| 748 |
질문있습니다.
|
ipsin** |
2022-02-06 |
| 글제목 |
질문있습니다. |
| 작성자 |
ipsin** |
등록일 |
2022-02-06 |
|

안녕하세요 교수님 공부하다가 궁금한게 있어서 질문드리게 되었습니다. 이때까지 이 문제를 풀기 전까지는 이때까지 부정형을 다 분수꼴로 만들어서 로피탈을 써서 문제푼 것은 문제 자체에 부정형의 수렴값을 구하라는 말이 있기때문에 부정형을 바로 분수꼴로 만들어서 로피탈을 써서 극한값을 구할 수 있었지만 사진에 있는 문제의 경우는 보기(가)가 0*무한대라서 부정형인데 이게 수렴할 수도 있고 발산할 수도 있기 때문에 로피탈을 무턱대고 쓰면 안되지 않나요? 로피탈을 쓸 수 있는 조건이 즉, 전제가 부정형인데 그 부정형의 극한값이 존재한다는 가정하에 쓰는게 로피탈이 아닌가요? 보기(가)는 x가 0+로 갈때 f(x)는 0이다.라고 적혀있기는 한데 이게 확실하게 수렴값이 존재한다!가 아니잖아요. 아니면 약간 어거지식으로 하는건가요? 사실 저도 이거 보고 그냥 아무생각없이 어?부정형이네 바로 분수꼴로 만들어서 로피탈해야지~ 하다보니까 0이 나오기는 했는데 만약에 그러면 보기(가)가 부정형인데 사실 발산하는거라면?그러면 로피탈을 써도 답이 이상하게 나오는 것이 아닌가요?사실 이때까지 극한문제는 부정형인건 다 로피탈로 풀긴했는데 그 문제들은 애초에 수렴값을 구하라!라는 문제니까 로피탈을 쓸 수 있는 근거가 되는데 이 문제의 보기(가)의 경우는 그렇지가 않아서 잘 모르겠습니다.
|
|
| └ |
로피탈은 |
anamso** |
2022-02-07 |
| 글제목 |
로피탈은 |
| 작성자 |
anamso** |
등록일 |
2022-02-07 |
|
이런 질문은 처음이네요 ㅋㅋ
결론적으로
로피탈은 극한값의 존재 유무는 상관이 없습니다.
수렴하는지 발산하는지 상관없이 그냥 로피탈을 하면 되겠습니다!
|
|
| 747 |
안녕하세요!
|
jiwonlee06** |
2022-02-03 |
| 글제목 |
안녕하세요! |
| 작성자 |
jiwonlee06** |
등록일 |
2022-02-03 |
|
교수님, 안녕하세요 😊 작년 7월부터 인강으로 교수님 강의를 들었던 학생입니다. 조금은 늦은 나이에 편입을 준비하여 막막했었는데 교수님 강의를 들으며 큰 도움을 얻었고, 이번에 이화여대 과학교육과로 입학하게 되었습니다 😊 트로이카 기초수학 이벤트로 교수님 강의를 처음 접하고 나서 그 후 미분학, 적분학, 선형대수, 공업수학까지 모두 교수님 강의만 들었는데 공부하던 순간에도 그리고 지금도 정말 잘한 선택이었다고 생각합니다! 교수님 강의를 통해 문제를 시각화(그래프로 이해)하는 힘이 길러졌고, 많은 공식들도 이해를 바탕으로 유도하면서 자연스럽게 암기할 수 있었어요 👍 교수님이 '나만 따라와~ 자연스럽게 따라오면 어느 순간 될거야~' 하실 때 솔직히 의심이 앞섰지만 😏😮 (허허😁) 교수님과 함께 풀었던 문제들을 다시 반복해서 풀어보고 출제예상문제를 풀며 복습할 때 정말 문제가 풀려지니까 신기했어요! 그리고 교수님께서 수업을 통해 책에 있는 내용들을 핵심만 칠판에 정리해주신 게 정말 큰 도움이 되었습니다! 따로 노트를 만들어서 매 인강마다 핵심 내용과 따로 판서해주신 내용을 과목별로 정리해두었는데 문제집을 2회독 하며 복습할 때 정말 큰 도움이 되었습니다 😊 진짜 진짜 마지막으로 질문을 많이 한 학생은 아니지만 질문 게시판에 올릴 때마다 늦은 밤인데도 답변 달아주셔서 감사드려요! 마음같아서는 진짜 교수님 찾아뵙고 인사드리고 싶은데 저는 교수님을 화면을 통해 계속 뵀지만 교수님은 아니시니까 너무 부담스러우실 것 같아서 이렇게 질문란에라도 감사한 마음을 전해봅니다 😃🥰
|
|
| └ |
와!!!! 대박.. |
anamso** |
2022-02-04 |
| 글제목 |
와!!!! 대박.. |
| 작성자 |
anamso** |
등록일 |
2022-02-04 |
|
합격해서 따로 정성글 올려준 친구는 처음이에요! 감동 ㅜ
게다가 이화여대!!
