| 778 |
tr(A)가 뭔가요?
|
saung5** |
2022-04-01 |
| 글제목 |
tr(A)가 뭔가요? |
| 작성자 |
saung5** |
등록일 |
2022-04-01 |
|
| 선형대수학 28pg 7번 문제에 tr(A)를 구하라고 되어 있는데 이게 뭔지 잘 모르겠어요. 검색을 해도 안나오고 책을 뒤져도 찾기 힘들어서 질문 드려요.
*지금까지 질문 2개 드렸었는데 도움 많이 됐어요 감사합니다! 앞으로도 열심히 할게요. |
|
| └ |
trA |
anamso** |
2022-04-02 |
| 글제목 |
trA |
| 작성자 |
anamso** |
등록일 |
2022-04-02 |
|
trA 뒤에 설명하는데
그냥 단순히 행렬 대각선 원소 더하는거에요!
1 2 3 4
행렬A의 trA=1+4=5! |
|
| 777 |
커리큘럼 질문드립니다!
|
asd48** |
2022-04-01 |
| 글제목 |
커리큘럼 질문드립니다! |
| 작성자 |
asd48** |
등록일 |
2022-04-01 |
|
4월달부터 시작하는 문과 편입생입니다.
기초도 없지만 시간도 촉박해서 불안합니다 ㅠ
특강 구문독해 100 필수로 들어야 하나요?? |
|
| └ |
답변입니다 |
jk6** |
2022-04-02 |
| 글제목 |
답변입니다 |
| 작성자 |
jk6** |
등록일 |
2022-04-02 |
|
기초가 없다면, 구문독해 100은 필수 입니다.
구문을 공부하지 않고 시간에 쫒겨 일반적인 독해 문제를 푼다면, 고3때와 같은 1년을 보내게 됩니다.
다시말해, 1년을 독해 공부해도 12월이 되어서 본인의 실력은 거의 늘지 않은 상태가 되는 것이지요.
그래서, 반드시! 구문 공부를 하고 나서, 독해 지문을 읽고 문제 푸는 것을 시작하셔야 점수와 실력이 늘 수 있습니다.
그런데, 혹시 기초가 있는데, 본인이 모를 수도 있으니,
일단 입문독해를 수강하면서 (어차피 구문독해 100 다음에 들어야 할 과정이므로), 그 수업에서 말하는 문장들이 정확히 이해가 된다면, 그럼 기초가 있는 것이므로 구문독해 100을 건너뛰어도 좋습니다.
만약, 수업을 들을 때는 대충 알 것 같은데, 본인이 혼자 예습할 때는 선생님과 같은 수준으로 문장 구조를 분석할 수 없다면, 그 때 구문독해 100을 빠르게 수강하는게 어떨까 합니다.
민지 학생의 정확한 현재 실력에 따라, 선택해야 합니다. 기초가 없다면 구문독해 100은 아무리 시간이 없더라도 필수 과정. 기초가 있다면, 건너뛰고 입문독해로 직행.
무엇을 하든 지, 아무리 시간이 촉박해도, 구문에 대한 공부는 반드시 완성하고, 그 다음에 글을 읽고 문제푸는 독해로 가는 거 꼭 잊지 마세요.
