| 1258 |
20한양25번
|
ipsin** |
2022-12-22 |
| 글제목 |
20한양25번 |
| 작성자 |
ipsin** |
등록일 |
2022-12-22 |
|

|
|
| └ |
답변입니다. |
anamso** |
2022-12-23 |
| 글제목 |
답변입니다. |
| 작성자 |
anamso** |
등록일 |
2022-12-23 |
|
일차식 x,y 평행이동한 표현인데요...이게 주어져있으면 문제가 너무 힘들어집니다.
고유치와 고유벡터 구하고 2차 형식 대각화 X^T*P 과정을 하고
주축정리 (4root5 -16root5 ) (x y)^T 를 이용해서 풉니다. 해설도 굉장히 길겁니다.
많이 어렵죠. 저도 수업 중에는 x,y 상태 조건을 풀어드린적 없습니다.
그런데, 다행히 문제에서는 단순히 A와 B만 물어봣기에
평행이동한다고 장축 A와 단축 B값이 달라지지 않아서 사실 x,y 를 지우고 풀어도 그냥 고유치값만 구해도 답은 나옵니다. |
|
| 1257 |
21건대 40번
|
edga** |
2022-12-22 |
| 글제목 |
21건대 40번 |
| 작성자 |
edga** |
등록일 |
2022-12-22 |
|

|
|
| └ |
답변입니다. |
anamso** |
2022-12-23 |
| 글제목 |
답변입니다. |
| 작성자 |
anamso** |
등록일 |
2022-12-23 |
|
맞아요. F1,F2,F3 가 없죠.
이 문제는 발산정리를 쓰는게 아닙니다. 아마 시험장에서 많이 낚였을 거 같습니다.
x^2+y+z는 밀도입니다.

|
|
| 1256 |
20한양21번
|
ipsin** |
2022-12-22 |
| 글제목 |
20한양21번 |
| 작성자 |
ipsin** |
등록일 |
2022-12-22 |
|

답은 있는데 해설지가 없어서 이 문제 어떻게 풀어야 될 지 잘모르겠습니다.
+1만 없었다면 코시오일러방정식으로 풀면 됐을텐데.. 혹시 가능하시다면 풀이 올려주실 수 있으실까요 교수님? |
|
| └ |
답변입니다. |
anamso** |
2022-12-23 |
| 글제목 |
답변입니다. |
| 작성자 |
anamso** |
등록일 |
2022-12-23 |
|
계수감소법으로 합니다.
y1을 주지 않았으나, 알아서 y1=x겠구나 하고 푸는... 나쁜 문제네요.
게다가 계산이 너무 빡세서 안푸는게 이득인 문제입니다.

|
|
| 1255 |
연립미방구하기
|
ipsin** |
2022-12-22 |
| 글제목 |
연립미방구하기 |
| 작성자 |
ipsin** |
등록일 |
2022-12-22 |
|

|
|
| └ |
답변입니다. |
anamso** |
2022-12-23 |
| 글제목 |
답변입니다. |
| 작성자 |
anamso** |
등록일 |
2022-12-23 |
|
오른쪽 (3, -4) 는 보조해가 아닌 특수해입니다.
m 을 쓰는게 아니라 연산자 D를 써야합니다.
1/(D^2+1)*3 을 구해야합니다.
|
|
| 1254 |
20한양9번
|
ipsin** |
2022-12-22 |
| 글제목 |
20한양9번 |
| 작성자 |
ipsin** |
등록일 |
2022-12-22 |
|

제가 가지고 있는 해설지가 너무 이상해서 질문드리게 되었습니다.
아예 이 문제에 대한 해설이 없네요.. |
|
| └ |
답변입니다. |
anamso** |
2022-12-23 |
| 글제목 |
답변입니다. |
| 작성자 |
anamso** |
등록일 |
2022-12-23 |
|

|
|
| 1253 |
재질문
|
ipsin** |
2022-12-22 |
| 글제목 |
재질문 |
| 작성자 |
ipsin** |
등록일 |
2022-12-22 |
|
교수님 한양대3번 문제에서 다시 질문드립니다. 지수가 음수가 나올 수 없는 사실을 잘 아는데 애초에 다 양수값으로 나오는데요 교수님..? 제가 이상한건가요 ㅠㅠ 2+루트3은 당연히 양수값이고 2-루트3도 당연히 양수값이 나오는데 만약에 2-루트3이 음수값이었다면 당연히 정답이 될 수가 없었겠지만 2-루트3은 음수값이 아니라 양수값이 나옵니다. 애초에 루트3이 2보다 작은데 어떻게 2-루트3이 음수가 나오나요.. 제가 이상한가 생각이 들어서 계산기로 돌려도 절대로 음수값이 아니라 양수값인 0.26794919243 이 나오는데 흠...