이대 캠퍼스 너무 이쁘고 (특히 ecc 영화관에서 좋은 영화 많이 개봉하니 꼭 봐요!)
주위 맛집 천국.. 근처 신촌에다가 홍대까지 갈 데 많고
아.. 좋은 게 정말 한둘이 아니다..
작년에 경희대랑 이대 고민하는 친구가 있길래 뒤도 안 보고 이대 가라고 했던 게 기억나네요. ㅋㅋ
아무튼 정말x3000 축하해요!
인강으로 편입하는 거 정말 힘든데 기본적으로 센스있는 학생일 거 같아요.
그리고.... 전혀 부담스럽지 않아요!
항상 합격한 현강생들 모아서 밥사주는데 인강 수험생도 당연 가능!
카톡 heathclip으로 톡 주세요 :) 혼자 공부한 얘기도 직접 듣고 싶네요.
다시 한번 축하하고 고생했고 지금부터 캠퍼스 라이프 플랜을 잘 짜요.
PS: 팁을 주자면... 동아리 꼭 들어요. 활동적인 동아리 ex 댄동이나 외부 학회 등등
같은 편입생끼리 모여서 또 놀지말구 ㅋㅋ
|
|
| 746 |
문제풀이 관련 질문 드립니다
|
ksw3** |
2022-01-31 |
| 글제목 |
문제풀이 관련 질문 드립니다 |
| 작성자 |
ksw3** |
등록일 |
2022-01-31 |
|
| 제가 미분학1 5회독과 적분학1 4회독을 하고 이제 선형대수학을 시작할건데 미적분학1을 추가적으로 복습도 할 겸 기출을 풀어도 될까요? 만약에 기출을 푼다면 어느 학교를 추천하시는지 궁금해서 질문드립니다.. |
|
| └ |
와우 |
anamso** |
2022-02-02 |
| 글제목 |
와우 |
| 작성자 |
anamso** |
등록일 |
2022-02-02 |
|
벌써 적분1을 수강하고 있는 친구가 있네요. ㄷㄷ
기출을 빨리 풀면 당연 좋아요! 다만 미적1만 나오는게 아니라 골라 풀어야 하는 번거로움이 있긴 하죠.
미적1은 전반적으로 다 출제가 됩니다.
그래도 따로 추천 드리자면 가천대, 건대, 외대(여기는 고등수학 문제가 잘 나와요.), 이대, 경희대, 숙대 정도가 있겠습니다.
