| 1318 |
19중대12번
|
ipsin** |
2022-12-30 |
| 글제목 |
19중대12번 |
| 작성자 |
ipsin** |
등록일 |
2022-12-30 |
|


|
|
| └ |
답변입니다! |
anamso** |
2022-12-31 |
| 글제목 |
답변입니다! |
| 작성자 |
anamso** |
등록일 |
2022-12-31 |
|
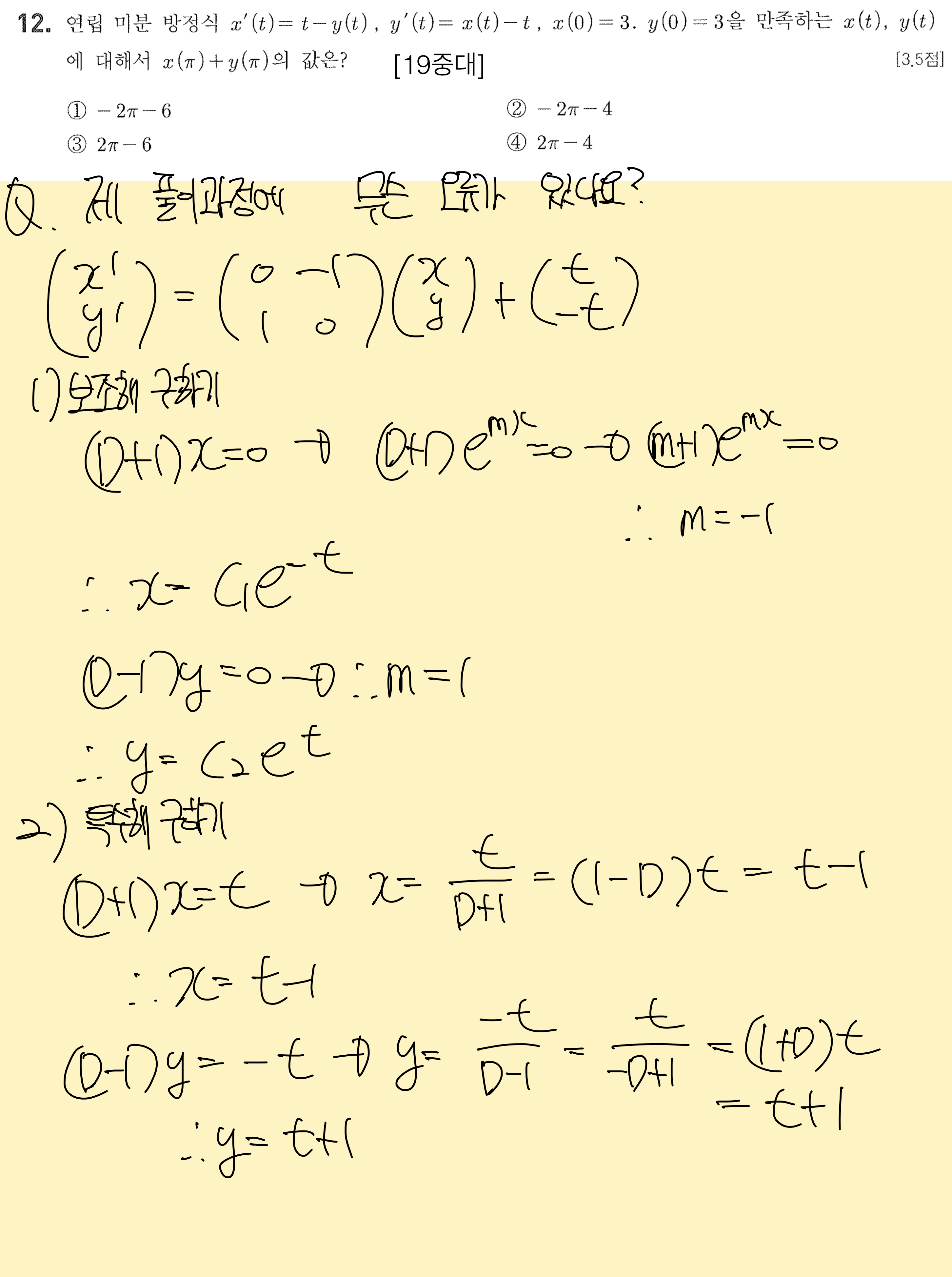
일반적으로 연산자가 해가 하나 나오지 않습니다. 연산자 연립이 잘못되엇네요.