|
|
| 776 |
적분학1 154pg 유형학습 1번 문제
|
saung5** |
2022-03-23 |
| 글제목 |
적분학1 154pg 유형학습 1번 문제 |
| 작성자 |
saung5** |
등록일 |
2022-03-23 |
|
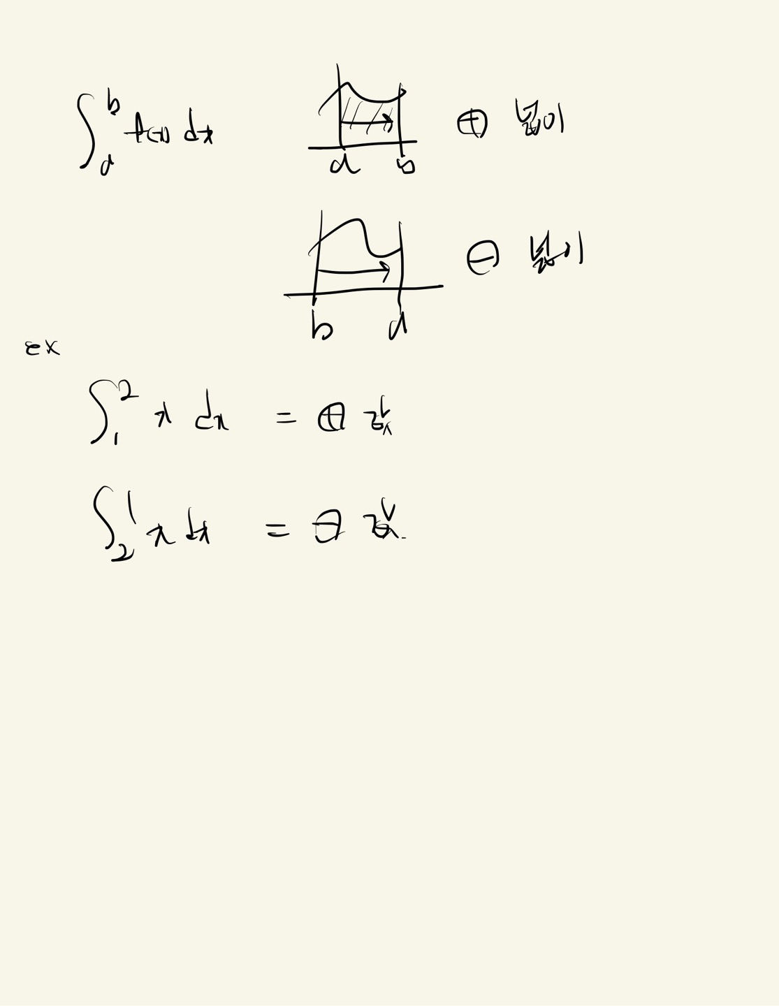
| 안녕하세요! 군인이라 사진 첨부가 안되는 점 이해해주셨으면 합니다.
적분학1 154pg 유형학습 1번 문제에 대하여 궁금한 점이 있습니다.
대표기출유형 3번 문제와 같은 방식으로 풀면 되는 것은 알겠으나
f(x)의 값이 x보다 크다는 전제가 없으면 풀이가 성립하지 않는다는 생각이 들어서 의문이 생겼습니다.
f(x)>x라는 근거를 문제에서 찾을 수 있는지가 궁금합니다. |
|
| └ |
답변입니다. |
anamso** |
2022-03-25 |
| 글제목 |
답변입니다. |
| 작성자 |
anamso** |
등록일 |
2022-03-25 |
|
군인 ㅠ 수강생 중에 막 제대하고 공부하는 친구들 많은데 고생합니다 ㅠ
그리고 답변 하루늦어 미안해요.
사실 편입문제 풀 때 너무 세세하게 따질 필요는 많이 없는데요. 문제 자체가 허점이 많기도 하고.
그래도 굳이 증명하자면 3+2t^2 / 1+t^2은 제곱이기에 함수가 자체가 절대 음수가 나올수 없는데요.
그리고 정적분은 넓이라고 했죠?
그럼 f(x)가 만약 x보다 작다면 인테그랄 앞에 - 붙여 위치가 바뀌게 되므로
예) 밑에 그림 참고해주세요.
정적분값이 음수가 나와야 합니다.
하지만 정적분 값이 1 이므로 f(x)가 x보다 작을 수가 없겠습니다!
음수가 나와야 합니다

|
|
| 775 |
질문 있습니다.
|
minkky** |
2022-03-23 |
| 글제목 |
질문 있습니다. |
| 작성자 |
minkky** |
등록일 |
2022-03-23 |
|
He made us taste the cake. 라는 문장이 5형식이라고 나와있는데 이유를 잘 모르겠습니다. us가 목적어이고 taste the cake가 목적보어 인가요..? taste 뜻을 찾아봤는데 형용사라고는 안나와서요. 찾아보다가 이유를 모르겠어서 여기다 질문드립니다. 답변부탁드립니다. |
|
| └ |
답변입니다 |
jk6** |
2022-03-24 |
| 글제목 |
답변입니다 |
| 작성자 |
jk6** |
등록일 |
2022-03-24 |
|
us가 목적어인거 잘 찾았습니다.
taste the cake이 목적 보어인 것도 맞습니다
taste는 여기서 원형 부정사로 쓰였습니다. 사역동사의 목적보어 자리에 원형 부정사를 쓸 수 있다는 것을 배웠지요?
made가 사역동사로 쓰여서 목적보어 자리에 원형 부정사인 taste가 온 것이죠.