한양대와 중앙대, 성대도 나오기는 하는데 상대적으로 조금 더 어렵지만 잘 풀릴다면 도전해보세요 ! |
|
| 745 |
궁금한게 있습니다.
|
ipsin** |
2022-01-24 |
| 글제목 |
궁금한게 있습니다. |
| 작성자 |
ipsin** |
등록일 |
2022-01-24 |
|
애초에 도함수자체가 원함수의 미분계수의 집합인데 사실 x=1에서의 접선의기울기가 2라고 한다면 사실 이 x=1이 진짜 숫자1이 아니라 1에 가까이 갔을 때 접선의 기울기가 2라는 말이잖아요 
|
|
| └ |
답변입니다! |
anamso** |
2022-01-26 |
| 글제목 |
답변입니다! |
| 작성자 |
anamso** |
등록일 |
2022-01-26 |
|
미분계수의 극한의 정의상 x=1의 미분계수는 사실 x=1과 아주아주 가까운 두 점의 기울기인데요.
우리는 이걸 그냥 x=1 에서 접선의기울기라고 정의하기로 합의를 본 겁니다.
약속 같은 개념이라고 생각하면 되겠습니다.
순환소수 0.99999999999999999999999999999999999 = 1 로 본 것과 같은 이치에요.
|
|
| 744 |
답변해주신 내용에서
|
ipsin** |
2022-01-22 |
| 글제목 |
답변해주신 내용에서 |
| 작성자 |
ipsin** |
등록일 |
2022-01-22 |
|
이해가 잘 안가는 부분이 있는데 애초에 그냥 결과값이 무한대이기 떄문에 +- 구별없이 틀렸다고 본 겁니다. <---이 말의 뜻을 이해못했습니다. 틀렸다고 본 게 무슨 말인가요?? |
|
| └ |
답변입니다. |
anamso** |
2022-01-22 |
| 글제목 |
답변입니다. |
| 작성자 |
anamso** |
등록일 |
2022-01-22 |
|
문제가 수렴한다면 수렴값이 몇인지, 아니면 발산하는지를 물어보잖아요.
애초에 무한대이면 그게 +무한대, -무한대랑 상관없이 이미 무한대 그 자체가 발산이라 그냥 틀렸다고 보는겁니다.
굳이 +- 를 따질 필요가 없다는 거죠. |
|
| 743 |
7강 39분57초
|
ipsin** |
2022-01-22 |
| 글제목 |
7강 39분57초 |
| 작성자 |
ipsin** |
등록일 |
2022-01-22 |
|
안녕하세요 교수님 이번에도 저번 질문과 비슷한 내용으로 찾아뵙게 되었습니다. 저번 피드백에서 을 받았는데 저도 사실 1/0이 발산이라는 것은 알고있었습니다. 발산한다는 것이 극한값이 존재하지 않는 게 바로 발산이니까요. 가령, +무한대라든지 -무한대라든지 아니면 삼각함수처럼 범위가 진동하는 발산이라던지요. 사실 이 내용에 대해서 이해가 잘 가지않아서 기초수학을 다 떼고 지금 본강의 미적분까지 듣고 있는 이 과정까지 이 내용에 대해서는 그냥 넘기고 가려고 했는데.. 그냥 넘기려고 하다보니까 제가 문제를 풀 때 딜레마에 빠지는 저를 발견해서 다시 질문을 드리게 되었습니다.


|
|
| └ |
답변입니다. |
anamso** |
2022-01-22 |
| 글제목 |
답변입니다. |
| 작성자 |
anamso** |
등록일 |
2022-01-22 |
|
정확히 정의상 1/0+여야 +무한대가 맞는 말인데요. 애초에 그냥 결과값이 무한대이기 떄문에 +- 구별없이 틀렸다고 본 겁니다. 지금 올린 문제는 결과 값이 무한대가 아닌 치환 t를 판단한 겁니다. 그래야 결과가 정확히 나오니까요. 결과값이 무한대이면 당연히 판단할 필요가 없겠지만 t의 무한대를 체크하는 겁니다. 결과가 이미 난 답과
아직 결과가 나지 않은 과정의 차이에서 나온 풀이라 보면 되겠습니다. |
|
| 742 |
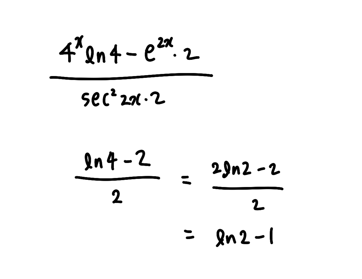
미분학1-극한-제6강-유형학습2번 강의 내용 관련 질문
|
kimjiabo** |
2022-01-20 |
| 글제목 |
미분학1-극한-제6강-유형학습2번 강의 내용 관련 질문 |
| 작성자 |
kimjiabo** |
등록일 |
2022-01-20 |
|
2023 최신대비 미분학1 - 극한- 제 6강 27:20
유형학습 2번문제 답이 1번이라고 하셨는데 저는 같은 방식으로 풀고 ln2-1로 3번을 답으로 선택하였습니다. 제 풀이는 다음과 같은데 어느 부분이 틀렸는지 알 수 있을까요? 

