| 1384 |
19 과기대 20번 재질문
|
monge6** |
2023-01-03 |
| 글제목 |
19 과기대 20번 재질문 |
| 작성자 |
monge6** |
등록일 |
2023-01-03 |
|

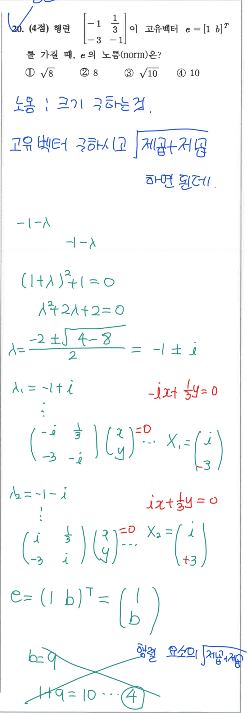
고유 벡터를 각각 구했는데
문제에서는 고유벡터를 1행 2열로 표현했는데
고유 벡터 2개를 어떻게 문제의 e의 형태로 나타낼수있는거죠? |
|
| └ |
답변입니다! |
anamso** |
2023-01-05 |
| 글제목 |
답변입니다! |
| 작성자 |
anamso** |
등록일 |
2023-01-05 |
|
요건 고유벡터 구할 때 많이 해봤던 연산인데요.
단순하게 구하는 법만 다시 알려줄게요,
ix+1/3y=0 을 구했죠?
분수 있으면 계산이 힘들어지니 x3 해서
3ix+y=0 으로 할게요.
요기서 x=1 넣어볼까요?
3i+y=0 이죠 그럼 y=-3i가 되어야합니다.
그럼 x=1 y=-3i가 고유벡터입니다.
다만 복소수가 담긴 크기를 계산할 떄는 i는 제곱하지 않기에
루트 1+9 가 되는 것입니다.
이 문제는 복소수크기를 몰라서 틀린 수험생이 많았을 거 같아요. 한번 씩은 배워도 사실상 중앙대를 제외하고 복소수 크기를 구할 일은 거의 없죠. |
|
| 1383 |
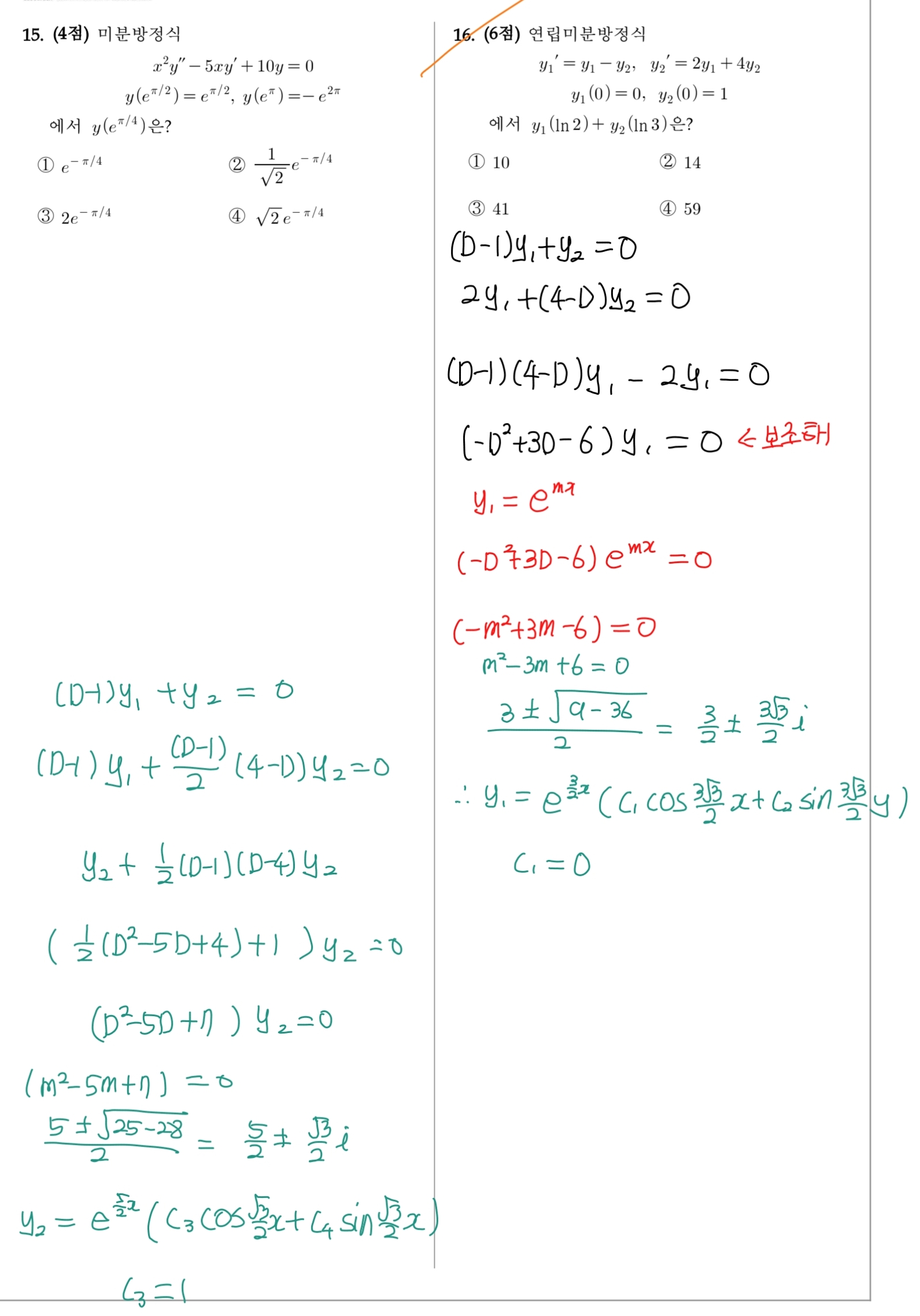
18 과기대 16번
|
monge6** |
2023-01-03 |
| 글제목 |
18 과기대 16번 |
| 작성자 |
monge6** |
등록일 |
2023-01-03 |
|

사진이 옆으로 길어서 옆에도 있습니다.
연립 미분방정식 푸는데 보조해 구하는데 미분연산자 사용했는데 보조해를 구할때는 무조건 행렬을 이용하는게 나은건가요?
미분연산자 사용하니까 못구하겠습니다.. |
