| 643 |
2020 성균관대 38번
|
jjh04** |
2021-11-15 |
| 글제목 |
2020 성균관대 38번 |
| 작성자 |
jjh04** |
등록일 |
2021-11-15 |
|
어떻게 풀어야하는지 모르겠습니다. 보통 인테그랄x(y2-y1)/전체넓이 로 구하는 것으로 배웠는데 조금 당황스럽네요.
|
|
| └ |
답변입니다! |
anamso** |
2021-11-16 |
| 글제목 |
답변입니다! |
| 작성자 |
anamso** |
등록일 |
2021-11-16 |
|
이 때, 성대 문제 갑자기 어려워졌죠?! 특히 선형대수 쪽이 차원 해석과 이해력을 많이 요구했네요 . 게다가 무게중심...거기다가 밀도까지 일정하지 않고..거기다가 면적이 아닌 길이로?
무게중심=(작은면적*작은면적의 무게중심)의 합/(작은면적의합=전체면적)이었죠? 여기서 밀도와 길이를 다시 수정하면 무게중심=(밀도*작은길이*작은길이의 무게중심)의 합/(밀도*작은면적)의 합
여기서 밀도는 -2 와 거리라 했으니 x-(-2)=x+2가 되겠습니다. 작은길이는 ds 아시죠? 그리고 원이기 때문에 x=cost, y=sint 매개 변수로 풀어 주면 가장 좋겠네요! ds=루트(x'제곱+y'제곱)=1 이니 계산도 줄겠구요. 식 최종 정리!
무게중심x=인테그랄[(x+2)*ds*x]/인테그랄[(x+2)*ds]=인테그랄[(cost+2)cost]/인테그랄[cost+2] 적분 범위는 왼족 반원이니 pi/2~3/2pi 입니다!
|
|
| 642 |
질문드립니다.
|
kgh992** |
2021-11-14 |
| 글제목 |
질문드립니다. |
| 작성자 |
kgh992** |
등록일 |
2021-11-14 |
|
보조해를 구할때 ( 근이 두개 일경우) c1e알파 + c2e베타 하는데 근이 두개일경우 알파랑 베타를 어떻게 구분하나요
|
|
| └ |
상관없습니다. |
anamso** |
2021-11-15 |
| 글제목 |
상관없습니다. |
| 작성자 |
anamso** |
등록일 |
2021-11-15 |
|
임의로 두는 거라 상관없습니다.
근이 2, 3이면
알파를 2 베타를 3 알파를 3 베타를 2로 하던 최종 식은 똑같이 나옵니다. |
|
| 641 |
110p 기출유형 3번 질문드립니다
|
ha37** |
2021-11-13 |
| 글제목 |
110p 기출유형 3번 질문드립니다 |
| 작성자 |
ha37** |
등록일 |
2021-11-13 |
|
y에서 1/2xlnx미분 할때 저는 1/2+1/2lnx나왔었고, 그 결과로 계산 했었는데 c값이 안나와서 책 풀이를 보니 선생님이 풀어주신 yp의 식이 다르게 나왔어서 뭐가 문제인지 궁금해서 질문드립니다
|
|
| └ |
답변입니다! |
anamso** |
2021-11-14 |
| 글제목 |
답변입니다! |
| 작성자 |
anamso** |
등록일 |
2021-11-14 |
|
일단 이 문제는 제가 연립 과정 중에 실수가 좀 있었어요, 답은 이상하게 맞아서 제가 스킵하고 지나갔떤 문젭니다. 그것 떔에 혼동해서 질문했을거같아요 ㅠ
yc= c1x+c2(1/x) yp=1/2xlnx 입니다. y'= c1-c2(1/x^2)+1/2lnx+1/2
y(1)= c1+c2 = 0 y'(1)= c1-c2+1/2=1/2
c1=0 c2=0
y(e)=1/2e가 되겠습니다. |
|
| 640 |
2020 과기대 13번 질문ㅇㅆ습니다
|
sun44616** |
2021-11-13 |
| 글제목 |
2020 과기대 13번 질문ㅇㅆ습니다 |
| 작성자 |
sun44616** |
등록일 |
2021-11-13 |
|
| 용량이 100L인 탱크에 15kg의 소금이 녹아있는 소금물이 50L들어있다 L당 0.5kg의 소금이 녹아있는 소금물이 분당 4L씩 탱크 안으로 들어가서 완전히 섞인 후 반대쪽으로 분당 2L씩 탱크 밖으로 흘러나간다 소금물이 탱크에 가득 차는 순간 탱크안의 소금의 양은?