|
|
| └ |
답변입니다. |
anamso** |
2022-12-23 |
| 글제목 |
답변입니다. |
| 작성자 |
anamso** |
등록일 |
2022-12-23 |
|
그러네요.
cosh^-1(x)=ln(x+root(x^-1)) 인데요.
이것도 근의공식인데 - 를 선택하지 않는 이유가 ln 값에 - 나와서 인데요.
이값은 + 인데..
저도 이유를 생각해봤는데
2-root3 집어넣으면 sinhx 가 음수가 나오는데요.
역함수 정의시 증가구간만 정의하는데 coshx는 sinhx가 음수가 나오는 값에서 정의가 되지 않거든요.
그래서 coshx와 sinhx 가 양수가 나온 값만 정의해줘야하는거 같습니다.
문제풀때 + 선택해주세요. |
|
| 1252 |
20한양7번
|
ipsin** |
2022-12-21 |
| 글제목 |
20한양7번 |
| 작성자 |
ipsin** |
등록일 |
2022-12-21 |
|

|
|
| └ |
답변입니다! |
anamso** |
2022-12-22 |
| 글제목 |
답변입니다! |
| 작성자 |
anamso** |
등록일 |
2022-12-22 |
|
d세타인 경우는 당연히 2pi가 맞습니다.
ds=root(1+y`^2)dx 이고 x변수이니 x가 보다시피 6pi이니 6pi 가 맞구요.
매개변수로 푸냐, y=f(x0로 푸냐의 차입니다. 물론 일반적으로 매개변수로 푸는게 좋습니다. |
|
| 1251 |
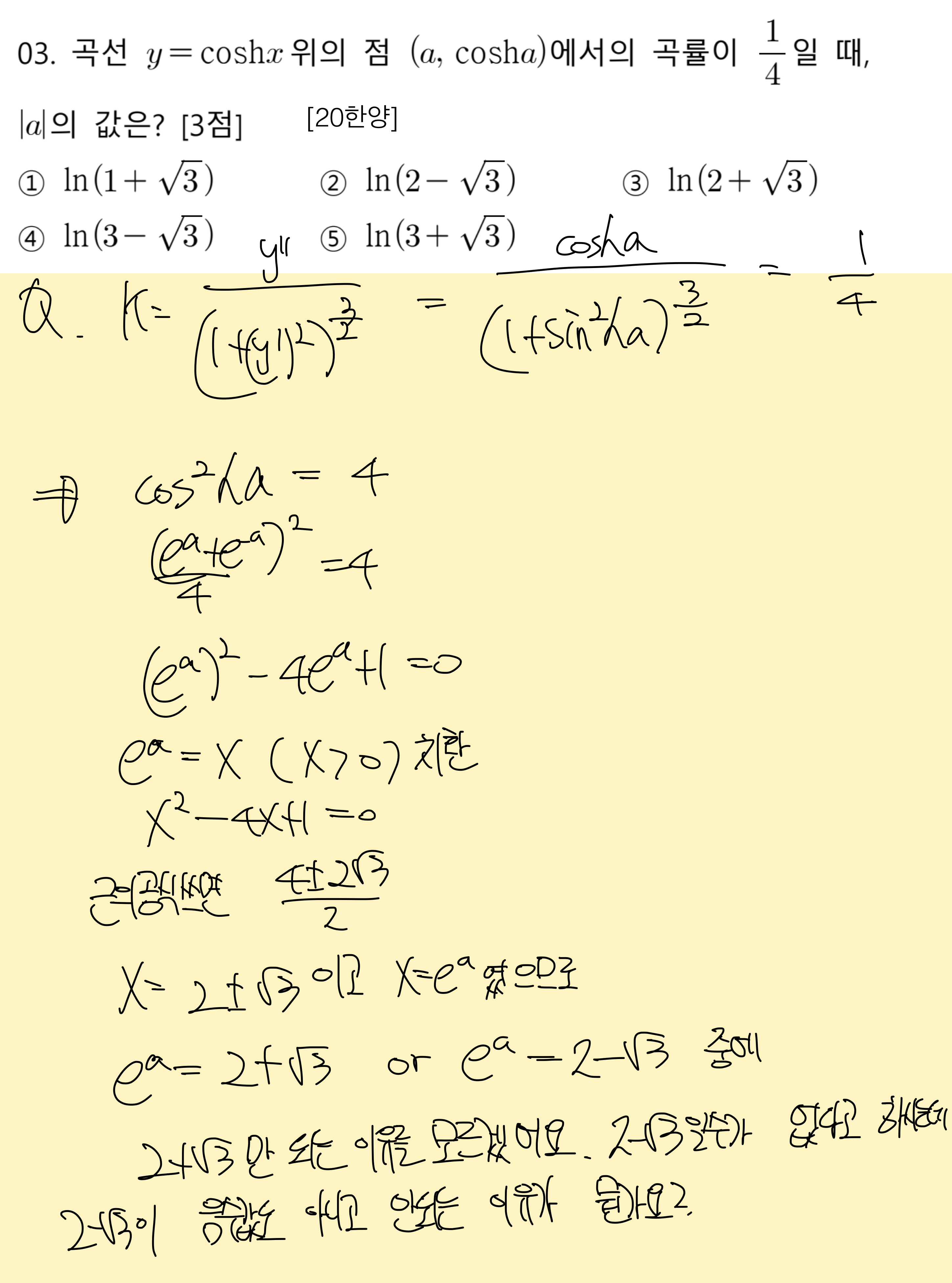
20한양3번
|
ipsin** |
2022-12-21 |
| 글제목 |
20한양3번 |
| 작성자 |
ipsin** |
등록일 |
2022-12-21 |
|