|
| └ |
답변입니다! |
anamso** |
2023-01-05 |
| 글제목 |
답변입니다! |
| 작성자 |
anamso** |
등록일 |
2023-01-05 |
|
보조해만 물어본다면 행렬이 더 좋긴 합니다.
그런데 그래도 연산자로도 할 수 있어야 해서 연습해둬야 해요.
지금 연산자가 복소수가 나왔는데.
저렇게 복소수나 루트 나오는 연산자를 주는 학교는 없습니다.
연산 실수입니다.
(D-1)(4-D)y-2y=0
풀면 D^2-5D+6 이 나옵니다. |
|
| 1382 |
시험 관련 질문
|
monge6** |
2023-01-03 |
| 글제목 |
시험 관련 질문 |
| 작성자 |
monge6** |
등록일 |
2023-01-03 |
|
기출문제 좀 풀어보니까 답을 찍어야되는 상황이 좀 생기는데 찍는데 효율적인 방법이 있을까요?
제가 세종대와 과기대를 지원했는데 두 학교 모두 오답감점제이더라구요. 그래서 답을 아예 모르겠는 문제를 찍는게 나은지 그냥 안찍는게 나은지 잘모르겠습니다..
세종대와 과기대 둘 다 번호 수를 조금 맞추는거같은데
학교마다 정답 번호 갯수를 맞추는지 아닌지 이런거도 생각해 가는게 좋을까요?
|
|
| └ |
답변입니다! |
anamso** |
2023-01-05 |
| 글제목 |
답변입니다! |
| 작성자 |
anamso** |
등록일 |
2023-01-05 |
|
감점이 있는 학교 있죠.
그런데 보통 5문제 중 찍어서 하나 맞추면 본전입니다.
제가 수험생이라면 내가 푼 건 대부분 맞다고 생각하고 적은 보기로 찍습니다.
어차피 내가 확실하게 푼 게 틀리면 붙을 수가 없잖아요?!
그럼 나머지 번호에 정답이 몰려 있을테고 거기 5개중 2만 맞춰도 이득이죠.
정답 번호 비율은 직접 학교별로 체크해보세요. 정확히 맞춰주는 학교도 있고 대충 맞춰주는 학교도 있습니다.