혹시, 사역동사의 목적보어가 뭔지, 원형 부정사는 뭔지, 이런 말들도 생소하다면,
구문의 배이스 과정인, '구문독해 100' 강의를 수강할 것을 추천합니다
아주 자세하게 많은 예문을 다루는 강의로, 그냥 문법 수업에서 다루는 것 보다도 더 차근차근 알기 쉽게 설명해 놓았습니다.
앞으로 공부해 나가면서 많은 궁금증이 생길텐데, 그것은 아주 좋은 것입니다.
답답해 하는 대신, 어떻게 하면 알 수 있을까를 고민하다 보면, 아주 빨리 실력이 향상되기 때문입니다.
그럼, 앞으로도 계속 열공! |
|
| 774 |
[COMPACT][이강휘] 빠르게 정리하는 기초 미적분학12강빠르게 정리하는 [실전 기출풀이] - 종강★
|
vooyon** |
2022-03-19 |
| 글제목 |
[COMPACT][이강휘] 빠르게 정리하는 기초 미적분학12강빠르게 정리하는 [실전 기출풀이] - 종강★ |
| 작성자 |
vooyon** |
등록일 |
2022-03-19 |
|
7번문제(20서간대) 최솟값이 아니라 극소값이죠? 극대값이 -인데 최솟값이 +가 되네요.
|
|
| └ |
답변입니다. |
anamso** |
2022-03-20 |
| 글제목 |
답변입니다. |
| 작성자 |
anamso** |
등록일 |
2022-03-20 |
|
예리해요! 맞아요
b는 최소값이라 하면 안되고 극솟값이라고 해야합니다. |
|
| 773 |
딱 한번 재질문..
|
ipsin** |
2022-03-13 |
| 글제목 |
딱 한번 재질문.. |
| 작성자 |
ipsin** |
등록일 |
2022-03-13 |
|
"바로 그 지점이 짝수지역일수도, 홀수지역일수도 있죠. 그래서 이 두 케이스를 나눠서 해야 하고 이게 하나의 값으로 통일 되어야 값이 존재한다고 정의합니다. 결론 무한대일 때 짝수 홀수 나눠야합니다. 정의가 그렇습니다! "
에서 이게 하나의 값으로 통일 되어야 값이 존재한다고 정의합니다.라는 말씀에서 하나의 값으로 통일이 되어야 값이 존재한다는 말씀이 짝수지역일 때의 값과 홀수지역일 때의 값이 같아야 값이 존재한다는 말씀이신가요??
교수님 말씀대로 정의가 그러면 그냥 정의가 그렇구나하고 넘어가면 되는데 마지막에 해주신 말씀이 제가 잘 이해가 안되서 한번 더 질문을 드리게 되었습니다. 감사합니다. |
|
| └ |
답변입니다. |
anamso** |
2022-03-14 |
| 글제목 |
답변입니다. |
| 작성자 |
anamso** |
등록일 |
2022-03-14 |
|
네 값이 같아야 한다 말입니다.
어떤 함수 f(x)에 x=1 이란 데이터를 집어넣었는데 f(1)이 하나가 아닌 2개 이상의 값이 나오면 그걸 함수가 아니다, 라고
정의하잖아요?