|
|
| └ |
답변입니다. |
anamso** |
2022-01-22 |
| 글제목 |
답변입니다. |
| 작성자 |
anamso** |
등록일 |
2022-01-22 |
|
답변이 조금 늦어서 미안해요!
벌써 미분학을 시작하셨군요 빠르네요 굿!
그런데... 더 미안합니다.
제가 답은 1번이라고 했나요? 헛말을 한 거 같아요..
책에도 3번이고, 칠판도 3번으로 풀었는데요. ㅠ 답은3번이고 풀이 맞습니다.
|
|
| 741 |
149강 산화환원반응
|
staryyou** |
2022-01-19 |
| 글제목 |
149강 산화환원반응 |
| 작성자 |
staryyou** |
등록일 |
2022-01-19 |
|
| KMnO4로 반쪽반응식 예시 들어주신 문제에서 Fe2+ -> 3Fe3+ + 3e- 인데
이 때 Fe 의 계수가 맞지 않는데 이 부분이 괜찮은 것인지 이해가 안되어 질문드립니다!! |
|
| └ |
답변드립니다 :) |
adm** |
2022-07-28 |
| 글제목 |
답변드립니다 :) |
| 작성자 |
adm** |
등록일 |
2022-07-28 |
|

|
|
| 740 |
안녕하세요
|
jjh04** |
2022-01-19 |
| 글제목 |
안녕하세요 |
| 작성자 |
jjh04** |
등록일 |
2022-01-19 |
|
|
이번에 중앙대 바이오메디컬지원인데 필기를 17~18정도 맞은것 같습니다( B형기준 1~5번 3개
6~10번 3개 11~15 4개 16~20 4개 14개맞춘것같고 21번부터 3번으로 기둥세운것 같습니다
이번에 뒤에서 3번이 3개이상나왔다고 해서 17~18예상하고 있습니다) 이 성적으로 붙으신분이 있을까요...? 자소서는 첨삭받았으니 걱정없을것 같은데 성적이 80대라서 조금 낮습니다..
1차는 붙긴했는데 최종이 너무 불안해서 질문드려봅니다. |
|
| └ |
1차 합격 굿 |
anamso** |
2022-01-19 |
| 글제목 |
1차 합격 굿 |
| 작성자 |
anamso** |
등록일 |
2022-01-19 |
|
지금부터 2월 중순까지 저 붙을 수 있을까요? 라고 물어보면서 불안 떠는 친구들 참 많은데요..
저도 과거 그런 경험이 있어서 심정 이해갑니다. 하루하루 쫄리죠. 자꾸 생각나고..
결론적으로 당연 비슷한 점수대 친구들 붙은 친구들 과거에 있기도 하고
긍정적으로 봅니다!
솔직히 전화기 메이저과 기준으로는 힘들지만
비메이저과 + 올해 상위대학 인원을 많이 뽑음
이렇게 말해도 결과 나오기 전까지, 쫄릴거에요...
추가합격까지 기다리면...정말...ㅠㅠ
그냥 막 정신없이 놀면서 결과를 기다리죠!