|
|
| 1317 |
극대극소
|
ipsin** |
2022-12-30 |
| 글제목 |
극대극소 |
| 작성자 |
ipsin** |
등록일 |
2022-12-30 |
|

|
|
| └ |
답변입니다! |
anamso** |
2022-12-31 |
| 글제목 |
답변입니다! |
| 작성자 |
anamso** |
등록일 |
2022-12-31 |
|
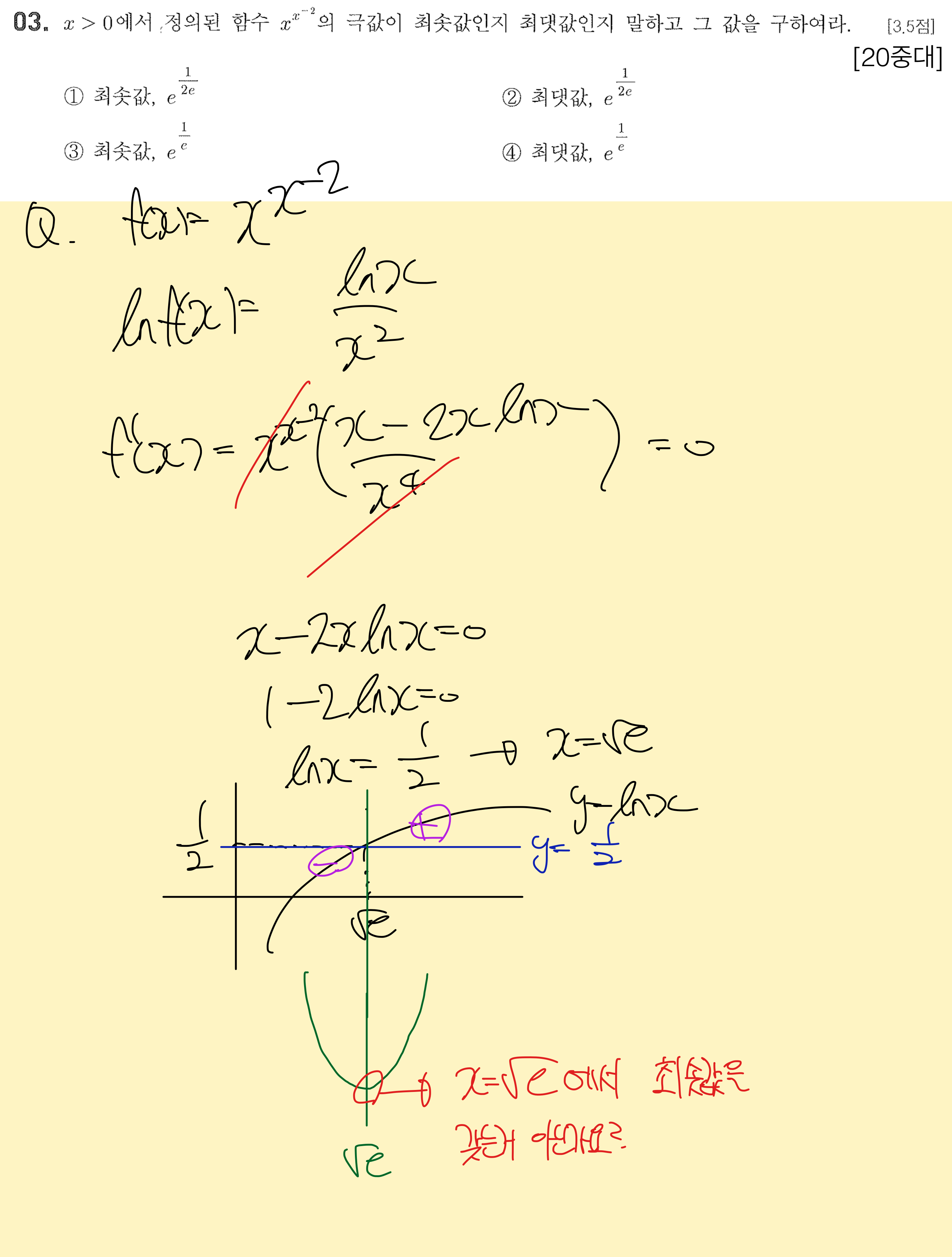
적어준 것처럼 1-2lnx 의 부호만 가지고 판단하면 됩니다.