같은 개념이에요. x=무한대 입력값을 집어넣었는데 값이 하나가 나와야 하는데
짝수무한대 케이스와 홀수무한대 케이스의 데이타가 다르면 두개 이상 나온거고 이는 존재하지 않는다고 하죠. |
|
| 772 |
출제예상문제 p.45 6번
|
jsy62** |
2022-03-13 |
| 글제목 |
출제예상문제 p.45 6번 |
| 작성자 |
jsy62** |
등록일 |
2022-03-13 |
|
6번 문제 해설을 보면서 풀어도 잘 이해가 가지 않습니다. 양변에 제곱을 한 후 시그마를 취하는 부분부터 이해가 가지 않습니다. 여기서 어떻게 풀어야하는지 설명해주세요. 해설지에 있는 방법 말고 다른 풀이법으로 푸는 방법은 없을까요? 증가수열문제는 기출유형이나 유형학습에 문제가 없어서 문제풀이를 안해주셨는데 나오지 않았던 유형의 출제예상문제는 강의가 없으면 이해가 안될 때 어떻게 해야할까요? 또 생각보다 기출유형, 유형학습 문제보다 출제예상문제가 훨씬 어렵더라구요. 모르는 문제가 생겨도 출제예상문제 풀이 강의는 들을 수 없나요? |
|
| └ |
출제예상 문제 |
anamso** |
2022-03-14 |
| 글제목 |
출제예상 문제 |
| 작성자 |
anamso** |
등록일 |
2022-03-14 |
|
일단 수열은 제가 수업 때 한 내용이상 할 필요가 전혀 없어요.
편입시험에 수열 문제가 잘 나오지도 않고, 무엇보다 수열 문제가 난이도가 정말 어려워지면
절대 풀지 못합니다. 그 문제를 어디서 한번 봤다면 모를까.
질문한 6번 문제가 바로 그런 케이스입니다.
6번 문제를 상식 수준에서 접근해본다면,
일단 직접 집어넣어봐도 1, 2, 2.5, 29/10 .. 눈에 보이는 규칙도 딱히 없고 더 규칙을 찾으려고 하면 너무 길어져서
시간 소비가 큽니다. 수열 형태에서 힌트를 찾을 수 있는데요.
고등학생들이 자주 푸는 방정식 형태 x+1/x 이 있는데요. 이건 제곱하면 x^2+1/x^2 + 2 가 나옵니다.
주어진 수열이 그런 형태네요? 그럼 제곱을 시도해볼수 있습니다.
a(n+1)제곱= an제곱+1/an제곱 + 2 인데요.
딱 여기까지 상식적으로 접근할 수 있는 마지막입니다.
그 이후는 시그마를 해야하는데, 왜 시그마를 해야하나?
애초에 시그마를 하도록 유도한 문제라서 그렇습니다.
풀이가 이미 정해진 문제고, 이 문제를 풀어본 적이 없다면 시그마를 취한다는 생각은 수험생은 절대 못합니다.
자주 출제되는 문제라면 모를까, 이런 문제는 나오지도 않고, 나온다해도 다 틀리는 문제라 바로 스킵해야합니다.
해설의 풀이에 설명을 좀 하자면
시그마를 a취한 순간 a(n+1)제곱 - an제곱 = 1/an제곱 + 2
형태에서 a(n+1)제곱 - an제곱 가 앞뒤로 계속 지워져 결국 a100만 남게 되고
시그마 1/ an제곱 1/4 보다 클 수 없다는 전제로(a2=2 이고 1/a2제곱 1/4) 제한값을 이용해 답을 도출했습니다.
이건 사실 그냥 해설자체를 외워야 하는 수준이에요.
해커스 교재 문제가 참 많죠? 그게 장점이자 단점인데 ㅠ ㅋㅋ
제가 수업 중간중간에 그래서 어떻게 공부할지 말은하는데
일단 제가 수업한 내용과 풀어준 문제 위주로 진도 우선으로 나가는 게 좋구요.
출제예상 문제는 일단 극한부터 푸세요.
문제가 굉장히 많은데, 그 중에는 풀만한 문제도 있고,
해설을 봐도 안풀리는 문제가 있습니다.
안풀리는 이유는 질문한 문제처럼 그냥 터무니 없는 문제이기도 하거나
아직 진도에 들어가진 않은 내용이 포함되있기 때문인데요.
그래서 너무 안풀려도 스트레스 받지 말고 게시판에 질문을 해주면 제가 답을 달겠습니다!