이라는 문제입니다 저는 식을 y’=2-2/50+t * y 로 놓고 풀었는데 도저히 답이 안나옵니다 ㅠ 풀이좀 부탁드립니다 ㅠㅠ |
|
| └ |
t가 아닌 2t |
anamso** |
2021-11-14 |
| 글제목 |
t가 아닌 2t |
| 작성자 |
anamso** |
등록일 |
2021-11-14 |
|
y'= 분당 들어오는 소금 - 분당 나가는 소금 이죠?
분당 들어오는 소금 2는 맞습니다
분당 나가는 소금은 나가는 물의 비율 * y 입니다.
문제가 나가는, 들어오는 물과 나가는 물이 다르면 식이 살짝 복잡해지는데 결론적으로 이 탱크에 물이 4 들어 오고 2 나가니 분당 +2씩 늘어나네요.
고로 나가는 물의 비율은 2/(50+2t) 입니다! t가 아닌 2t! 이러면 하던대로 쭉 계싼하면 되겠습ㄴ다. |
|
| 639 |
2020 서울과기대 6번문제
|
sun44616** |
2021-11-13 |
| 글제목 |
2020 서울과기대 6번문제 |
| 작성자 |
sun44616** |
등록일 |
2021-11-13 |
|
| 오차의 한계 구하는 문제인데 개념책을 봐도 비슷한 문제는 안보여서 어떻게 풀이를 하는지 알고싶습니다 ㅠ |
|
| └ |
오차의 한계 |
anamso** |
2021-11-13 |
| 글제목 |
오차의 한계 |
| 작성자 |
anamso** |
등록일 |
2021-11-13 |
|
해커스 교재에 있긴 있습니다. p86 하단에 작게.. 수업 때 하지 않은 내용인데요. 잘 나오지도 않고. 아마 이 문제를 마지막이자 첨으로 볼 일이 거의 없을 겁니다. 그런 문제를 신경써서 우린 할 필요 없죠. 결론적으론 이 문제는 그냥 무시하면 되는 문제입니다.
그래도 간단히 설명하자면
구간 3~5에서 테일러다항식으로 구했을 때 오차가 가장 커지는 포인트를 찾는건데요. 루트x 그래프를 그려보면 3에서 5를 갈수록 함수값이 눞는게보이죠? 루트4를 기준으로 루트3과의 차이와 루트5차이를 비교하면 루트3과의 차이가 크죠? 결론적으로 x값이 커지면 오차가 적어지고 작으면 커집니다.
그래서 x=3에서의 오차가 한계라고 보면 됩니다. 단번에 이해하기 조금 힘들겁니다.
이런저런해서 결론적으로 풀이는 2차를 넘어간 3차값에 f'''(3)/3! 이 최대오차 |
|
| 638 |
재질문드립니다,
|
kgh992** |
2021-11-13 |
| 글제목 |
재질문드립니다, |
| 작성자 |
kgh992** |
등록일 |
2021-11-13 |
|
저기에 동그라미 친부분이 2가 맞나요? 강의에선 1이라고 나와서요 그리고 190쪽 유형 1, 보조해는 어떻게 구하나요 허근일때의 공식을 쓰면 c2가 안나옵니다.
|
|
| └ |
답변입니다. |
anamso** |
2021-11-13 |
| 글제목 |
답변입니다. |
| 작성자 |
anamso** |
등록일 |
2021-11-13 |
|
2/s가 맞습니다. 제가 판서 오류인가봐요. 2 를 라플라스하면 당연히 2/s 이니. 책에는 2/s 로 나와있을겁니다.
보조해는 m=+-i 이니
yc=c1cost+c2sint yp=1/2tcost
y=yc+yp=y(0)=0 y`(0)=1 입니다.