보통은 후반대 번호가 많긴 해요.
|
|
| 1381 |
직교행렬 질문 있습니다
|
sehyun07** |
2023-01-03 |
| 글제목 |
직교행렬 질문 있습니다 |
| 작성자 |
sehyun07** |
등록일 |
2023-01-03 |
|
실수 성분을 갖는 직교행렬의 고윳값은 반드시 1,-1을 포함한다. 라는 명제가 거짓이라고 알고 있습니다. 반례로 2X2 행렬의 a11항과 a22항이 1/2 이고 a12항과 a21항이 각각 -2분의 루트 3 , 2분의 루트 3 이면 고유치가 허수가 나오기 때문에라고 들었습니다
그런데 선형대수 책 107쪽의 성질 (4)번에 직교행렬의 고유치 중에 -1,1이 존재한다. 라는 명제가 참이라고 나와있는데 어떻게 이해하면 되는 건가요? 위 반례는 -1,1을 포함하지 않는데 말이에요.... |
|
| └ |
답변입니다! |
anamso** |
2023-01-05 |
| 글제목 |
답변입니다! |
| 작성자 |
anamso** |
등록일 |
2023-01-05 |
|
답변 많이 밀려서 늦었네요 미안해요 ㅠ
우리가 기본적으로는 실수를 베이스로 하니까 그렇게 적혀있었습니다.
정확히는 그 문장에 (실수 전제하에)를 삽입해야겠네요. ㅠ
그런데 지금 물어본 질문이 담긴 기출이 있었나요?!
|
|
| 1380 |
17 과기대 20
|
monge6** |
2023-01-03 |
| 글제목 |
17 과기대 20 |
| 작성자 |
monge6** |
등록일 |
2023-01-03 |
|

3차원 공간을 형성하려면 부분공간이 저렇게 있어야된다는건 기억이 나는데
문제는 어떻게 풀어야되는지 모르겠습니다 .. |
|
| └ |
답변입니다! |
anamso** |
2023-01-05 |
| 글제목 |
답변입니다! |
| 작성자 |
anamso** |
등록일 |
2023-01-05 |
|
찐벡턱의 수만큼 공간을 이루죠
찐벡터 2개면 2차원이구요
지금 벡터4개인데 3차원을 형성 못한다 했으니
찐벡터개수가 1개이거나 2개이거나해야겠네요.
그말은 랭크값이 2이하죠. 랭크 2이하인걸 보이면 됩니다. |
|
| 1379 |
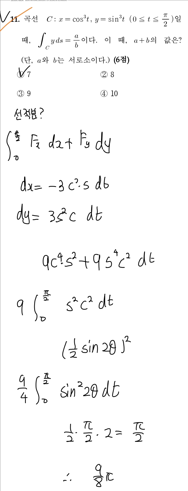
17 과기대 11
|
monge6** |
2023-01-03 |
| 글제목 |
17 과기대 11 |
| 작성자 |
monge6** |
등록일 |
2023-01-03 |
|

선적분인거 같아서 풀어봤는데 어디서 잘못한건지 잘모르겠어요..
이해를 한게하니라 문제푸는 방법을 외워서 풀어서 그런지 잘못풀겠네요.. |
|
| └ |
답변입니다! |
anamso** |
2023-01-05 |
| 글제목 |
답변입니다! |
| 작성자 |
anamso** |
등록일 |
2023-01-05 |
|
벡터선적분이 아니라 스칼라 선적분입니다.
문제에서 F1과 F2는 존재하지 않아요.
y=sin^3 ds=root(x'^2+y'^2)dt로 적분 풀이해야합니다.
|
|
| 1378 |
18 과기대 20
|
monge6** |
2023-01-03 |
| 글제목 |
18 과기대 20 |
| 작성자 |
monge6** |
등록일 |
2023-01-03 |
|

일단 뭐라도 좀 끄적여봤는데
Aw=v 라는게 무슨 의미인지 모르겠습니다.. |
|
| └ |
답변입니다! |
anamso** |
2023-01-05 |
| 글제목 |
답변입니다! |
| 작성자 |
anamso** |
등록일 |
2023-01-05 |
|
말그래도 Aw=v 만족하는 i 구합니다.
Aw=v1 이 되는지 Aw=v2 이 성립하는지 판단합니다.