x=e^1/2 일 때 0 이 됩니다. e^1/2보다 큰 값을 집어넣으면 lnx 는 당연히 커지고 1-2lnx는 작아집니다.
즉 -가 된다는 얘깁니다. 그러면 + 0 - 로 변하는 모양일테니 극대가 됩니다.
|
|
| 1316 |
20중대17번
|
ipsin** |
2022-12-30 |
| 글제목 |
20중대17번 |
| 작성자 |
ipsin** |
등록일 |
2022-12-30 |
|

|
|
| └ |
답변입니다! |
anamso** |
2022-12-31 |
| 글제목 |
답변입니다! |
| 작성자 |
anamso** |
등록일 |
2022-12-31 |
|
일단 후순위로 푸는게 맞는데요.
다만 중대에서 복소수를 버리는 전략을 취했다면 다른 문제를 빨리 풀었다는 전제하에
마지막에는 건드려 볼 수 있는 문제입니다.
제가 규칙하나 정해드릴게요.
연립미방시 행렬 풀이 오직
서로 다른 근인 경우, 보조해 yh만 구하는 경우에만 쓰기로!
행렬풀이로 yp 구하는 법을 알려드렸지만 추천하지 않습니다. (계산기가 필요 ㅠ ...).
yp 경우 귀찮더라도 연산자 연립으로로 구하는게 안전합니다. |
|
| 1315 |
독립종속판단
|
ipsin** |
2022-12-30 |
| 글제목 |
독립종속판단 |
| 작성자 |
ipsin** |
등록일 |
2022-12-30 |
|

|
|
| └ |
종속 |
anamso** |
2022-12-31 |
| 글제목 |
종속 |
| 작성자 |
anamso** |
등록일 |
2022-12-31 |
|
제일 빠른 판단법은 서로 일대일 실수배해서 같을 수 있다면 종속입니다.
지금 lnx/ln2 에 ln2/ln5를 곱하면 lnx/ln5가 되죠? 실수배 해서 같아지니 종속입니다.
문제는 밑에 보기인데요.
위 문제처럼 단순히 일대일 실수배로는 판단히 힘듭니다.
그렇다고 랭크를 할 수 없는 조건이구요.
종속독립 여부의 사실 c1x1+c2x2..=0 을 만족하는 c1,c2가 존재하면 종속이었쬬?
c1(e^x+e^-x)/2 + c2(e^x-e^-x)/2 + c3e^x =0 을 만족하는 조건이 있을까요?
당연 있습니다. c1=c2=1, c3=-21 이면 되네요. |
|
| 1314 |
혹시 건대 시험 해설강의 올라오나요?
|
edga** |
2022-12-29 |
| 글제목 |
혹시 건대 시험 해설강의 올라오나요? |
| 작성자 |
edga** |
등록일 |
2022-12-29 |
|
강사님의 해설강의랑 난이도 어땠는지같은 총평같은것 듣고싶은데 혹시 업로드 예정있으신가요? |
|
| └ |
답변입니다! |
anamso** |
2022-12-31 |
| 글제목 |
답변입니다! |
| 작성자 |
anamso** |
등록일 |
2022-12-31 |
|
현장에서는 했는데 따로 당장 업로드 계획은 없습니다. ㅠ
글로 대신 적자면
일단 영어가 쉬웠다는게 큰 변수에요. 예년보다 수학에 투자할 시간을 더 벌었고, 상대적으로 수학이 쉽다고 느껴진 학생들이 있었습니다. 하지만 수학 자체 난이도는 작년에 비해 크게 달라진 거 같지 않았다고 생각이 돼요.
