| 1333 |
미분 2 교재 324쪽 적분 문제 질문 있습니다
|
sehyun07** |
2022-12-31 |
| 글제목 |
미분 2 교재 324쪽 적분 문제 질문 있습니다 |
| 작성자 |
sehyun07** |
등록일 |
2022-12-31 |
|
대표 기출유형 8번 324쪽 문제 tan-x/x를 무한대까지 적분하는게 있는데 이를 라플라스로 어떻게 푸는지 잘 모르겠습니다 ㅠㅠ
공식을 쓴다고 하면 tan-x의 라플라스를 구해야 하지 않습니까? 어떻게 구하는지 잘 모르겠습니다 |
|
| └ |
흑흑 |
anamso** |
2023-01-01 |
| 글제목 |
흑흑 |
| 작성자 |
anamso** |
등록일 |
2023-01-01 |
|
전에도 다른 학생이 질문을 했떤 문제인데요.
맞아요. 해설도 저도 라플라스 형태라 라플라스로 풀 수 있다고 말은했는데요
문제는 우리가 라플라스 아크탄젠트 공식을 외우지 않았어요 ㅠ
저도 찾아봤는데 아크탄젠트 라플라스는...외우지 못할 정도로 식이 복잡해요.
그래서 이 문제는 해설대로 중적분형태로 바꿔서 풀어야합니다. 사실 그 방법도 쉽지는 않죠..
|
|
| 1332 |
19중대17번
|
ipsin** |
2022-12-31 |
| 글제목 |
19중대17번 |
| 작성자 |
ipsin** |
등록일 |
2022-12-31 |
|

이 문제도 뭔가 경희대쳤을 때와 같은 느낌을 받은 문제인데
선지만 보면 딱 코싸인과 싸인안에 lnx가 들어가 있으면 코시오일러방정식이겠구나라고 생각하다가 코시방은 y미분한 갯수만큼 앞에 x의 승도 따라나오는데 위 문제는 그런게 아니라 x에 대한 식이 붙어있고.. 그러면 딱 형태가 계수감소법의 형태인데.. 그러려면 y1에 대한 식을 알아야 되는데 애초에 y1에 대한 식을 구해서 해야되는게 맞는건지 확신도 안가고 해서 지금 시점에 깊게 혼자서 고민하는 것보다 빠르게 질문해서 해결하는게 낫겠다 싶어서 교수님께 질문 드리게 되었습니다. |
|
| └ |
답변입니다! |
anamso** |
2023-01-01 |
| 글제목 |
답변입니다! |
| 작성자 |
anamso** |
등록일 |
2023-01-01 |
|
일단 대놓고 x+2 묶을 수 있고 묶었다는건 치환을 많이하죠
x+2=z 로 치환하면 정확히 코시오일러입니다.
보기도 코시오일러 식이구요.
계수감소법은 너무 나간 문제네요.y1을 주지 않았고 y1=x 로 두고 해도 나오지 않구요.
참고로 중대 공수는 한양대처럼 과하지 않습니다. 정석대로 나가도 좋아요.

|
|
| 1331 |
21한양24번
|
ipsin** |
2022-12-30 |
| 글제목 |
21한양24번 |
| 작성자 |
ipsin** |
등록일 |
2022-12-30 |
|

|
|
| └ |
답변입니다! |
anamso** |
2023-01-01 |
| 글제목 |
답변입니다! |
| 작성자 |
anamso** |
등록일 |
2023-01-01 |
|
기저행렬 변환 행렬A 찾는 문제입니다.
현장에서 푸는 건 힘든 문제구요.
주어진 행렬로 v1,v2,v3,v4 다 돌려보면
T(v1)=2v1+v2 T(v2)=2v2+v3 T(v3)=2v3 T(v4)=2v4
가 나옵니다.
T^2(v1)은 T(T(v1))=T(2v1+v2)=2T(v1)+T(v2)=4v1+4v2+v3 가 나옵니다.
정리된걸로 행렬을 구하면( 기저행렬일 때는 항상 벡터 세로적기)
1 2 4 0 0 1 4 0 0 0 1 0 0 0 0 1
입니다. 아마 여기까지 수험생들이 하고 답을 적었을겁니다.
하지만 아쉽게도 이것은 문제에서 요구한 기저변환행렬이 아닙니다.
기저 변환 다른 문제를 보면 알겠지만
알파(이동전) -> 베타(이동후) 에 관한 행렬표현을 구하시오. 보통 이렇게 문구를 줍니다.
하지만 이 문제는 베타에 관한 행렬표현을 구하시오라고만 나왔죠? 맨위에 적인 기저v1,v2,v3,v4 를 알파로 취급했으면 안됩니다.
결국 이 문제는 베타->베타 행렬을 구하는 것입니다.
위에서 구한건 알파->베타 것이구요.
해설에서 보듯이 역행렬을 구하고 이상한 행렬로 푼 것이 알파->베타로 구한것인데..계산기 없으면 그거 못합니다.
|
|
| 1330 |
21한양 15번
|
ipsin** |
2022-12-30 |
| 글제목 |
21한양 15번 |
| 작성자 |
ipsin** |
등록일 |
2022-12-30 |
|