고생했어요 정말 |
|
| 739 |
12강 예제12
|
pgh9** |
2022-01-13 |
| 글제목 |
12강 예제12 |
| 작성자 |
pgh9** |
등록일 |
2022-01-13 |
|
12강 함수 부분에서 예제 12 문제 중 풀이에 관해 질문 있습니다. 영상 00:26:27 에서 판별식을 사용해 x^2+x+1 이 0보다 크다는 것을 말씀해 주셨는데, 그 부분을 이해 못하겠어요 D가 0보다 작으면 왜 x^2+x+1이 0보다 큰가요?
|
|
| └ |
답변입니다. |
anamso** |
2022-01-14 |
| 글제목 |
답변입니다. |
| 작성자 |
anamso** |
등록일 |
2022-01-14 |
|
D>0 이면 x축과 두점에서 만나고 D=0 이면 x축과 한점에서 만나고 D<0 이면 x축과 만나지 않죠.
x축과 만나지 않는 이차함수 그래프를 떠올려보세요. x에 어느값을 집어넣어도 0보다 다 크죠?!
|
|
| 738 |
커리큘럼 질문드립니다
|
pej27** |
2022-01-12 |
| 글제목 |
커리큘럼 질문드립니다 |
| 작성자 |
pej27** |
등록일 |
2022-01-12 |
|
| 제가 지금 해커스 구문 독해 100을 듣고 있는데 다 듣고 나면 입문 독해 강의를 듣고 기본 독해로 넘어가야 하나요 해커스 구문100에서 기본 독해로 바로 넘어가도 되나요??
|
|
| └ |
답변입니다. |
jk6** |
2022-01-13 |
| 글제목 |
답변입니다. |
| 작성자 |
jk6** |
등록일 |
2022-01-13 |
|
결론부터 말씀드리면, 입문 독해를 듣고 기본으로 가십시오.
이유를 말씀드리면, 구문 100은 매우 간단한 문장으로 이론을 설명하는 기초과정입니다. 따라서 실제 독해 지문의 문장들과는 다르지요.
입문 독해는 구문 100에서 배운 구문 이론을 실제 독해 지문의 문장에 적용시키면서, 보다 높은 수준의 구문 이론들을 섭렵하는 과정입니다. 따라서 구문 100 다음에 반드시 필요한 과정이지요.
기본 독해는 입문 독해보다도 더 높은 수준의 실제 독해 문장에 지금까지 배웠던 구문 이론들을 적용하는 과정입니다. 만약 구문 100에서 기본 독해로 바로 간다면, 갑자기 높아진 문장 구조의 수준에 적응하기보다는 좌절하기가 쉽습니다. 또한 입문 독해에서 추가로 배웠어야할 이론을 빠뜨렸기에 이해도 힘들 가능성이 높습니다.
결론적으로, 입문 독해를 들을 것을 추천합니다.
명쾌한 답이 되었나요? ^^ 그럼, 열공하세요~! |
|
| 737 |
3월달까지
|
ipsin** |
2022-01-11 |
| 글제목 |
3월달까지 |
| 작성자 |
ipsin** |
등록일 |
2022-01-11 |
|
선형대수까지는 일단 끝내보려고 계획중입니다. 3월개강이후 방학 전까지 전공학점을 몰아서 들을거라 지금 시기에 넓게 들으려고 합니다. 물론 교수님의 조언대로 영어도 공부하고 있습니다. 제 공부성격이 일단 한번 세세하게 보는 것보다는 전체적으로 훑고나서 그 다음에 세세하게 들어가는게 편입수학을 준비하는데에 있어서 더 나을 것 같아서요. 이과였어서 그런지 아직까지는 몇몇 쌍곡함수제외하고는 많이 봤던거라서 어색하지는 않았어요(미분공식이라든지 적분공식이라든지 등등..) 실제로도 모르는 부분이 있으면 친동생이 가형1등급이라 옆에서 바로 도움도 받고있어서 진도를 기초수학까지는 큰 문제없이 빠르게 끝내게 됐어요 그래서 이제 미적분으로 본격적으로 들어가려고 하는데 정규과정을 들어야하는지 2023년대비 강의를 들어야하는지 (2023년강의이지만 2022년에 찍으신 강의인 것 같더라구요.) 또, 책을 
이걸로 해야되는지 아니면

이걸로 해도 되는지 궁금합니다.