비록 절댓값a라고 적혀있지만 2-루트3 이나 2+루트3이나 똑같이 양수값이라서 절댓값이 의미가 없는데..
왜 2+루트3은 되고 2-루트3인지 곰곰히 생각을 해봐도 그렇게 되는 이유를 모르겠습니다. |
|
| └ |
답변입니다! |
anamso** |
2022-12-22 |
| 글제목 |
답변입니다! |
| 작성자 |
anamso** |
등록일 |
2022-12-22 |
|
지수는 절대 음수가 나올 수 없기 떄문이죠! |
|
| 1250 |
21이대3번
|
ipsin** |
2022-12-21 |
| 글제목 |
21이대3번 |
| 작성자 |
ipsin** |
등록일 |
2022-12-21 |
|

|
|
| └ |
답변입니다! |
anamso** |
2022-12-22 |
| 글제목 |
답변입니다! |
| 작성자 |
anamso** |
등록일 |
2022-12-22 |
|
순열조합문제입니다,
확통에 대한 이해가 필요해요.
nCr=n!/(n-r)!r! 입니다.
n 개 중에 r개 뽑는 경우의 수와 n개 중에 n-r개를 제외하는 것은 같은 말입니다.
그래서 k개가 아닌 2021-k를 쓸수 있습니다.
3번 식도 nCr=n!/(n-r)!r!
에 n=2021 r=2021-k 집어넣고 전개하고 정리한 식입니다.
굳이 신경쓸 필요는 없는 문제 유형입니다.
|
|
| 1249 |
22건대 라그랑지문제
|
edga** |
2022-12-21 |
| 글제목 |
22건대 라그랑지문제 |
| 작성자 |
edga** |
등록일 |
2022-12-21 |
|

|
|
| └ |
답변입니다! |
anamso** |
2022-12-22 |
| 글제목 |
답변입니다! |
| 작성자 |
anamso** |
등록일 |
2022-12-22 |
|
라그랑지로 시간 내 풀기 힘듭니다. 저도 라그랑지 수업은 했지만
기출문제 풀 때는 라그랑지는 거의 쓰지 않죠.
주어진 조건은 구이고
xy+z^2의 최소값을 찾아야합니다.
z^2 을 처리해야합니다. z^2은 항상 양수 그것도 제곱이라 최솟값을 들려면 이 녀석을 죽여야죠.
z=0으로 처리합니다.
그러면 x^2+y^2=1 이 디고
xy의 최솟값 찾으면 됩니다.
여기서부터는 평소 알려드린 대로 x=cos, y=sin 집어넣으면 되겠죠?!
xy=costsint=1/2sin2t 최솟값 -1/2 |
|
| 1248 |
질량
|
ipsin** |
2022-12-21 |
| 글제목 |
질량 |
| 작성자 |
ipsin** |
등록일 |
2022-12-21 |
|

|
|
| └ |
답변입니다! |
anamso** |
2022-12-22 |
| 글제목 |
답변입니다! |
| 작성자 |
anamso** |
등록일 |
2022-12-22 |
|
면인 경우 밀도단위가 kg/m^2 길이인 경우 밀도 안위가 kg/m 로 바뀝니다.
|
|
| 1247 |
20 과기대 7
|
monge6** |
2022-12-21 |
| 글제목 |
20 과기대 7 |
| 작성자 |
monge6** |
등록일 |
2022-12-21 |
|