현강생 수강생들 평균(엄청 잘하는 친구들 제외)이 영어 -2~-5 / 수학 -5~-10 이었습니다.
|
|
| 1313 |
21중대6번
|
ipsin** |
2022-12-29 |
| 글제목 |
21중대6번 |
| 작성자 |
ipsin** |
등록일 |
2022-12-29 |
|

|
|
| └ |
답변입니다! |
anamso** |
2022-12-31 |
| 글제목 |
답변입니다! |
| 작성자 |
anamso** |
등록일 |
2022-12-31 |
|
잡기 힘듭니다.
극좌표는 중심이 원점이 아니게 되면 쓰기 힘들어요.
저 문제는 x-3=u, y-4=v 로 평행이동(치환) 해서 원점을 중심으로 만든 후 풀어야합니다. |
|
| 1312 |
극곡선 기출 질문 있습니다.
|
sehyun07** |
2022-12-28 |
| 글제목 |
극곡선 기출 질문 있습니다. |
| 작성자 |
sehyun07** |
등록일 |
2022-12-28 |
|
먼저 질문 드렸던 case 3 번 2번문제 극곡선 r=2+ 2sinx의 둘레의 길이는? 문제에서 r= 2 + 2cosx로 바꾸고 적분을 해보았습니다. 그런데 0부터 파이 한다음 2배를 하면 16이 나오는데 왜 2파이까지 하면 적분 값이 0이 나오는지 모르겠습니다. 둘레의 길이도 양수 음수가 있는 건가요? |
|
| └ |
답변입니다! |
anamso** |
2022-12-31 |
| 글제목 |
답변입니다! |
| 작성자 |
anamso** |
등록일 |
2022-12-31 |
|
길이는 항상 양수인데요.
적분시 root(2(1+c)) 이 나오고 여기서 1+cos 을 cos^2 으로 바꾸죠?
루트x^2=|x| 인데요
|cos세타/2| 의 양수범위랑 음수범위 나눠서 해야해서 그럽니다.
단순히 2pi 까지 cos세타/2 로 하면 음수범위까지 포함됩니다.
아래 풀이 참조

|
|
| 1311 |
해커스 구문독해 100 관련 질문있습니다.
|
p7i7g** |
2022-12-28 |
| 글제목 |
해커스 구문독해 100 관련 질문있습니다. |
| 작성자 |
p7i7g** |
등록일 |
2022-12-28 |
|
안녕하세요. 선생님 강의 들으며 기초부터 차근차근 밟아가고 있는 학생입니다. 항상 쉽고 친절하게 설명해주셔서 이해력이 부족한 저도 매일 새롭게 알아가는 내용에 감사함을 느끼며 강의 듣고 있습니다. 그런데 복습을 하던 중 문득 5형식의 문장에서 목적격 보어 자리에 현재 분사가 오는 경우와 현재분사를 명사의 후치 수식으로 받는 경우가 있는데 이 둘은 어떻게 구분해야 하는지가 궁금해 질문 남기게 되었습니다. 5형식의 경우에는 o.c로 체크하고 명사를 후치 수식하는 현재분사의 경우는 괄호치고 명사와 연결 표시를 하면서 연습하고 있어 둘의 구분이 있는데 아직 어떨 때 5형식으로 체크하고 어떨 때 후치 수식으로 체크할 지가 헷갈립니다. |
|
| └ |
답변입니다 |
jk6** |
2022-12-29 |
| 글제목 |
답변입니다 |
| 작성자 |
jk6** |
등록일 |
2022-12-29 |
|
아주 좋은 질문 입니다! 공부를 잘 해오고 있다는 증거네요.