|
|
| └ |
답변입니다! |
anamso** |
2023-01-01 |
| 글제목 |
답변입니다! |
| 작성자 |
anamso** |
등록일 |
2023-01-01 |
|
그냥 표현법일 뿐입니다. 그냥 1
+ 를 합집한 개념으로 생각해서 오인한것입니다.
(AUB)교집합C=(A교집한C) U (B교집한C) 이건 고등학교 떄 많이 외운 집합 공식이죠.
하지만 여기서 + 합집합이랑 비슷하면서도 다릅니다. 비슷하면서 다르다는게 좀 이해하기 힘들죠?
그걸 세세히 따지는 건 더 복잡해질 뿐 그냥 반례를 찾아보는게 가장 좋습니다.
1,0,0 0,1,0 1,1,0 을 W1,W2,W3에 집어넣으면
W1+W2=1,1,0 과 W3 는 같으로 1,1,0 그 자체가 됩니다.
하지만 W1과 W3 그리고 W2와 W3를 각각 비교하면 0벡터를 제외하고 없습니다. |
|
| 1329 |
21한양22번
|
ipsin** |
2022-12-30 |
| 글제목 |
21한양22번 |
| 작성자 |
ipsin** |
등록일 |
2022-12-30 |
|

곡면의 넓이를 구하라고 하니까 겉넓이를 구해야 되겠다는 건 알고있는데
손을 못대겠네요.. 해설지에서는 갑자기 법벡터?뭐 써가지고 풀던데 무슨 말인지 몰라서 질문드려봤습니다! |
|
| └ |
답변입니다! |
anamso** |
2023-01-01 |
| 글제목 |
답변입니다! |
| 작성자 |
anamso** |
등록일 |
2023-01-01 |
|
곡면이 매개변수로 이루어진 면적분입니다.
미적분2 교재 415p 내용인데요.
너무 어려운 부분이라 올 강의는 이 내용을 잠깐 언급하고 스킵했던걸로 기억납니다.
그래서 이 문제는 임시적으로 외우셔서 푸셔야합니다.
F(u,v) 를 FuxFv 외적을한 값의 크기를
즉 더블인테그랄|FuxFv| 적분하시면 답은 나옵니다. |
|
| 1328 |
21한양11번
|
ipsin** |
2022-12-30 |
| 글제목 |
21한양11번 |
| 작성자 |
ipsin** |
등록일 |
2022-12-30 |
|

이 문제 어떻게 접근해야 할까요..?
|
|
| └ |
답변입니다! |
anamso** |
2023-01-01 |
| 글제목 |
답변입니다! |
| 작성자 |
anamso** |
등록일 |
2023-01-01 |
|
관계식이 4개 주어져있는데요.
1번째는 행의 합은 0 2번째는 열의 합은 0
이란 얘기네요.
3번째는 traceA=0 번쨰는 주대각선이 아닌 대각선의 합은 0 이란 뜻이구요,
이런 조건의 행렬 U와
반대칭이라는 행렬 W와의 차원을 구하란 얘깁니다.
W 반대칭의 차원이야 쉽지만 U의 조건은 까다로와서 풀만하지 않습니다.
저도 저 시험장에 있었다면 딱 여기까지입니다.
그 이하 풀이는 해설에도 되어있다시피
a b c d e f g h i
로 두고 연립을 했을겁니다.
행합 a+b+c=0 열합 a+d+g=0 주대각 a+e+i=0 대각 g+e+c=0 이런 식으로 연립해서 차원을 구했겠죠.
그런데 dim(U+W)=dimU+dimW-dimU교집한W
dimU교집한W 까지 구해야겠네요. |
|
| 1327 |
21한양18번 공수
|
ipsin** |
2022-12-30 |
| 글제목 |
21한양18번 공수 |
| 작성자 |
ipsin** |
등록일 |
2022-12-30 |
|

|
|
| └ |
답변입니다! |
anamso** |
2023-01-01 |
| 글제목 |
답변입니다! |
| 작성자 |
anamso** |
등록일 |
2023-01-01 |
|
식을 변형해주기 전엔 안 풀립니다.
해설 풀이 외우셔야합니다. 제 풀이랑 해설이랑 다르지는 않을겁니다.