PS: 출제문제까지 강의를 하기엔 너무나 양이 너무 많아서 아쉽게도 강의촬영이 없습니다 ㅠ
PS2: 공지글 보면 알겠지만, 편입문제는 굉장히 더러워요. 실제 시험장에서도 그런 문제가 많아 30문제중 20~25 문제
심하면 15~20 문제만 풀기도 합니다. 그런데 놀랍게도 그래도 붙습니다 :) 너무 스트레스 받지 말고 조금씩 적응해나가요.
|
|
| 771 |
무한대..
|
ipsin** |
2022-03-12 |
| 글제목 |
무한대.. |
| 작성자 |
ipsin** |
등록일 |
2022-03-12 |
|

|
|
| └ |
답변입니다! |
anamso** |
2022-03-13 |
| 글제목 |
답변입니다! |
| 작성자 |
anamso** |
등록일 |
2022-03-13 |
|
이번 질문 역시 정의학적인 질문이에요.
정의학적이라는 건 딱히 논리가 있다기보다 그렇게하기로 '약속'이기 때문에 그냥 따라야합니다.
이걸 굳이 논리적으로 설명해야하자면... 이런 설명 첨 해보네요..신선합니다. ㅋㅋㅋ
무한대라는 건 말그대로 숫자가 정말 엄청 커지는데요.
이 값이 그래도 마지막 숫자는 임시적으로 있어야 해요.
마치 우리가 끝 없이 앞으로 가고 있더라도 가고 있는 어떤 순간에는 분명 어느 지점에 멈춰있어야하잖아요?
바로 그 지점이 짝수지역일수도, 홀수지역일수도 있죠. 그래서 이 두 케이스를 나눠서 해야 하고
이게 하나의 값으로 통일 되어야 값이 존재한다고 정의합니다.
결론 무한대일 때 짝수 홀수 나눠야합니다. 정의가 그렇습니다! |
|
| 770 |
풀이식인데 어디가 잘못된건지 갈피를 못 잡겠습니다.
|
ipsin** |
2022-03-11 |
| 글제목 |
풀이식인데 어디가 잘못된건지 갈피를 못 잡겠습니다. |
| 작성자 |
ipsin** |
등록일 |
2022-03-11 |
|

강의에서는 x를 분모로 내려서 미분을 했는데 저도 그렇게하면 정답이 -2가 나왔는데
분수꼴의 미분법으로 써도 답이 똑같이 나와야 하는게 아닌가요? 왜 -1이 나오는지 모르겠습니다. |
|
| └ |
답변입니다. |
anamso** |
2022-03-11 |
| 글제목 |
답변입니다. |
| 작성자 |
anamso** |
등록일 |
2022-03-11 |
|
분자의 식을 미분하면 f(x)/x * 2x = 2f(x) 가 되어야 하겠습니다!
x^2을 미분을 2 만 썻네요 2x인데! |
|
| 769 |
복습 관련 질문입니다.
|
ksw3** |
2022-03-10 |
| 글제목 |
복습 관련 질문입니다. |
| 작성자 |
ksw3** |
등록일 |
2022-03-10 |
|
| 선대 진도를 나가면서 미적분을 복습하고 있습니다. 미적분은 출제예상문제를 풀고 있는데 틀린 문제를 위주로 복습할까요?? 아니면 맞은문제, 틀린문제를 전체적으로 복습하는게 나을까요?? |
|
| └ |
틀린 문제 |
anamso** |
2022-03-11 |
| 글제목 |
틀린 문제 |
| 작성자 |
anamso** |
등록일 |
2022-03-11 |
|
틀린 문제 위주로 공부하는 게 좋겠습니다!
맞은 문제는 보통 다시 풀어도 맞기도 하고, 최대한 효율적으로 하려면 틀린 거 위주로 빨ㄹ리 정리해서
빨리 복습을 끝내는 게 좋겠습니다 |
|
| 768 |
강의질문있습니다.
|
ipsin** |
2022-03-07 |
| 글제목 |
강의질문있습니다. |
| 작성자 |
ipsin** |
등록일 |
2022-03-07 |
|
강의에서 풀어주시지 않은 문제에 대해서 어떤문제는 충분히 풀 수 있으니까 알아서 풀어보라고 언급해주셔서 걱정은 없는데 1강에서 교재 p25 유형학습1문제는 별말없이 그냥 넘어가서 그냥 별말없이 넘어가는 문제는 이것도 충분히 풀 수 있는 문제인가요? 아니면 그냥 스킵하는 문제인가요??