현재의 강의 단계에서는 둘의 구분이 어려운거 맞습니다. 정확히 구분하기 위해서는 사실 더 많은 구문 이론들을 배워야 합니다. 따라서 현 상태에서의 구분법에 한정해서 말씀드리자면,
분사로 문장이 끝이 나면, 그 분사는 목적보어이고, 분사 뒤에 그 분사의 수식어구가 붙으면(반드시 분사의 수식어야 합니다! 전명구라도 동사의수식 전명구가 아니라 분사 수식 전명구이어야 합니다) 그 때 분사는 목적어인 명사를 후치 수식하는 것으로 구분하세요.
현 단계에서는 이렇게 구분하고, 좀 더 복잡한 경우들은 진도를 나가면서, 학습 단계가 올라가면서 또 다른 확장된 여러 방법들을 만나게 될 겁니다.
지금까지 아주 잘 공부하고 있고, 앞으로도 그럴거라 생각됩니다. 질문 있으면, 자주 하세요~^^ |
|
| 1310 |
재질문
|
ipsin** |
2022-12-28 |
| 글제목 |
재질문 |
| 작성자 |
ipsin** |
등록일 |
2022-12-28 |
|

|
|
| └ |
답변입니다! |
anamso** |
2022-12-31 |
| 글제목 |
답변입니다! |
| 작성자 |
anamso** |
등록일 |
2022-12-31 |
|
일단 주어진 조건은 생략하면 안됩니다.
애초에 극한시 생략하는 방법은 문제를 빨리 풀기 위한 스킬이지 절대적인 방법은 아닙니다.
지수일 떄 그냥 지우지마세요.
|
|
| 1309 |
건국대 기출 분석 13광운대 문제 질문 드립니다 ㅠㅠ
|
sehyun07** |
2022-12-28 |
| 글제목 |
건국대 기출 분석 13광운대 문제 질문 드립니다 ㅠㅠ |
| 작성자 |
sehyun07** |
등록일 |
2022-12-28 |
|
13번 문제 정적분의 정의로 푸는것으로 알고 있는데 중간에 식을 어떻게 풀어나가야 하는지 잘 모르겠습니다 ㅠㅠ 
|
|
| └ |