이 문제는 4x4리 직접 구하긴 부담스럽고
행렬에서 연립방정식의 해 파트와 연결지어 생각해야 합니다. 물론 솔직히 이 판단이 쉽진 않습니다. 자주 나오는 유형도 아니기에.
연립방정식의 해의 존재 유뮤 판단할댸
AX=b 이런식으로 했죠.
해가 존재한다면 계수rank=첨가rank 조건이 됩니다.
그래서 이걸 다 해야합니다.
하나만 하자면
0 3 2 6 1 1 5 3 1 5 0 0 5 3 0 0 4 0 5 3 0 0 4 0
랭크하면
0 3 2 6 1 1 0 0 1 5 0 0 0 0 0 0 4 0 0 0 0 0 0
계수rank=3
첨가 rank=3 이니 해 존재합니다. |
|
| 1377 |
18 과기대 19
|
monge6** |
2023-01-03 |
| 글제목 |
18 과기대 19 |
| 작성자 |
monge6** |
등록일 |
2023-01-03 |
|

문제에서 행렬 C가 행렬A의 역행렬의 전치행렬이라고 생각했습니다.
전치행렬과 그냥 행렬의 각각의 행렬식은 같으니까 위에 써놓은거처럼 했는데요..
행렬식 정리해서 행렬식을 구하니까 12가 나왔는데.. 여기서 어떻게 해야할지 모르겠습니다.. |
|
| └ |
답변입니다! |
anamso** |
2023-01-05 |
| 글제목 |
답변입니다! |
| 작성자 |
anamso** |
등록일 |
2023-01-05 |
|
문제 표현이 상당히 헷갈리게 설명해놨는데
결국 여인수로 이루어진 행렬이니 수반행렬입니다. 다만 전치를 한 것이죠,
역행렬은 아닙니다. 역행렬은 수반행렬의 행렬식은 나눠야하는데 그런말은 안나와있습니다.
C=[ajdA]^T 이고 행렬식 씌우면 됩니다. 씌우면 수반행렬식 정의에 의해
|A|^3이 나오고 |A| 구하면 됩니다.행렬식은 2가 나오는데
써준거에서 밑에 10과 26이 어떻게 지워졌는진 모르겠네요.
지우기전 구한 행렬식만으로도 이미 2가 나옵니다. |
|
| 1376 |
18 과기대 18
|
monge6** |
2023-01-03 |
| 글제목 |
18 과기대 18 |
| 작성자 |
monge6** |
등록일 |
2023-01-03 |
|

고유값의 곱과 합으로 고유값을 구하려고했는데
일단 블록행렬을 써서 행렬식 값을 구하고 주대각선의 합으로 둘을 연립해서 풀어보려고했는데
(람다1-람다2)^2 값이 음수가 나옵니다... 15^2-18*9*4 이거 인거같은데.. 여기서 막혔습니다..
|
|
| └ |
답변입니다! |
anamso** |
2023-01-05 |
| 글제목 |
답변입니다! |
| 작성자 |
anamso** |
등록일 |
2023-01-05 |
|
일단 왜 그렇게 풀었는지 모르겠지만 풀이가 위험하네요.
고유치의 합을 구하라고 했는데 모든 고유치의 합을 구하는게 아니라
그냥 고유치 직접 구해야합니다.
주대각 -람다를 하시고 블록 행렳식 이용해서 람다 직접 구해야합니다.
그러면 3 3 3 6 이 나옵니다.
|
|
| 1375 |
18 과기대 17
|
monge6** |
2023-01-03 |
| 글제목 |
18 과기대 17 |
| 작성자 |
monge6** |
등록일 |
2023-01-03 |
|

ㄱ은 무슨 뜻인지 잘모르겠습니다.
ㄴ은 A^tX 와 AX와 같지 않으니까 다르다고 해야하는건가요? ㄷ은 특성다항식이 같으면 고유치도 같으니까 유사한게 맞다고 생각합니다. ㄹ은 고유치가 다 다르니까 고유벡터도 다 독립하다고 생각하면 P의 행렬식 값이 존재하니까 맞는거 같은데 맞나요? |
|
| └ |
답변입니다! |
anamso** |
2023-01-05 |
| 글제목 |
답변입니다! |
| 작성자 |
anamso** |
등록일 |
2023-01-05 |
|
AX=람다X
람다가 1인 고유벡터 X가 존재하냐는 말입니다. rank가 5이면서요.
