인트그랄(pi~0) sinx*cos(ax)=sin(1+a)x+sin(1-a)x 이걸 정리하면 =(1+cos(ax))/(1-a^2) 이 나오게 됩니다.
중앙대 문제는, 그냥 유형별로 본인이 풀만한 문제를 20개정도 골라서 외워가셔야 합니다. 이해까지하면 좋은데, 중앙대 한 학교 때문에 이해하면서 공부하는 건 너무 비효율적이니 그냥 외워서 준비해가세요! |
|
| 689 |
2021 건국대 34, 40번
|
jjh04** |
2021-12-14 |
| 글제목 |
2021 건국대 34, 40번 |
| 작성자 |
jjh04** |
등록일 |
2021-12-14 |
|
u=x^2-y^2 , v= 2xy 니까 야코비언 행렬식은 1/4(x^2)+4(y^2)이어야 하지 않나요?
40번에 부피소를 구하던데 처음보는 거라서 잘 모르겠습니다. 아니면 이 유형은 포기하는게 좋나요? |
|
| └ |
답변입니다. |
anamso** |
2021-12-16 |
| 글제목 |
답변입니다. |
| 작성자 |
anamso** |
등록일 |
2021-12-16 |
|
34. 훼이크가 있는데요. 기본식이 x, y 이면 그게 맞지만 기본식이 u, v로 되어있습니다. 그래서 뒤집어줘야겠습니다.
40번..말이 복잡했는데 그냥 겉면 구한다고 생각하시면 되겠습니다! 아래 풀이 참조.
ps: 건대가 코로나 영향으로 시험시간이 1시간 (영어+수학)으로 줄었습니다...
올해 건대 문제 풀 때는, 더더욱 본인이 확실하고 빨리 풀 수 있는 문제간 잘 선별해서 풀어야합니다.

|
|
| 688 |
안녕하세요
|
koml** |
2021-12-12 |
| 글제목 |
안녕하세요 |
| 작성자 |
koml** |
등록일 |
2021-12-12 |
|
전에 학사편입과 일반편입에 대해 질문드렸던 학생입니다! 답변해주셔서 감사드립니다! 또, 과를 선택하는 꿀팁에 대해서 알려주신다했는데...ㅎㅎ 저는 세종대학교, 동국대학교, 명지대학교, 숭실대학교, 가톨릭대학교 일단 이 5개학교중에 원서접수할 계획입니다. |
|
| └ |
답변입니다. |
anamso** |
2021-12-13 |
| 글제목 |
답변입니다. |
| 작성자 |
anamso** |
등록일 |
2021-12-13 |
|
다는 시간상 못해드리고 ㅠ
기본적으로 전화기를 제외한 과가 확실히 평균이 많이 낮습니다.
그리고 생명계열 혹은 자연대(물리학과, 화학과 등)이 낮습니다.
세종대를 볼까요?
저라면 물리천문학과 생명시스템공학부를 지원하겠습니다. 인원도 많이 뽑기도 컷이 상대적으로 낮을거에요.
물론 지원자는 많겠죠. 하지만 저과를 지원하는 학생들, 다 이같은 마인드로 지원하기 떄문에 상대적으로 실력이 조금 부족한 친구들이 많이 지원하기에 서로 상대해볼만합니다.
다만, 학사는... 솔직히 1~2명이라 변수가 많습니다. 하지만 앞서 말했지만 변수를 감안해도 컷이 일반보다 대게 낮기 떄문에 인원 많은 과를 그냥 지원하세요 :)
4명 뽑는 전자정보나 아싸리 여기도 생명시스템공학부 2명을 지원해보는 게 좋겠네요. |
|
| 687 |
2019 건대기출 38번질문드립니다
|
kms9904** |
2021-12-12 |
| 글제목 |
2019 건대기출 38번질문드립니다 |
| 작성자 |
kms9904** |
등록일 |
2021-12-12 |
|