답변입니다! |
anamso** |
2022-12-28 |
| 글제목 |
답변입니다! |
| 작성자 |
anamso** |
등록일 |
2022-12-28 |
|
아래 같은 질문이네요?! 아래 풀이해두었습니다.
저도 정적분의 정의 시그마 문제 인줄 알았는데 알고보니 그냥 극한 문제였습니다. |
|
| 1308 |
지수리미트질문
|
ipsin** |
2022-12-28 |
| 글제목 |
지수리미트질문 |
| 작성자 |
ipsin** |
등록일 |
2022-12-28 |
|
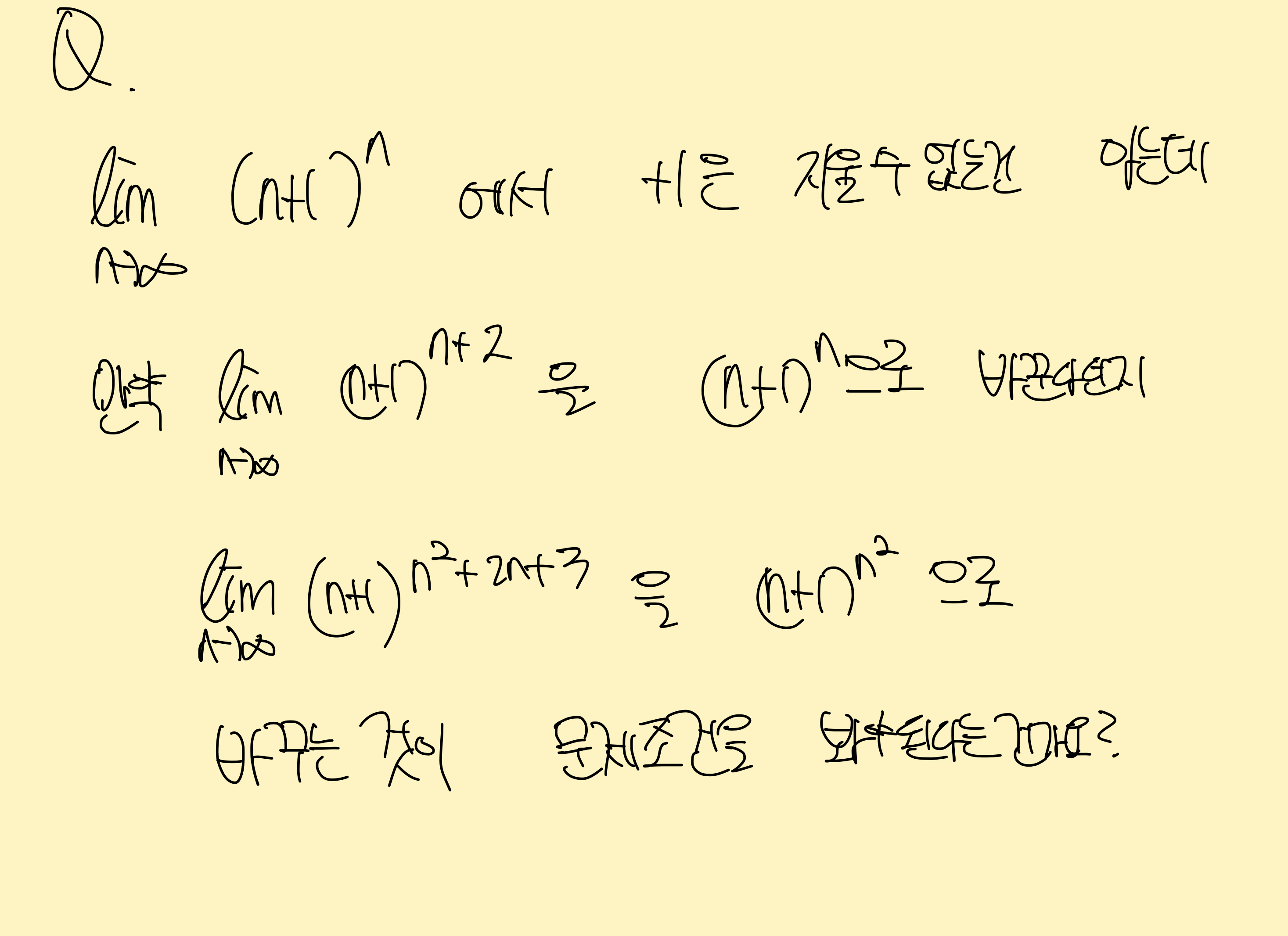
| 안녕하세요 교수님
n이 무한대로 갈때 (n+1)^n에서 밑에 있는 1을 지울 수가 없다고 배웠는데
여기서 궁금한게 그러면
(n+1)^n+2와 같이 밑이 아니라 지수에 n+2가 붙을때 n이 무한대로 가면 지수에 있는 2는 지울 수 있나요? |
|
| └ |
답변입니다! |
anamso** |
2022-12-28 |
| 글제목 |
답변입니다! |
| 작성자 |
anamso** |
등록일 |
2022-12-28 |
|
문제 조건을 봐야합니다. 무조건 지우면 안됩니다. 만약 분자에 지수 n+2 승인데
분모에 지수 n+1항이 있으면 n+2항이 n+1보다 크기 떄문에 +2를 함부로 지워선 안되죠.
|
|
| 1307 |
건국대 핵심유형 질문
|
dlatnqls9** |
2022-12-27 |
| 글제목 |
건국대 핵심유형 질문 |
| 작성자 |
dlatnqls9** |
등록일 |
2022-12-27 |
|


|
|
| └ |
답변입니다! |
anamso** |
2022-12-28 |
| 글제목 |
답변입니다! |
| 작성자 |
anamso** |
등록일 |
2022-12-28 |
|
주어진 식이 원이 아니라 아래와 같이 치환해야합니다..