그럼 c1=0, c2=1/2
y`(0)=1 값은 미분하기전 식 t에 집어넣으면 확인할 수 있습니다. |
|
| 637 |
질문드립니다.
|
kgh992** |
2021-11-12 |
| 글제목 |
질문드립니다. |
| 작성자 |
kgh992** |
등록일 |
2021-11-12 |
|
라플라스 변환 (2) 특수함수에 대한 라플라스변환 4분 50초 경 설명에서 라플라스(U2(t) t)= e^-2s 라플라스 (f(t+2))= e^-2s(1/s제곱+2/s)아닌가요? 그리고 190페이지 유형 1 비제차로 풀이시, R(X)가 삼각함수 일 경우를 사용하면. 1/(D^2+1)*-e^ix 면 1/(D^2+1)에 i를 넣게 될시 분모가 0되는거 아닌가요>?? 풀이 부탁드립니다
|
|
| └ |
답변입니다. |
anamso** |
2021-11-13 |
| 글제목 |
답변입니다. |
| 작성자 |
anamso** |
등록일 |
2021-11-13 |
|
184p 유형1인가요? 강의 확인 어려워서요.
맞다면, 라플라스 (u2*x) =e^-2s*(1/s^2+2/s)가 맞습니다. 해설대로.
190p
분모가 0 인 경우, 인수분해 후 뒤로 보내는데요. 실수라면 인수분해가 불가능이지만, i 를 쓰기론 한 식이라 i를 이용해
d^2+1 = (d+i)(d-i) 로 인수분해 후 0 이 되는 d-i를 뒤로 보낸 1/2i * -e^ix * 1/d 이 되야겠습니다. 알파=0, 베타=2 그럼 -1/4 * (-2cost) * t 가 되겠습니다.
여기에 yc 를 따로 구해서 더해주면 yc+ 1/2tcost 에서 c1,c2 잡아주면 해설식이 똑같이 나오겠습니다. |
|
| 636 |
55번 질문있습니다.
|
sslee74** |
2021-11-12 |
| 글제목 |
55번 질문있습니다. |
| 작성자 |
sslee74** |
등록일 |
2021-11-12 |
|
55번에 보기 (B)번 7인으로 구성된 핵가족을 이룬다가 틀린게 이해가 되지 않았습니다ㅠㅠ 본문에 7인으로 구성하고 다른 7인무리들이랑 다닌다고 나와있으니까 7인을 이룬다는 (B)번도 답이 되지 않을까요..? 자세한 설명이 듣고 싶습니다..
|
|
| └ |
안녕하세요 답변드려요. |
uptop** |
2021-11-16 |
| 글제목 |
안녕하세요 답변드려요. |
| 작성자 |
uptop** |
등록일 |
2021-11-16 |
|
안녕하세요, "during a murmuration, individual starlings pay attention to a fixed number of their flying neighbors—seven to be exact."
위 내용을 보면,
"murmuration"이라는 특정 현상에서 발생하는 특정 수로 구성된 group입니다.
평소에 그런 핵가족을 구성한다는 내용과는 다릅니다.
열공해요~
|
|
| 635 |
최근에 가천대,한국산업기술과학대 편입에 대해 문의드렸던 학생입니다
|
doris52** |
2021-11-11 |
| 글제목 |
최근에 가천대,한국산업기술과학대 편입에 대해 문의드렸던 학생입니다 |
| 작성자 |
doris52** |
등록일 |
2021-11-11 |
|
최근에 가천대,한기대 합격이 가능할까요?? 라고 질문드렸던 학생입니다. 선생님께서 감사하게도 기출을 풀어서 사진으로 찍어보내주면 가늠해주신다고 하셔서 오늘 문제를 풀고 사진으로 찍어봤는데 1페이지 1페이지 찍다 보니 사진이 너무 많더라구요 ㅠ 그래서 사진을 파일로 보내드리고 싶은데 혹시 이메일이라도 남겨주실 수 있으신가요..?