|
|
| 1326 |
맥클로린..
|
ipsin** |
2022-12-30 |
| 글제목 |
맥클로린.. |
| 작성자 |
ipsin** |
등록일 |
2022-12-30 |
|

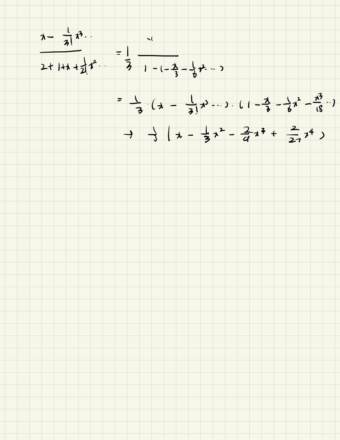
애초에 분자식도 그렇고 분모식도 그렇고 다 덧셈인 형태인데..
어떻게 저렇게 ㄴ식처럼 깔끔하게 만들어줄 수 있나요..? ' 예를 들면 밑의 사진과 같습니다.. 
|
|
| └ |
답변입니다! |
anamso** |
2023-01-01 |
| 글제목 |
답변입니다! |
| 작성자 |
anamso** |
등록일 |
2023-01-01 |
|
1/1-x를 곱한것을 생략했네요.

|
|
| 1325 |
21 세종대 오전 24번
|
monge6** |
2022-12-30 |
| 글제목 |
21 세종대 오전 24번 |
| 작성자 |
monge6** |
등록일 |
2022-12-30 |
|

영역 E 구하고 원기둥처럼 나와서 극좌표계로 바꿔서 풀어보려고했는데
r값의 적분 범위를 어떻게 표현해야할지 모르겠습니다. |
|
| └ |
답변입니다! |
anamso** |
2022-12-31 |
| 글제목 |
답변입니다! |
| 작성자 |
anamso** |
등록일 |
2022-12-31 |
|
r값이 y=f(z) 까지인데...다행히 주어진 식에서 지워져서 처리가 됩니다.

|
|
| 1324 |
21 세종대 오전 23번
|
monge6** |
2022-12-30 |
| 글제목 |
21 세종대 오전 23번 |
| 작성자 |
monge6** |
등록일 |
2022-12-30 |
|

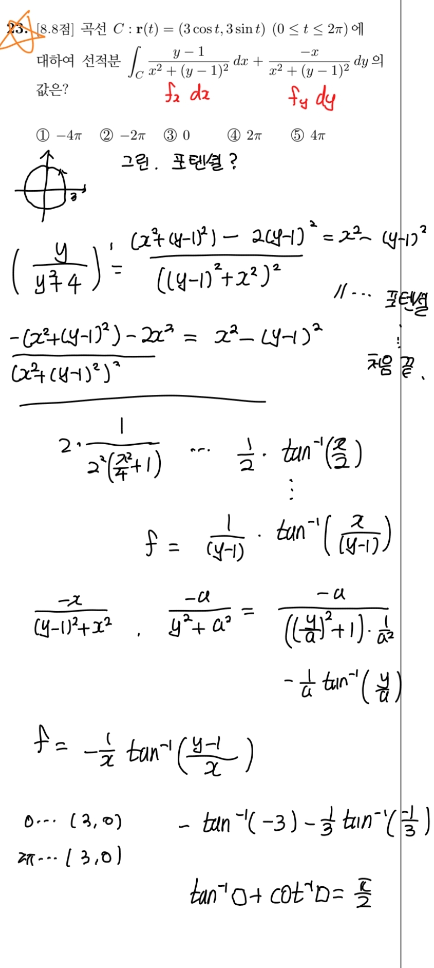
포텐셜 함수로 나와서 열심히 풀어봤는데 어딘가 잘못푼건지 못풀겠습니다.. |
|
| └ |
답변입니다! |
anamso** |
2022-12-31 |
| 글제목 |
답변입니다! |
| 작성자 |
anamso** |
등록일 |
2022-12-31 |
|
이런 문제 조건은 포텐셜일 확률 99퍼죠.
그리고 0,1이 둘러싸고 있으니 0은 아닙니다.
그럼 경로 변경으로 풀어야죠.
분모가 이쁘게 바뀌는 쪽으로 경로 변경해주면 됩니다.
x=cost y=sint+1로 바꾸고 선적분하면 됩니다.
이런 문제유형에서 x,y로 두고 푸는 경우는 없습니다.
무조건 x,y를 적분하기 좋게 변경해서 풀면 됩니다. |
|
| 1323 |
21 세종대 오전 21번
|
monge6** |
2022-12-30 |
| 글제목 |
21 세종대 오전 21번 |
| 작성자 |
monge6** |
등록일 |
2022-12-30 |
|