솔직히 이렇게 치환하는 게 쉽지 않습니다. 한번 풀어본게 아니라면요.
왈리스는는 값이 나오는데 뒤에 sin세타 적분이 2pi까지라 0 이 나옵니다!

|
|
| 1306 |
★건국대 2022 실전풀이 강의★
|
이** |
2022-12-27 |
| 글제목 |
★건국대 2022 실전풀이 강의★ |
| 작성자 |
이** |
등록일 |
2022-12-27 |
|
| 이번에 안보는 사람 없다는 건국대..
절대 다 풀 수 없고
절대 다 제대로 풀 수 없습니다.
강의 참고하고 시험 잘 봐주세요.
https://www.youtube.com/watch?v=TnSVmUS1OyU&t=290s |
|
| 1305 |
21 과기대 18
|
monge6** |
2022-12-27 |
| 글제목 |
21 과기대 18 |
| 작성자 |
monge6** |
등록일 |
2022-12-27 |
|

뭔가 처음보는 문제 유형인것같아요..
부분 공간인지 아닌지 판단하는걸 배웠던거같긴한데 잘 모르겠습니다... |
|
| └ |
답변입니다! |
anamso** |
2022-12-28 |
| 글제목 |
답변입니다! |
| 작성자 |
anamso** |
등록일 |
2022-12-28 |
|
선형대수는 항상 표현이 바껴서 헷갈리죠. 그래서 이해를 바탕으로 접근해야합니다.
3차원 공간 안에 4개의 벡터가 존재하네요.
벡터4개로 만들 수 있는 공간의 차원을 구하라고 하네요.
독립 벡터 4개면 4차원을 만들 수 있죠?
그런데 애초 3차원 공간 안에서 일어난 일이라 절대 4차원을 못 나오고 3차원이하가 나올 수 밖에 없습니다.
랭크를 합니다.
아래 보인 것처럼 하나 지워지고 3개의 항이 되었네요.
t 값의 따라 2차원이 될 수도 3차원이 될수도 있습니다.
그럼 답이 대체 뭘까요?
보기를 다시 보면 R^3의 부분공간이라 했습니다.
엄밀히 R^3의 부분공간에는 3차원 자기 자신도 포함하는데 출제자가 이를 무시한 거 같네요.
그래서 2차원이라는 가정하에, 즉 s=2 라두고 그걸 만드는 t=-5 를 찾아야합니다.
이게 아니면 답이 안나오죠,
솔직히 이는 엄밀히 전원정답해줘야하는 문제라 생각하는데요....
편입문제니까 출제자의 실수도 눈치채고 풀어야하는 화나는 경우가 되겠습니다 ㅠ

|
|
| 1304 |
건국대 기출분석 무한급수 질문 있습니다!
|
sehyun07** |
2022-12-27 |
| 글제목 |
건국대 기출분석 무한급수 질문 있습니다! |
| 작성자 |
sehyun07** |
등록일 |
2022-12-27 |
|
카메라가 화질이 안좋아서 잘 보일지 모르겠습니다. 건국대 기출분석 무한급수 파트 1번문제 D조건에서 코시 판정법으로 1/n 지수 씌우면 1보다 크니까 발산인데 2의 -n승 뒤가 무한으로 가면 e^2이 되지 않습니까? 이 e^2을 무시하면 안되는건가요? 무한대만 무시 가능한걸로 생각하고 있는데 제가 생각한 것이 맞나요? 
|
|
| └ |
답변입니다! |
anamso** |
2022-12-28 |
| 글제목 |
답변입니다! |
| 작성자 |
anamso** |
등록일 |
2022-12-28 |
|
(1+1/n)^(n^2)이 e^2이 되지 않아요. 그래서 위항은 무시못합니다.
(1+1/n)^(2n) 이 e^2입니다. |
|