|
|
| └ |
제 메일은 |
anamso** |
2021-11-11 |
| 글제목 |
제 메일은 |
| 작성자 |
anamso** |
등록일 |
2021-11-11 |
|
heathclip@naver.com
입니다! 남의 시험지 보는 건 늘 기대가 됩니다 ㅋㅋ |
|
| 634 |
질문드립니다
|
kgh992** |
2021-11-09 |
| 글제목 |
질문드립니다 |
| 작성자 |
kgh992** |
등록일 |
2021-11-09 |
|
답변감사합니다. 99쪽 유형 3 이처럼 알 엑스가 삼각함수 일경우, 바로 공식을 사용하라고 하셨는데, 4/d(d-3)= e^ix에서 어떻게 4/-1-3i e^ix가 되는건가요? 공식은 알겠는데 알파 베타로 넘어가는 과정을 잘 모르겠습니다. 그리고 기출문제 및 해설을 받아보고 싶은데 어디서 구할 수 있을까요? 답변 잘 봤습니다.
|
|
| └ |
답변입니다. |
anamso** |
2021-11-10 |
| 글제목 |
답변입니다. |
| 작성자 |
anamso** |
등록일 |
2021-11-10 |
|
1/f(d) * e^ax 는 1/f(a) * e^ax 인건 앞에서 배웠죠?
여기서 i=a 이니 이걸 d에 집어넣으면
1/-1-3i가 바로 됩니다. 여기서 알파가 실수 -1 이고 베타는 허수부분인 -3입니다.
해설은, 구입하셔야 합니다.
해커스책도 있고 타학원책도 있으니 아무거나 구입하시면 되는데.
단지 시중 해설은 다 결론적인 풀이 + 억지 풀이가 많으니
풀다가 너무 억지 풀이거나 길면 저에게 따로 질문 해주면 좋겠습니다 :) |
|
| 633 |
한양대 2018 17번
|
jjh04** |
2021-11-09 |
| 글제목 |
한양대 2018 17번 |
| 작성자 |
jjh04** |
등록일 |
2021-11-09 |
|
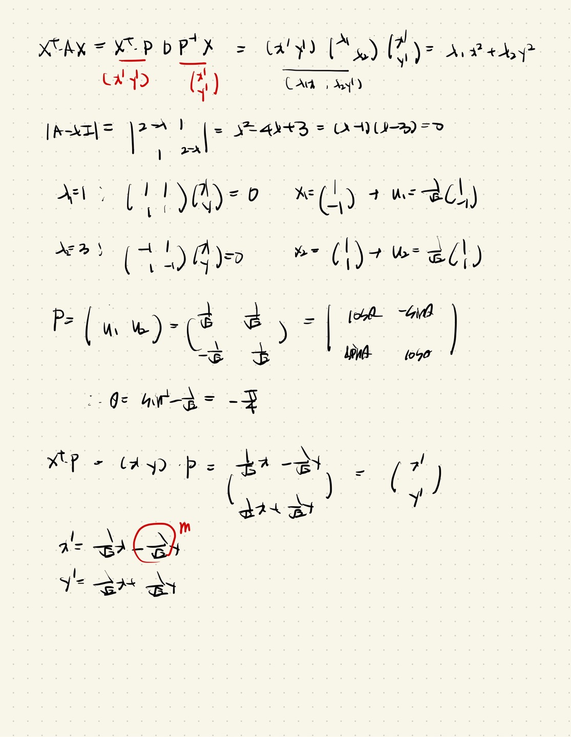
| Q는 X(전치)AX 인데 대각화하니까 A=PDP(역) 이니까 X(전치)PDP(역)X로 변환하는 것
까지는 이해했습니다 그런데 x(전치)p가왜 (X Y)가 나오는지 모르겠습니다. |
|
| └ |
답변입니다. |
anamso** |
2021-11-11 |
| 글제목 |
답변입니다. |
| 작성자 |
anamso** |
등록일 |
2021-11-11 |
|

대각화 과정이 사실 굉장히 복잡해요.
X^T*A*X 에서 어떻게 어떻게 A=P*D*P^-1 에다가 회전변환까지 집어넣어서 하는 건데요. p가 cos -sin sin cos 이고.
이걸 집어넣으면 우리가 주로 쓰는 공식이 람다1 x제곱 + 람다2 y제곱입니다. 여기서 x,y는 사실 원래 x,y랑 다른 X,Y 인데 이걸 다시 x,y로 바꾼거죠.
결론적으로 X^T*P 가 문제에서 요구하는 X,Y 입니다. 그냥 외우는 게 편해요.