적분범위에 엑스가 변수인데 풀이는 푸비니정리로 따로따로 분리해서 곱의미분으로 풀었던데 선생님풀이가 보고싶습니다ㅠㅠ
|
|
| └ |
답변입니다. |
anamso** |
2021-12-13 |
| 글제목 |
답변입니다. |
| 작성자 |
anamso** |
등록일 |
2021-12-13 |
|
솔직한 문제라, 딱히 제 풀이가 특별할 거 같진 않습니다 ㅠ

|
|
| 686 |
질문입니다!
|
sslee74** |
2021-12-11 |
| 글제목 |
질문입니다! |
| 작성자 |
sslee74** |
등록일 |
2021-12-11 |
|
|
|
| └ |
답변입니다 |
jk6** |
2021-12-13 |
| 글제목 |
답변입니다 |
| 작성자 |
jk6** |
등록일 |
2021-12-13 |
|
내용이 없네요? |
|
| 685 |
안녕하세요 선생님
|
koml** |
2021-12-10 |
| 글제목 |
안녕하세요 선생님 |
| 작성자 |
koml** |
등록일 |
2021-12-10 |
|
안녕하세요 독학으로 편입을 준비하고 있는 학생입니다. 독학으로 준비하다보니까 질문할 곳이 여기밖에 없어서 질문드립니다 ㅠㅠ 지원전략에 대해서 여쭈어볼게 있는데, 보통 일반편입이 학사편입보다 점수 커트라인이 높아 합격하기가 어렵다고 들었습니다, 제가 지원하려고 하는 대학에서 일반편입에서 13명 선발하고 학사편입에서 2명을 선발하고있습니다. 보통 학사편입이 점수 커트라인이 낮은 것은 알고 있지만, 2명밖에 선발하지 않아 예비번호를 받을 경우 일반보다 훨씬 불리하다고 생각이 되는데.... 그 불리함을 감안할 정도로 점수 커트라인이 낮아지는지, 무엇이 유리한지 선생님의 의견은 어떠신지 궁금합니다!
|
|
| └ |
학사가 더 좋아요. |
anamso** |
2021-12-11 |
| 글제목 |
학사가 더 좋아요. |
| 작성자 |
anamso** |
등록일 |
2021-12-11 |
|
아주 주관적인 의견입니다만
학사1명 일반8~9명정도로 생각하고 있어요.
고로 13 vs 2명이면 학사가 낫다고 생각합니다.
왜 컷이 낮냐면... 이유는 모르겠습니다만
실제로 학사로 준비하는 친구들의 성적이 대부분 상대적으로 매우 낮아요.
결론: 13vs2 이면 학사를 써라!
PS. 모집요강 뜰 때마다 항상 학생들에게 과를 보지 않는 다면 꿀과 알려주는데요. 혹시 나는 과는 보지 않겠다. 합격만 하겠다하시면 모집 요강 뜬 학교만 알려주시면 알려드리겠습니다 ㅋㅋ
|
|
| 684 |
399p 7번
|
sun44616** |
2021-12-09 |
| 글제목 |
399p 7번 |
| 작성자 |
sun44616** |
등록일 |
2021-12-09 |
|
| 주어진 세점중에서 두 선을 뽑아내면 (1,2,1)과 (-1,3,-1)이 나와 이 두선을 외적하여 1/2를 곱해주어 변형되기전 면적을 구하고 선형변환 d =>|-2| 를 구해서 두 개를 곱해줬는데 답이 안나와요.. 어떤게 잘못된거죠? |
|
| └ |
답변입니다. |
anamso** |
2021-12-11 |
| 글제목 |
답변입니다. |
| 작성자 |
anamso** |
등록일 |
2021-12-11 |
|
이 문제 많이 질문한 문젠데요.
점3개일 때는 행렬식을 이용한 풀이가 먹히지 않으니 점을 직접 집어넣어야 하겠습니다.
수업 때 언급해야 했는데ㅠ 미안합니다. 하필 중앙대 이 문제만 유일하게 요롷게 나옸어요. |
|
| 683 |
20편입수학 모의고사
|
sun44616** |
2021-12-08 |
| 글제목 |
20편입수학 모의고사 |
| 작성자 |
sun44616** |
등록일 |
2021-12-08 |
|
| 올려주신 파일중 20편입수학 모의고사 9번 문제에 구면좌표계로 풀때 로(p)는 미리 넣어서 계산이 되었던데 왜그러는지 궁금합니다! |
|
| └ |
답변입니다. |
anamso** |
2021-12-09 |
| 글제목 |
답변입니다. |
| 작성자 |
anamso** |
등록일 |
2021-12-09 |
|
부피가 아니라 겉넓이이기 때문입니다.
구면좌표계는 보통 부피일 때만 쓰는데
부피일때야 로값이 0부터 반지름이지만
겉넓이 구할 떄는 로값이 변하는게 아니라 고정값이라고 수업 때 엄청 강죠했어요.
결론 겉넓이일떄는 로 = 구의 반지름 |
|
| 682 |
2강 프린트 질문입니다!
|
sslee74** |
2021-12-08 |
| 글제목 |
2강 프린트 질문입니다! |
| 작성자 |
sslee74** |
등록일 |
2021-12-08 |
|
2강 프린트 파일 열려고 하는데 인코딩 뜨면서 제대로 열리지 않습니다...
|
|
| └ |
답변^^ |
hj_jeo** |
2021-12-13 |
| 글제목 |
답변^^ |
| 작성자 |
hj_jeo** |
등록일 |
2021-12-13 |
|
학원에서 확인했을때 문제가 없다고해요!
다시한번 시도해보시구 안되시면 학원으로 연락주세요! |
|
| 681 |
2016 성대 기출 11번 문제 질문드립니다
|
kms9904** |
2021-12-08 |
| 글제목 |
2016 성대 기출 11번 문제 질문드립니다 |
| 작성자 |
kms9904** |
등록일 |
2021-12-08 |
|