예를 집어넣는 수 밖에 없는데 가장 쉬운 예는 단위행렬이겠죠.
I 인 경우 고유치가 1이면서 RANK 5이면서 벡터가 존재하겠죠.
해커스 해설에선 이게 무조건 갖지 않는다라서 틀린 보기로 해놨던데..
문제에서 무조건 이란 말은 없는데 왜 틀린 보기로 했는지 이해가 되진 않네요.
'존재한다' 라는 의미는 보통 '존재할 수도 있다'라고 해석하는게 정상이거든요.
아마 당시 공개된 과기대 답이 ㄱ을 틀린 보기로 한 거 같은데요.
솔직히 출제자가 국어를 못해서 낸 오류 같습니다.
ㄴ. 그냥 예를 직접 해보고 판단해야합니다. 아무 A와 A^t 고유치 직접구해보세요.
그럼 고유치가 같습니다. 그러니 고유다항식도 같겠죠.
ㄷ. 사실 당연한 말이구요.
ㄹ 말대로 고유치가 다르니 |p| 존재하고 당연 ㅇㅋ입니다.
|
|
| 1374 |
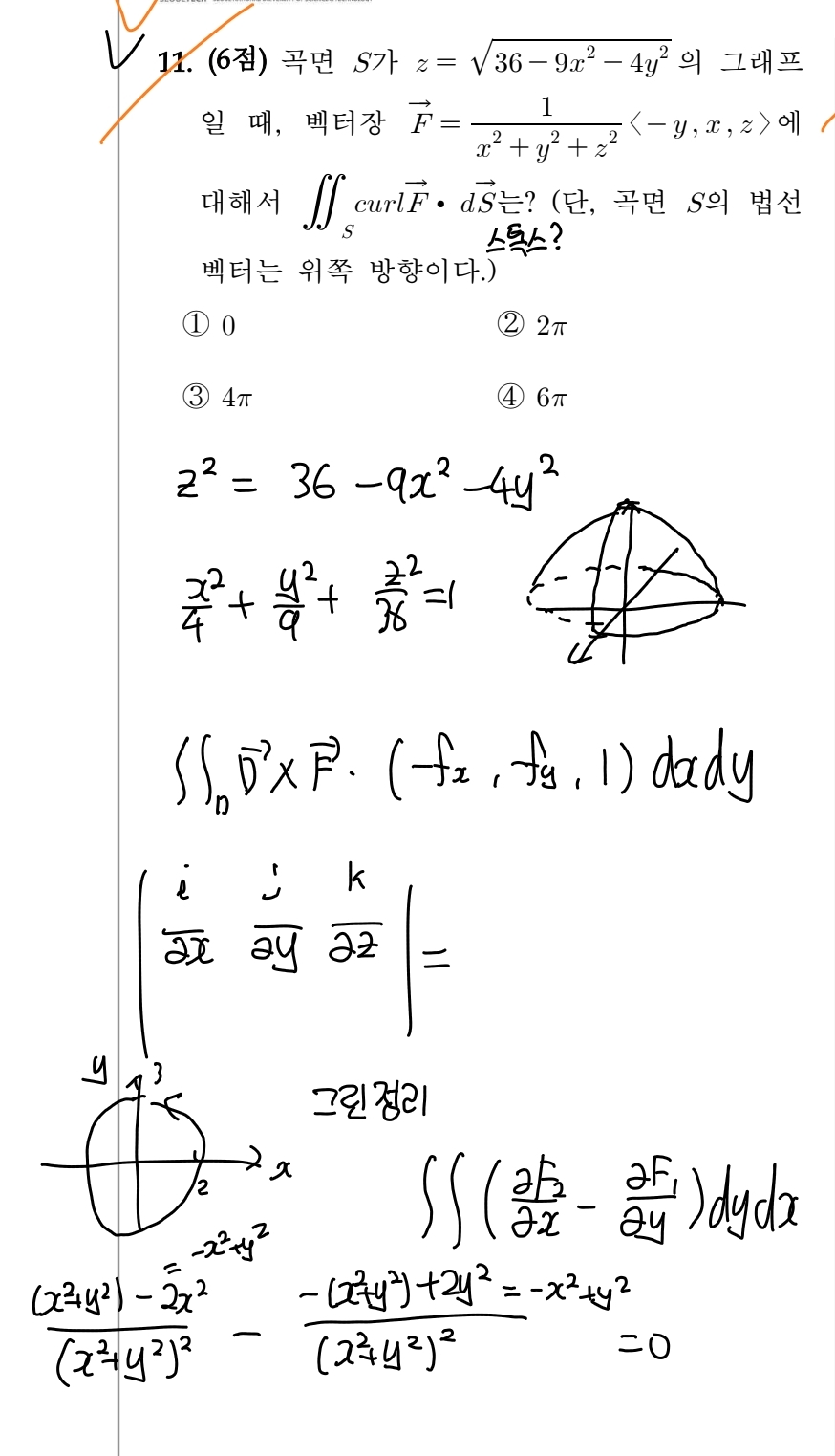
18 과기대 12
|
monge6** |
2023-01-03 |
| 글제목 |
18 과기대 12 |
| 작성자 |
monge6** |
등록일 |
2023-01-03 |
|

가우스 발산 정리를 사용하려고 했습니다.