결론은 강의에서 스킵하는 문제 알아서 풀어보는 문제 언급해주시는 것도 있고 아니면 그냥 언급안하시고 그 다음 문제로 넘어가는 것도 있는데 그 문제는 스킵하는 문제인가요 아니면 충분히 풀 수 있는 문제인가요? |
|
| └ |
답변입니다. |
anamso** |
2022-03-08 |
| 글제목 |
답변입니다. |
| 작성자 |
anamso** |
등록일 |
2022-03-08 |
|
일단 p25 유형1은 충분히 풀 수 있는 문제입니다.
보통 절대 풀지말라는 건 진짜 풀 필요 없구요. 따로 언급을 아예 안하는 문제는 대부분 풀릴 겁니다.
풀어보다가 안풀린다면 그 때 질문을 하면 좋겠습니다.
참고로, 그냥 제가 수업 때 풀어드린 문제 위주로 진도를 쭉쭉 빼는 걸 추천 드려요.
편입수학은 양이 굉장히 많고 서로 엉켜있어서 진도를 쭉 한번 끝까지 뺴고
다시 처음부터 복습할 때, 그제야 뭔가 문제가 더 잘 보이고 실력이 확확 올라가거든요!
|
|
| 767 |
문제집 병행 관련 질문드립니다.
|
dlrhkdah1** |
2022-03-07 |
| 글제목 |
문제집 병행 관련 질문드립니다. |
| 작성자 |
dlrhkdah1** |
등록일 |
2022-03-07 |
|
이제 미분학1 시작하려는데 자연계 이과 출신이라 기본베이스가 있습니다. 근데 이 인강 들으면서 문제집을 병행하면서 공부를 하나요 아니면 강의를 듣고 복습만하나요? 문제집이랑 같이 병행하면서 듣는 시기는 어느때인지 알려주세요 |
|
| └ |
문제집 따로 필요 없어요. |
anamso** |
2022-03-07 |
| 글제목 |
문제집 따로 필요 없어요. |
| 작성자 |
anamso** |
등록일 |
2022-03-07 |
|
일단 문제집은 따로 필요없고 교재로만 해요.
교재를 받아보시면 알겠지만.. 엄청 두꺼워요. 여기에 있는 문제만 풀어도 모든 학교 다 붙을 수 있어요.
그리고 공부를 좀 더 해보면 알겠지만, 진도우선으로 공부하는 걸 추천해요
강의 듣고 수업 때 푼 기본 문제 다시 풀이! 그리고 단원 마지막에 있는 연습문제 풀면서 문제적응
그런데 연습문제가 정말 많아서 다 풀면서 하면 진도가 너무 느리기 때문에 보통 짝수번 혹은 홀수번만 풀고 진도를 우선 나가라고 합니다.
편입수학은 일단 진도를 먼저 쭉 빼고 전체적인 감이 생기면 다시 복습하는 형태로 공부하게 효율이 가장 좋아서요.
수능식으로 설명하면, 수학상하->미적분->기하 빨리 진도 나가고 모의고사 문제 빨리 풀면서 다시 복습, 이런 느낌 생각하면 되겠습니다.
결론: 문제집 병행 필요없이 수업내용 듣고 교재만으로 충분. 그리고 진도 우선. |
|
| 766 |
지수식 변형
|
ipsin** |
2022-03-04 |
| 글제목 |
지수식 변형 |
| 작성자 |
ipsin** |
등록일 |
2022-03-04 |
|
지수식을 변형하는 것에서 헷갈리는게 있습니다..

짝수루트 안에는 무조건 양수가 나오고 홀수루트 안에는 음수도 되고 양수도 되는 건 잘 알고있습니다. 만약에 y=x^1/3 이었다면 3루트안에 있는 x는 음수도 되고 양수도 되므로 바로 양변에 3승을 해서 y^3=x가 되죠. x가 음수라면 y^3도 음수가 되겠고 x가 양수라면 마찬가지로 y^3도 양수가 되겠죠. 그런데 이번에는 그게 아니라 1/3승이 아니라 2/3승은 위 사진과 같이 되어야 하는게 아닌가요? |
|
| └ |
답변입니다! |
anamso** |
2022-03-05 |
| 글제목 |
답변입니다! |
| 작성자 |
anamso** |
등록일 |
2022-03-05 |
|
y=x^(2/3) 을 x=로 표현하다면 +-이겠습니다.