|
|
| └ |
3월달까지 선형대수?!!! |
anamso** |
2022-01-12 |
| 글제목 |
3월달까지 선형대수?!!! |
| 작성자 |
anamso** |
등록일 |
2022-01-12 |
|
전체적으로 훑고 가는 공부가 효율적이긴 해요. 저도 그런 스탈이고. 다만 3월달까지 선형대수까지... 소화가 가능할지 모르겠어요. 저도 대수학 한번 진도 빼는데 4개월은 빠듯 걸렸거든요.
일단 시도해보시고, 현실적으론 미분1, 적분1이 적당합니다. 사실 그조차도 대단하구요. 빠른 친구들도 보통 5월까지 적분1을 하니까요.
강의는 2023대비 들으시면 되구. 올해도 강의 새로 찍는데 업데이트 현장 위주라 좀 늦을거에요. 강의내용을 비슷하고, 추가내용은 나중에 업데이트 공지하겠습니다.
책은 내용은 같은데, 아래가 오타 조금 수정한겁니다 :)
PS: 좀 여유있을 때, 토익점수 800만들어보는 것도 추천합니다. |
|
| 736 |
중앙대 시험
|
jjh04** |
2022-01-07 |
| 글제목 |
중앙대 시험 |
| 작성자 |
jjh04** |
등록일 |
2022-01-07 |
|
중앙대시험볼때 미방먼저풀고 1~12번문제 푸는게 좋을까요 아니면 1~12번문제를 먼저푸는게 좋을까요..??
기출문제 중적분유형 1번문제 로범위를 어떻게 해야할지 모르겠습니다.
+선형대수 유형 5번 잘모르겠습니다.
그리고 선적분유형 2번문제 답이 잘못 체크되어있는것 같습니다!! |
|
| └ |
답변입니다. |
anamso** |
2022-01-07 |
| 글제목 |
답변입니다. |
| 작성자 |
anamso** |
등록일 |
2022-01-07 |
|
보통 1번부터 푸나, 미방을 확실하게 풀 자신있으면 미방부터 푸는 것도 좋은 전략 같습니다. 어차피 미방이란 건 정해진 풀이 정해진 풀이시간이니. 이거 풀고 앞에 문제 보는 것도 좋은 전략입니다만 연습을 미리 해야할 듯합니다.
선형대수5번은 고유치값을 구하면 되는데, 이게 블록행렬인 걸 빨리 캐치하는게 포인트입니다. 블록행렬의 행렬식은 주대각블록 |A||B|이죠. 여기에 -람다만 추가해야겠습니다. 보통 블록행렬의 행렬식은 해봤는데 고유치구할 때는 생소해서 당황해서 많이 틀린 문제인데요. 실제 시험장에서 이렇게 살짝 비꼰 문제를 눈 크게 뜨고 잘 캐치해야겠습니다.
답 실수네요 ㅠ 3번이네요.


|
|
| 735 |
역함수의 미분법
|
ipsin** |
2022-01-07 |
| 글제목 |
역함수의 미분법 |
| 작성자 |
ipsin** |
등록일 |
2022-01-07 |
|
첫번째 사진처럼 저렇게 혼란스러우면서도 동시에 두번째 세번째처럼 생각하면 두번째 세번째가 맞는 것 같고 결론은 첫번째 사진도 그럴듯해보이는 말인 거 같아서 헷갈리네요 


|
|
| └ |
답변입니다. |
anamso** |
2022-01-07 |
| 글제목 |
답변입니다. |
| 작성자 |
anamso** |
등록일 |
2022-01-07 |
|
읽고 있는 제가 어질어질하네요 ㅠ ㅋㅋㅋ 이게 수학적인 부분이 아니라 언어적 표현와 논리 때문에 헷갈리는 거 같은데요.
sin^(-1)x=y 를 미분 못한다는 말은 전에도 설명했듯이, 아직 우리가 공식을 모른다는 말이고, 공식을 이제부터 알았다면 바로 1/root(1-x^2)을 하면 되고 이제 안다고 하면 되겠습니다.