모르겠습니다...
|
|
| └ |
답변입니다! |
anamso** |
2022-12-31 |
| 글제목 |
답변입니다! |
| 작성자 |
anamso** |
등록일 |
2022-12-31 |
|
유리함수이니 분리해서 풀어야합니다.
이건 제가 푸나 해설지 풀이나 같습니다.
A/x+B/x^2+C/x^3+D/(x+1)+E(x^2+1) 로 풀어서 A,B,C,D 다 구해서 풀어야합니다.
수업 중에는 풀면 시간잡아먹어서 넘기라고 했던 유형이었쬬, |
|
| 1322 |
21 세종대 오전 19번
|
monge6** |
2022-12-30 |
| 글제목 |
21 세종대 오전 19번 |
| 작성자 |
monge6** |
등록일 |
2022-12-30 |
|

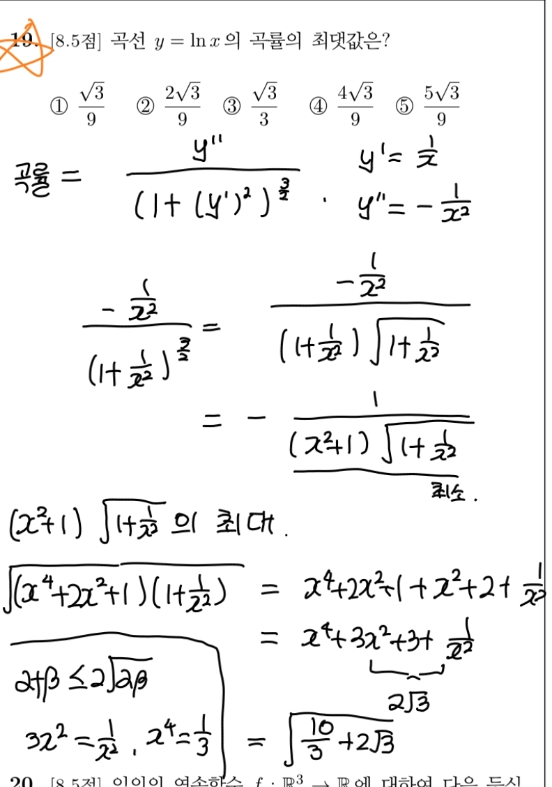
곡률 공식을 써서 풀어보려고했는데 못풀겠습니다 |
|
| └ |
답변입니다! |
anamso** |
2022-12-31 |
| 글제목 |
답변입니다! |
| 작성자 |
anamso** |
등록일 |
2022-12-31 |
|
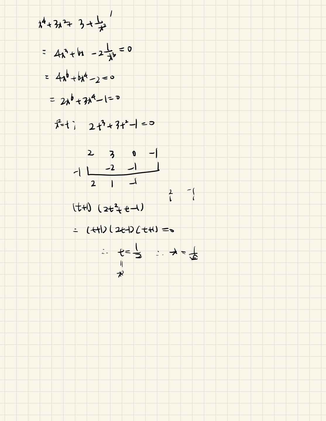
다른 x^4 를 남기고 산술기하 평균 쓰면 안됩니다.
식이 많이 더럽네요. 세종대답네요.
풀이는 아래와 같습니다.

|
|
| 1321 |
21 세종대 오전 14번
|
monge6** |
2022-12-30 |
| 글제목 |
21 세종대 오전 14번 |
| 작성자 |
monge6** |
등록일 |
2022-12-30 |
|

V^t가 뭔지 모르겠습니다..
|
|
| └ |
답변입니다! |
anamso** |
2022-12-31 |
| 글제목 |
답변입니다! |
| 작성자 |
anamso** |
등록일 |
2022-12-31 |
|
그냥 v 벡터를 꼽고 돌린겁니다.
v1이 1x3행렬인데 v1^T 은 3x1 행렬이죠.
1 a1 a2 |
|
| 1320 |
21 세종대 오전 7번
|
monge6** |
2022-12-30 |
| 글제목 |
21 세종대 오전 7번 |
| 작성자 |
monge6** |
등록일 |
2022-12-30 |
|