이게 한양대만 나오는데... 저 문제는 특히나 너무 디테일하게 물어봤어요. 사실상 요 문제는 거의 다 틀린 문제입니다.
일단 자세한 풀이는 위에 적어놨으니 `주입`을 하죠! |
|
| 632 |
128p 31번
|
sun44616** |
2021-11-09 |
| 글제목 |
128p 31번 |
| 작성자 |
sun44616** |
등록일 |
2021-11-09 |
|
| 특수해 구할때 우항의 삼각함수 변형을 하면 상수인 1/2도 끼는데 이거는 어떻게 처리하나요? 답지에는 D에 2를 넣어서 1/8을 만들어준거같은데 분모넣어주면 되나요? |
|
| └ |
그냥 상수는 |
anamso** |
2021-11-10 |
| 글제목 |
그냥 상수는 |
| 작성자 |
anamso** |
등록일 |
2021-11-10 |
|
상수는 그냥 가장 밖으로 빼시면 됩니다.
1/2 * 1/(d^2+4) * (1- cos4x) =1/2 * 1/(d^2+4) * 1 - 1/2 * 1/(d^2+4) * - cos4x)
이렇게 상수항 따로 삼각함수 따로 하면 되고
상수항은 1-bD+(b^2-a)D^2 쓰면 됩니다. 사실상 상수라 D 계수는 구할 필요 없으니 계산 쉽겠네요.
결론 답지해설에 있는 테크닉은 무시하고 그냥 하던대로 하면 같은 답이 나옵니다.
|
|
| 631 |
문제풀이 질문 + 인강질문 + 학교지원에 대한 질문 (질문이 너무 많아서 죄송합니다 ㅠㅠ)
|
doris52** |
2021-11-09 |
| 글제목 |
문제풀이 질문 + 인강질문 + 학교지원에 대한 질문 (질문이 너무 많아서 죄송합니다 ㅠㅠ) |
| 작성자 |
doris52** |
등록일 |
2021-11-09 |
|
① p.64 유형학습 8번 질문 수렴반경값 K = 1/2 이라서 -1/2 < sinx < -1/2 이고 - 파이/6 < x < 파이/6 이라는 것까지는 이해 했습니다
x = - 파이/6 을 문제에 나온 급수의 형태 ( 2^n x sin(x)^n / n^2 ) 에 대입했는데 (2^n) x (-1/2^n) = (-1)^n 이 나와서 발산한다고 생각했고 x = 파이/6 을 대입해도 (1)^n 이 나와서 발산한다고 생각했는데 왜 둘 다 수렴하는 구간이었는지 이해가 안돼서 질문 드립니다.
텍스트로 질문 드려서 수식이 지저분한 점 양해 부탁 드립니다 ..ㅠㅠ
② 인강개설에 관한 질문 선생님 강의를 보니 미II 급수까지만 나와 있고 그 이후의 강의는 없더라구요. 작년 강의를 들으면 되는건가요?
③ 희망학교에 대한 질문 제가 only 수학만 보는 가천대 + 한국산업기술대에 지원하려고 하는데 이 학교들도 공업수학이 시험범위에 들어가나요??
그리고 아직 미2 이론도 정리가 다 안된 상태인데 12월 말에 시험을 치더라구요. 제가 게을러서 상반기에 열심히 하지 못했는데 지금이라도 열심히 해서 낮은 학교에라도 합격하고 싶은데 이론강의 빨리 완강하고 기출 뜯으면 합격각이 나올까요?
|
|
| └ |
와우 |
anamso** |
2021-11-10 |
| 글제목 |
와우 |
| 작성자 |
anamso** |
등록일 |
2021-11-10 |
|
제가 받아본 가장 깔끔한 질문 정리네요! ㅋㅋㅋ
1.
경계값을 적분판정식에 집어 넣으면 안돼요! 애초에 적분판정식은 경계값은 판단 못 합니다. 그래서 처음 주어진 sinx가 들어간 식에 집어 넣어야 해요. x=pi/6을 집어 넣으면 2^-n이 되어 결국 시그마 1/n^2이 됩니다. 이는 항상 성립하는 식이죠? -pi/6는 -가 붙으니 더 좋구요!