그리고 원래 함수라는 말도, 우리가 알고 있는 y=sinx의 형태를 말한 겁니다. 이건 미분하면 cosx 이라는 공식을 우리가 알고 있기 때문에 바꺼주는거죠.
역함수라는 건,
y=f(x) 을 y=x대칭을 해서 y=f^(-1)(x) 로 표현한건데 그래서 y=sinx의 역함수를 y=sin^(-1)x 입니다. 근데 이 표현보다 그냥 y=x 대칭인 표현이 더 쓰기 좋으니 x=siny 를 이용하는거고. 이거 자체도 역함수 맞습니다. 단지 y= 표현이 아닌게 아직 어색할 뿐이지요.
아크사인 미분한건 풀이 맞구요. 이제는 해봤으니, 본격적인 편입수학에서는 그냥 sin역함수는 1/root1-x제곱으로 외워서 쓰면 되겠습니다.
|
|
| 734 |
중앙대 자료
|
jjh04** |
2022-01-07 |
| 글제목 |
중앙대 자료 |
| 작성자 |
jjh04** |
등록일 |
2022-01-07 |
|
중앙대 자료 올려주신다 하셔서 드라이브에 들어가 봤는데 중앙대 자료가 기출분석인가요??? |
|
| └ |
맞습니다. |
anamso** |
2022-01-07 |
| 글제목 |
맞습니다. |
| 작성자 |
anamso** |
등록일 |
2022-01-07 |
|
넵
중앙대는 1~20번까지가 우리가 배운 파트이고 21~30번까지 복소함수파트인데 복소함수는 그냥 버린다고 생각하고 1시간에 1~20번 문제에 집중하는게 포인트입니다.
중앙대는
선적분은, 그린정리와 스톡스를 이용한 풀이를 선호하고.
선형대수는, 보통 AX 계산을 물어보는데 여기서 X를 문제에 주어진 v1, v2 등의 실수배 즉, X=c1v1+c2v2 로 표현후 AX=c1Av1+c2Av2 로 구하는 문제가 자주 나옵니다. 자료에 있는 점을 직선축으로 돌리는 건 굳이 챙기지마세요.
최대최소 문제는 라그랑지를 써도 되지만, x=y 혹은 x=cos, y=sin 으로 구할 수 있는 풀이가 가능하구요. 대신 자료에 있는 cos, sin 이용시 삼각함수를 미분해야합니다. 그래도 삼각함수를 잘 다룰 줄 안다면 라그랑지보다 이게 더 빠른 풀이입니다. 또 마지막 문제는, 기하성을 이용한 원과 평면 거리공식으로 풀수 있습니다. 괜히 걱정되면 그냥 라그랑지를 풀면 되겠습니다.
복소함수 중 공식을 외워서 풀 수 있는 간단한 문제가 있는데 그게 푸리에적분입니다. 다행히 기본식은 주어지고 A=인테그랄f(x)cosax, B=인테그랄f(x)sinax 만 외워가시면 맞출 수 있습니다.
풀어보시고 질문 주세요. 답변 빨리 달아드릴게요. :)
PS: 중앙대는 기본 문제가 살짝 비튼 문제가 자주 나와요. 그래서 그 살짝 비튼 걸 캐치하는게 키포인트이고. 많은 문제를 풀기보다 한문제 한문제 실수없이 정확히 푸는게 핵심입니다. 그리고 찍고 기도!!! |
|