루트 안에 음수양수는 좀 헷갈리는 부분이 있는데
솔직히 글로 질문한 부분은 제가 이해가 좀 힘들어요.
그래서 그냥 그래프로 판단하면
y=x(2/3)은 사실 루트x가 y축 대칭한 모양이고 어느 특정한 y값에 해당하는 x값이 +- 두개 있네요.
그런데, 이걸 꼭 바꺼서 음수양수를 구분해야 풀리는 문제가 있었나요?? |
|
| 765 |
질문있습니다.
|
ipsin** |
2022-03-01 |
| 글제목 |
질문있습니다. |
| 작성자 |
ipsin** |
등록일 |
2022-03-01 |
|

아니면은 따지고 보면 1/x는 x=0빼고는 모든 점에서 연속이니까 제 말의 주장이 틀린건가요? 발산한다는게 적분 구간에서 불연속인 점이 포함되어 있을 때 발산하는거니까요.
|
|
| └ |
답변입니다. |
anamso** |
2022-03-03 |
| 글제목 |
답변입니다. |
| 작성자 |
anamso** |
등록일 |
2022-03-03 |
|
일단 실제로 적분해볼까요?
1/x 적분하면 lnx 이고 적분범위 무한대값 집어넣으면 무한대죠? 그래서 무한대입니다.
저는 이걸 그림으로 설명했는데요. 그래야 문제가 빨리 풀리기도 하고.
1/x는 점근선으로 가까이 가지만 뚫려있고 아니고는 크게 중요하지 않습니다. 두께가 중요하죠.
1/x은 그 정도가 두께로 인정될만하기 때문에 무한대고 나온다고 표현했습니다.
1/x^2 을 같은 식으로 적분하면 이건 반대로 값이 존재합니다 1로요.
이것도 그림으로 설명하자면
1/x보다 아래에 있고 두께가 얇기 때문에 거의 0이나 다름 없고 넓이가 존재합니다.
그림 표현은, 제가 임의적으로 문제를 빨리 풀기위해 한 설명이에요. 이건 나중에 기출문제를 풀 때 정말 크게 도움 되거든요.
1/x 기준으로 1/x보다 밑에 깔리는 점근선은 전부 값이 존재하고, 1/x보다 위에 있는 접근선은 다 넓이가 무한대라 보면 됩니다.
|
|
| 764 |
11강 28분51초
|
ipsin** |
2022-03-01 |
| 글제목 |
11강 28분51초 |
| 작성자 |
ipsin** |
등록일 |
2022-03-01 |
|
편입시험에서 만약에 로그가 나왔으면 자연로그로 바꿔주라는 말씀에서 이해를 정확하게 못했습니다. 상용로그가 나오면 상용로그로 풀어줘야지 자연로그로 바꿔주는 이유가 무엇인가요? 트렌드자체가 상용로그보다는 자연로그가 많이 나오기 때문에 책교재 나와있는 문제를 풀다가 상용로그가 나오면 자연로그로 바꿔서 풀라는 말씀인가요? |
|
| └ |
답변입니다. |
anamso** |
2022-03-03 |
| 글제목 |
답변입니다. |
| 작성자 |
anamso** |
등록일 |
2022-03-03 |
|
사실 log10 은 상용로그 10이 맞습니다.
그런데, 편입시험 출제하는 교수님들은 나이가 드신 분들도 많고,
자신만(?)의 표현에 익숙하신 분들이 많아요.
특히 하나다 ln10은 그냥 log10을 하는 경우 입니다.
물론 실제 log10도 있어요... ㅋㅋㅋ
그래서 일단 log10 상용로그로 풀어보고 답이 안나오면 ln10으로 풀어보세요.
ps: 근데 드문 경우니까 너무 신경쓰지 마세요. 보통 ln10으로 주어져요. |
|