풀긴했는데 답지를 못찾겠어서 잘푼건지 모르겠어요. 헷깔립니다..
|
|
| └ |
답변입니다! |
anamso** |
2022-12-31 |
| 글제목 |
답변입니다! |
| 작성자 |
anamso** |
등록일 |
2022-12-31 |
|
편미분공식으로 푸세요.
편도함수에서 잠깐 언급했던 내용이라 까먹은듯해요.
Zx=-(fx/fz) 입니다.
그러면 깔끔하게 보기 2가 나올거에요. |
|
| 1319 |
21 세종대 오전 6번
|
monge6** |
2022-12-30 |
| 글제목 |
21 세종대 오전 6번 |
| 작성자 |
monge6** |
등록일 |
2022-12-30 |
|

선형대수 너무 어렵네요...
문제 뜻도 잘모르겠는데 먼저 F(A)가 어떤건지 모르겠습니다. 그리고 R이 뭔지 모르겠습니다. 제 생각엔 벡터에서 공간을 말하는거같은데 R=R^1이니까 1차원이라는 말인건가요? |
|
| └ |
답변입니다! |
anamso** |
2022-12-31 |
| 글제목 |
답변입니다! |
| 작성자 |
anamso** |
등록일 |
2022-12-31 |
|
선형대수는 이해가 필요하고 해석이 필요하죠.
논리가 중요하달까요.
생각이 중요하니 의식의 흐름대로 적어볼게요. 따라와보세요.
이 문제는, 솔직히 저도 시간이 필요합니다.
이해가 힘드니까 예를 집어넣으면 이해해보죠.
n=2 라 한다면 M2는 2x2 행렬입니다. 그런데 2x2 벡터공간이라?
우리가 (1,2,3,4) 이렇게 4차원 벡터를 표현하기도 했찌만
1 2 3 4
이렇게 행렬로 표현하는 경우도 있죠? 이걸 말하는 듯 합니다.
그럼 n=2 일 떄 4차원 벡터 하나를 말하는 것이네요. A는 그 중에 하나구요.
그런데 갑자기 M2 -> R로 가는 사상?? 하...
보통 R는 1차원 실수를 말하는 것이죠.
그럼 4차원에서 1차원으로 가는 사상을 찾으란 소린데....
F(A)?? 모야... 문제 만든 사람 멱살 잡고 싶다..맘대로 정의하고 내면 어떻게. 뭔지는 알려줘야지..
아마 T(X) 혹 L(X) 에서 T와 L 대신에 F를 쓴 거 같네요. linear tran'F'orm
T(A) 는 4차원을 집어넣었단 소리고.. 그게 R, 즉 1차원이 되는 사상을 찾아야합니다.
일단 A를
1 2 3 4 로 둘게요.
ㄱ. T(A)= A의 원소 1,2,3,4 중 아무거나 하나, 점4개 집어넣고 점1개 나오는 거니 사상 맞겠네요. ㄴ. T(A)=trA=5. 5가 나오니 1개 맞네요. ㄷ. T(A)=|A|=-2, -2가 나오니 맞겠네요.
ㄱ,ㄴ,ㄷ 체크.. 그런데 틀렸습니다. ㄷ이 사상이 아니에요.
뭐가 문제일까요? 사실 공간이란 조건은 굉장히 복잡합니다.
공간 첫시간에 배운 내용 기억하나요.
일단 '0' 벡터를 가질 수 있어야하고 실수배, 일차결합 등등..
이걸 결론지어 '원점을 지나는 1차식'라고 말했죠. 문제는 식이 바로 보이면 하겠지만 이 문제는 식으로 접근하기 힘들죠.
1차식 관계는 더한 값이 더한 값으로 존재해야합니다. A1행렬과 A2행렬이 있다고 보죠.
ㄱ. A1의 원소+ A2 원소= A1+A2 원소 ㄴ.tr(A1+A2)=trA1+trA2 ㄷ. |A1+A2| 는 |A1|+|A2| 가 될 순 없죠.
그래서 ㄷ이 틀린 보기입니다.
어렵죠? 논리적으로 숙성이 되야 쉽게 풀리는 문제입니다.
이 문제는 오래 가르친 강사 분들도 쉽게 설명하기 힘들거에요.
수험생들이 이해로 풀기에 버거운 문제였네요.
|
|