힘을 미분하는 식이 엄청 더러웠는데 계산해보니까 0이 나왔습니다.. 여기는 계산 실수를 한거같긴한데
다시 풀어도 상수는 안나올거같더라구요 (x^2+y^2+z^2) 이 무조건 살아있을거같은데
곡면 s가 구 였으면 풀수있을거같은데 사면체라서 삼중적분 범위를 못구하겠습니다.. |
|
| └ |
답변입니다! |
anamso** |
2023-01-05 |
| 글제목 |
답변입니다! |
| 작성자 |
anamso** |
등록일 |
2023-01-05 |
|
정말 사악한 문제가 아닐 수 없습니다.
솔직히 과기대 대학원생까지 모아도 이 문제 못 풀 거 같은데요...
아무튼 힘들게 계산한게 맞습니다.
그래서 보기에 1번 0 이 낚이라고 있죠? 정말 욕나오는 출제자의 취향이네요.
바로 전 문제랑 같은 유형의 문젭니다.
또 분모함수가 있고 원점 포함하니 힘이 불연속점이 생기죠?
문제는 위 문제처럼 스톡스 선적분도 아니고 쉽게 구할 방법이 없습니다.
그래서 해커스 해설서에서도 걍 풀지말고 답을 외우라고 되어있습니다....
절대 못 푸는 문제에요. |
|
| 1373 |
18 과기대 11
|
monge6** |
2023-01-03 |
| 글제목 |
18 과기대 11 |
| 작성자 |
monge6** |
등록일 |
2023-01-03 |
|

처음에 스톡스 정리로 나와있어서 스톡스 정리로 풀려고했는데
계산이 너무 복잡할거같아서 생각을 좀 해보니까 강의에서 말씀해주신 선적분 면적을 나누어서 반시계로 돌리는걸 생각 하니까 반구에 그걸 적용해보면 xy평면에 타원을 따라서 한바퀴 도는거 밖에 안나올거같더라구요 그래서 z값을 생략하고 그린정리를 사용해도 되겠다고 생각했습니다. 그런데 미분을 해보니까 포텐셜 함수가 나오더라구요. 그럼 그린 정리를 못쓰고 f 식을 구해야 겠다고 생각했는데 생각해보니 3차원에서 시작과 끝을 못정하겠어서 못풀었습니다.. |
|
| └ |
답변입니다! |
anamso** |
2023-01-05 |
| 글제목 |
답변입니다! |
| 작성자 |
anamso** |
등록일 |
2023-01-05 |
|
조금 당황했을만한 문제인데요.
일단 포텔션 함수입니다. 그럼 답이 0 이 되어야겠죠? 한바퀴 돌고 제자리니까요.
사악하게 1번에 0 이 있습니다. 그래서 많은 수험생들이 1번을 체크했을 거 같기도 해요.
그런데 <-y,x>/x^2+y^2 문제 기억나시나요? 최근 공지 건대기출에서도 풀어드렸던 문제죠.
z=0이니 이 식이랑 같은 식입니다. 이걸 눈치채야했습니다.
이 경우, 한바퀴 돌아도 둘러싼 부분에 원점이 포함되면 분모가 0 되는 불연속 특이성 때문에
값이 0 이 되지 않습니다. 자세한 이유는 심오하니 그냥 그런가보다 외우는게 속편합니다.