2. 이번주, 최소 담주 초에 중적분 업로드 되니 최신으로 들어주세요!
3. 아쉽게도 가천대 산기대 미방이 들어갑니다. 가천대는 2문제 정도 산기대는 3~4문제 근데 그 문제가 굉장히 평이하고 쉽습니다. 거의 알기만 하면 맞추는 문제?
그래서 1주 빡시게 잡고 공수 어려운 내용과 문제는 스킵하고 기본적인 문제만 캐치해서 진도를 끝내는 게 제일 베스트! (제 강의에선 선형미방 뒷부분과 연립미방을 제외한 내용)
but 사정상 힘들면 그냥 공수는 포기하고 다른 파트에서 더 확실히 맞춘다는 마인드로 하셔야 겠습니다.
합격 가능한지는, 지금 상태를 봐야할 거 같은데
가천대 한번 기출 풀어보고 시험지 찍어서 보여주면 가늠해줄게요! |
|
| 630 |
재 질문드립니다.
|
kgh992** |
2021-11-09 |
| 글제목 |
재 질문드립니다. |
| 작성자 |
kgh992** |
등록일 |
2021-11-09 |
|
48쪽 유형 3 
아무리 해도 p(x) 가 y 인 거같은데 책에는 -1로 되어있네요 그리고 137쪽 유형 2 마지막에 y1(0)=0, Y2(0)=0조건을 사용하려면 0을 어디다 대입해야하나요
|
|
| └ |
답변! 그리고 조언 |
anamso** |
2021-11-09 |
| 글제목 |
답변! 그리고 조언 |
| 작성자 |
anamso** |
등록일 |
2021-11-09 |
|
공식을 한번 다시 정확히 보면 y는 없습니다. y가 z가 되는 겁니다. 치환과정이 숨어있어서 y가 나올 수 없고 이게 (1-n)p(x) z가 됩니다.
행렬에 c1과 c2가 있죠? 이걸 없애려면 초기조권 y(0)가 필요합니다. 해설에 주어진대로 그냥 t에 0 집어넣고 c값을 연립해서 구하면 되겠습니다.
ps 걱정되는 부분이, 강민학생이 주로 질문하는 포인트가 수학적 추론이나 방법론적인 부분이 아닌, 문재 해석과 인지 부분이 많아요. 이게 해석만 잘 안되고, 다른 추론이나 계산이 잘된다면야 상관없지만 그게 아니라면 많은 범위의 문제와 개념을 다 하려고 하지 말고 조금 더 좁은 범위에서 꼭 그리고 자주 나오는 핵심 문제 위주로 공부해야 좋을 거 같아요. 지금쯤 가천대나 국민대 기출 문제 한번 풀고 점검도 꼭 해보고요! |
|
| 629 |
2023년 커리큘럼
|
ipsin** |
2021-11-06 |
| 글제목 |
2023년 커리큘럼 |
| 작성자 |
ipsin** |
등록일 |
2021-11-06 |
|
안녕하세요 교수님 2023년에 편입시험 준비를 위해서 공부하고 있는 한 학생입니다. 아직까지도 절반이상이 비대면을 해서 시간이 어느정도 남아서 기초수학을 공부하고 있는데 2023년 커리큘럼에도 분명히 기초수학 강좌를 여시는데 2023년 커리큘럼의 기초수학대신에 지금 제가 듣고 있는 2022년 커리큘럼인 기초수학으로 공부해도 커버가 가능한지 궁금합니다.
|
|
| └ |
답변입니다. |
anamso** |
2021-11-07 |
| 글제목 |
답변입니다. |
| 작성자 |
anamso** |
등록일 |
2021-11-07 |
|
기초수학
즉, 중고등수학은 끝도 업습니다.
일단 제가 준비한 기초수학 강의만 소화했다면 충분한데
100프로 소화하기 힘들겁니다. 기초구학이 중고등수학인데
단시간에 끝내기 힘들죠 당연.
그래서 일단.
내년 초까지 기초수학 = 즉, 함수 그래프 그리기가 디 이해하고
미분학1까지 하길 목표하면 좋을 거 같아요.
본인 지금 상태를, ex고등 수능등급, 말하면 더 좋은 상담이 가능할거같아요 :) |
|