아래 빨간식으로 양변 라플라스 취하면 s제곱분의1라플라스f 하고 양변에 s제곱 을 곱하면 s분의2-s+1세제곱분의2s제곱 나오는데 s분의2는 그냥 2로 라플라스가 되고 s+1세제곱분의2s제곱을 어떻게 라플라스해야할지 모르겠습니다
|
|
| └ |
답변입니다. |
anamso** |
2021-12-09 |
| 글제목 |
답변입니다. |
| 작성자 |
anamso** |
등록일 |
2021-12-09 |
|
부분분수로 표현해야하는데요...
솔직히 부분분수 너무 오래걸리는 문제에요..
저라면 2 가 무조건 나와야 하니 4번 체크하고 넘어가겠습니다.
래걸릴거 같으면 적당히 처내야하는 센스!!!!

|
|
| 680 |
폅입 시험은 ‘찍기’
|
이** |
2021-12-07 |
| 글제목 |
폅입 시험은 ‘찍기’ |
| 작성자 |
이** |
등록일 |
2021-12-07 |
|
| 본의 아니게 어그로 끌었네요.
하지만 진짜입니다.
며칠 전,
성대, 단국대를 붙은 친구들과 술 한 잔 했는데요.
그 친구들이 하나 같이 이런 말을 했어요.
편입시험은 가챠 게임이다. 속된 말로 운빨 게임이란 거죠.
풀어 말하면, 어려운 문제는 찍어라, 입니다.
물론, 그 ‘찍기’는 정말 찍는 게 아닌 거 아시죠?
본론으로 들어가서,
어려운 문제를 절대 어렵게 풀어서는 안됩니다.
준비된 해설 풀이는 결론적인 풀이고 절대 시험장에서는 적용할 수 없는 풀이가 대부분이에요.
왜? 우리는 시간이 없기 때문에!
정답률 70% 1분 풀이 vs 정답률 90% 4분 풀이
정답률이 조금 떨어지더라도 1분 풀이가 우선인 건 항상 강조했습니다.
그럼 어려운 문제는 어떻게 찍는데?
1. 그림(그래프)을 이용해서
2. 조건의 가장 심플한 케이스를 집어넣어서
3. 보기를 거꾸로 집어넣어서
평소 수업 때 그렇게 풀어 드렸고, 곧 올라갈 기출 강의에서도 답지 하나 안 보고 수험생 마인드로 풀었으니 참조해주세요.
그리고!!
어려운 문제는 풀면 너무 좋지만, 틀려도 본전이란 마인드로 시험장에 가야해요.
딱 보고 풀 자신 없으면 미련없이 바로 손절해야합니다.
어려운 문제를 잘 ‘찍’어서 합격한 친구도 있지만
대부분은 어느 책에나 있는 기본적인 문제를 실수 없이 풀어서 붙는 친구들이 대부분입니다.
그래서 기출 풀 때 절대 기본적인 문제에서 실수가 없도록 푸는 연습을 해야 합니다.
결론,
1. 어려운 문제는 ‘잘’ 찍기
2. 너무 어려운 문제는 스킵
2. 스탠다드한 문제는 절대 실수 없이 풀기 |
|