그럼 어떻게야하냐? 포텐셜 함수는 경로 변경이 마음대로 가능하죠.
그래서 x=cost, y=sint 로 원으로 돌았따고 가정합니다.
그리고 식에 집어넣으면 대부분 이쁘게 1이 나오고 결국 돈 각도만 구하면 됩니다.
이 문제는 한바퀴니 2pi죠. |
|
| 1372 |
18 과기대 10
|
monge6** |
2023-01-03 |
| 글제목 |
18 과기대 10 |
| 작성자 |
monge6** |
등록일 |
2023-01-03 |
|

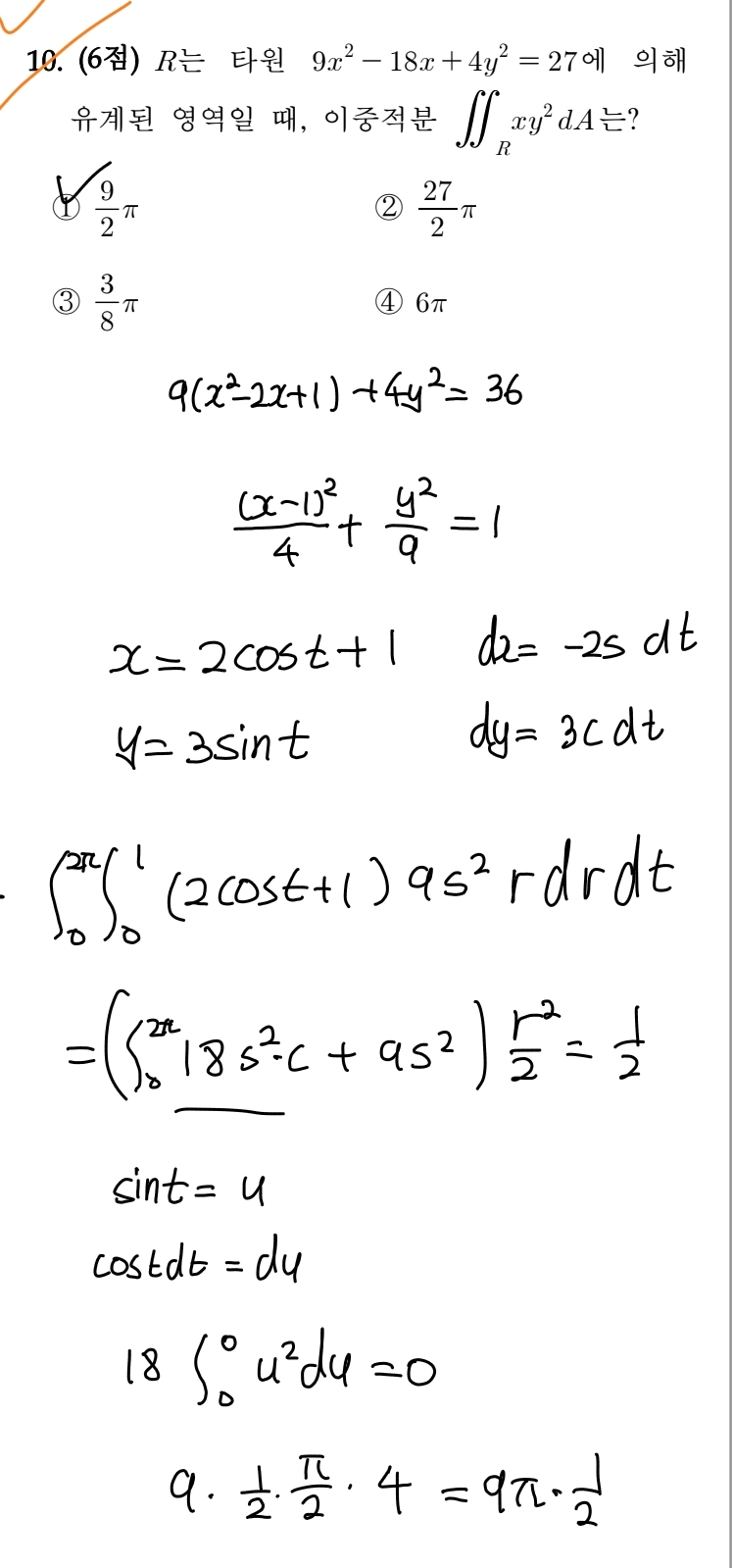
답이 나오긴했는데 틀렸습니다.