공간에서 두 직선 사이의 거리 문제 모르겠습니다..
|
|
| └ |
답변입니다. |
anamso** |
2022-12-22 |
| 글제목 |
답변입니다. |
| 작성자 |
anamso** |
등록일 |
2022-12-22 |
|
교재에서도 다뤘던 내용이에요. 두 직선사이의 거리.
고등학교 기하풀이도 있는데 숫자가 지저분해지면 고등기하풀이는 힘들기 떄문에
직선위에 평면 올려서 풉니다. 풀이는 아래

|
|
| 1246 |
20 과기대 12
|
monge6** |
2022-12-21 |
| 글제목 |
20 과기대 12 |
| 작성자 |
monge6** |
등록일 |
2022-12-21 |
|

여러 번 풀어봤는데 다 비슷한 오답이 나오고 못풀겠습니다.. 제 방법으로는 적분 계산이 상당히 더러운데 계산 실수를 한건지 아니면 풀이 방법이 아예 틀렸는지 모르겠습니다
|
|
| └ |
답변입니다! |
anamso** |
2022-12-22 |
| 글제목 |
답변입니다! |
| 작성자 |
anamso** |
등록일 |
2022-12-22 |
|
F1x 계산이 틀렸습니다.
계산은 아래 같은데....저도 부분적분까지는 도저히 못하겠네요,
출제자 납치해서 자리 앉혀서 하루종일 이 문제 풀게 만들고 싶...

|
|
| 1245 |
20 과기대 11
|
monge6** |
2022-12-21 |
| 글제목 |
20 과기대 11 |
| 작성자 |
monge6** |
등록일 |
2022-12-21 |
|

그린정리를 이용하는 문제인거같은데 힘의 생김새가 어마무시해서 계산할 엄두가 나지 않네요..
혹시 제 풀이 방법은 잘못된건가요? 어떻게 풀어야되나요 |
|
| └ |
답변입니다! |
anamso** |
2022-12-22 |
| 글제목 |
답변입니다! |
| 작성자 |
anamso** |
등록일 |
2022-12-22 |
|
맞아요. 계산할 염두가 안나죠.
이런 계산할 염두가 안나는 문제는 보통 포텐셜 함수관계입니다.
그런데 식이 복잡해서 포텐셜인지 체크하는 것도 시간소모가 많이 들죠?
그래서 그냥 포텐셜인걸 가정하고 풉니다.
어차피 시간 많이 쏟을바에 걍 틀리는게 맞는 판단이니까요.
그래서 포텐션인걸 가정하고
닫힌 범위 안에 1,1과 -1,-1이 포함되어있습니다.
이는 힘F에 분모에 0을 만들죠. 분모 0이라니 정상적인 상황이 아니죠.
만약 분모 0을 만들지 않았다면 아니면 포텐션함수는 처음 위치와 마지막 위치만 중요해서
한바퀴 돌면 값은 0 이죠. 그래서 항상 이런 문제는 답 0이 보기에 있습니다. 함정이죠.
그래서 포텐셜 함수의 다른 특징인 `경로 변경`을 합니다.
주로 cos과 sin을 많이 쓰죠, 계산상 유리하니까요.
문제는 이 문제는 어떤 cos과 sin을 취할지 힘들게 식이 복잡합니다.
출제자가 제정신이라면 이걸 계산하라고 낸 문제는 아닌거 같고 보통 다른 문제는 치환하면
안에 식이 이쁘게 1 나옵니다. 그리고 한바퀴 돌았으니 2pi가 보통 답이죠.
특이하게 힘이 2개라 4pi보기도 매력적입니다.
2pi와 4pi 중 찍고 넘어갑니다.
저도 이 문제를 시간 내 제대로 풀지 못합니다. 그렇게 풀어서는 안되구요.
PS: 질문할 때 다른 학생들도 같이 볼 수있게 00년도 00대학 00문제 라고 써주면 좋아요!
|
|
| 1244 |
20 과기대 20
|
monge6** |
2022-12-21 |
| 글제목 |
20 과기대 20 |
| 작성자 |
monge6** |
등록일 |
2022-12-21 |
|

처음 보는 문제 유형인데 아예 모르겠습니다..
|
|
| └ |
답변입니다! |
anamso** |
2022-12-22 |
| 글제목 |
답변입니다! |
| 작성자 |
anamso** |
등록일 |
2022-12-22 |
|
냉정하게 처음보는 문제 유형이 되면 안됩니다. ㅠ
물론 선형대수가 표현이 많이 바뀌죠.
영공간은 AX=0 은 기억나죠?!
그 A가 주어진 행렬이고 X에 들어간 녀석들이 바로 영공간입니다.
쌩으로 구해도 되지만 값들이 주어져있으니 집어넣어봅시다.
1번은 0이 안되고 2번도 0이 안되고 3번도 안되고 4번이 0이 되네요!
|
|