지금 고치려고 생각해보니까 x=2cost+1 이 아니라 그냥 x=2cost를 했어야 됬을거같기도한데
뭔가 타원의 중심이 원점도 아니고.. 좌표변환을 잘못한거같은데.. 모르겠습니다 |
|
| └ |
답변입니다! |
anamso** |
2023-01-05 |
| 글제목 |
답변입니다! |
| 작성자 |
anamso** |
등록일 |
2023-01-05 |
|
일반적인 극좌표와
치환이랑 혼동해서 한 풀입니다.
중적분에서 배운 극좌표의 r과 theta 와 치환한 r과 t를 섞어써서 그렇습니다.
그래서 중적분에서는 x-1=2u , y=3v 로 먼저 u^2+v^2=1 로 만들어 준 다음에 이 상태에서 극좌표로 단계적으로 바꺼야 실수를 안합니다.
|
|
| 1371 |
18 과기대 9
|
monge6** |
2023-01-03 |
| 글제목 |
18 과기대 9 |
| 작성자 |
monge6** |
등록일 |
2023-01-03 |
|

f(y,x) 를 해도 f와 달라지는게 없어서 x=y 대칭이라고 생각했습니다.
그래서 x의 범위가 나왔는데 뭔가 coshx와 비슷하게 만들수있을거같긴한데 x에 1처럼 간단한 숫자를 대입하는게 아니어서 객관식처럼 못만들겠더라구요.. 모르겠습니다 |
|
| └ |
답변입니다! |
anamso** |
2023-01-05 |
| 글제목 |
답변입니다! |
| 작성자 |
anamso** |
등록일 |
2023-01-05 |
|
f(y,x) 뿐 만 아니라 주어진 모든식이 y,x되야 해볼 수 있는 풀입니다.
x^2+2y^2 이니 못하죠.
일단 음수는 나올 수 없는 식이니 최솟값은 0일 수 밖에 없고
최댓값은 경계값에 있다고 가정해서
x=cost y=1/root2*sint
로 두고 해볼 수 있습니다.
그러면 (cos^2+1/2sin^2)e^-cos 이 되는데요.
해커스 기출 해설에서는 이 값을 미분해서 0 이 되는 값은 찾았습니다.
하지만 식이 복잡죠.
팁을 주자면 일반적으로 세타는 우리가 아는 0도 30도 45도 60도 90도 .. 처럼 우리가 아는 값에서 나옵니다.
그래서 직접 집어넣고 가장 큰 값을 찾아볼 수 있게습니다.
pi를 집어넣으면 e가 나오고 이 값이 가장 큽니다.
|
|
| 1370 |
18 과기대 7번
|
monge6** |
2023-01-03 |
| 글제목 |
18 과기대 7번 |
| 작성자 |
monge6** |
등록일 |
2023-01-03 |
|

뭔가 푸는 방법이 있는지 모르겠습니다.. 뭔가 안배운거같은 느낌도 드는데 못풀겠어요
혹시 미분하면서 x=0 대입하다보면 간단해지는 규칙을 찾을 수 있을까 해봤는데
두 번 미분하는거부터 엄청 복잡해져서 이 방법으로는 못할거같다고 생각했습니다 |
|
| └ |
답변입니다! |
anamso** |
2023-01-05 |
| 글제목 |
답변입니다! |
| 작성자 |
anamso** |
등록일 |
2023-01-05 |
|
당연히 이 문제랑 완전 똑같은 문제는 어느 누구도 풀어 본 적이 없습니다. 이 문제를 직접 접하기 전 까지는요. 과기대 문제는 그런 부분이 더욱 심합니다. 이 문제는 고등수학 확통 부분에 nCr을 이용해 전개를 의도한 문제인지 모르겠으나 지금 그걸 다시 배울 순 없고 항이 적으니 그냥 전개해버립니다.
(1+x)(1+2x^2)(1+3x^3)(1+4x^4)(1+5x^5)(1+6x^6) 인데
각항에서 각각 (1)(1)(3x^3)(4x^4)(1)(1)=12 (1)(2x^2)(1)(5x^5)(1)(1)=10 (x)(1)(1)(1)(1)(6x^6)=6 (x)(2x^2)(1)(4x^4)(1)(1)=8
36x^7 이 나오네요.
|
|