| 1369 |
18 과기대 6
|
monge6** |
2023-01-03 |
| 글제목 |
18 과기대 6 |
| 작성자 |
monge6** |
등록일 |
2023-01-03 |
|

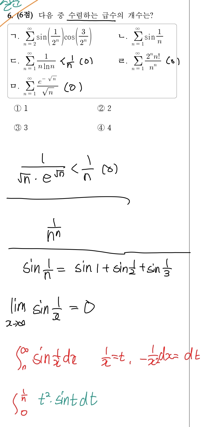
ㄷ,ㄹ,ㅁ,은 1/n과 비교해서 수렴하는걸 찾았는데
ㄱ,ㄴ과 같은 삼각함수 관련된거는 어떻게 판정해야할지 모르겠습니다.
ㄴ은 정적분 값이 나오면 수렴한다는걸로 찾아보려고했는데 복잡하게 나와서 이 방법이 맞는지 모르겠네요.. |
|
| └ |
답변입니다! |
anamso** |
2023-01-05 |
| 글제목 |
답변입니다! |
| 작성자 |
anamso** |
등록일 |
2023-01-05 |
|
여러 방법이 있겠지만 지금 쓰는 방법들은 다소 복잡하군요.
sin(1/x)=1/x라고 둘 수 있으니
마찬가지로 1/2^n으로 둘 수 있고 이는 수렴하는 조건입니다.
ㄴ는 같은 방법으로 1/n라 안되는 것이구요,
|
|
| 1368 |
18 과기대 4, 5, 13 ,14
|
monge6** |
2023-01-03 |
| 글제목 |
18 과기대 4, 5, 13 ,14 |
| 작성자 |
monge6** |
등록일 |
2023-01-03 |
|




좀 옛날 문제라서 그런지 모르겠는데 18학년도 과기대 문제에는 처음 보는 문제가 많네요.. 이 문제들은 안배운거같은데 혹시 이 중에 풀어야하는게 있었을까요..?
|
|
| └ |
답변입니다! |
anamso** |
2023-01-05 |
| 글제목 |
답변입니다! |
| 작성자 |
anamso** |
등록일 |
2023-01-05 |
|
5번은 싸이클로드 곡선을 알면 공식으로 쉽게 구할 수 있고
몰라도 이 문제에 주어져 있진 않지만 매개변수 취급해서 구할 수 있습니다.
14번은 위치와 속력 물리1 개념을 이해하고 있다면 풀 수 있는 문제입니다.
냉정하게 지금 시점에서 해설보고 이해하기 힘들었다면 다른 문제부터 해결하고 접근하는게 좋겠습니다. |
|
| 1367 |
질문
|
ipsin** |
2023-01-03 |
| 글제목 |
질문 |
| 작성자 |
ipsin** |
등록일 |
2023-01-03 |
|

|
|
| └ |
답변입니다! |
anamso** |
2023-01-03 |
| 글제목 |
답변입니다! |
| 작성자 |
anamso** |
등록일 |
2023-01-03 |
|
다 표현 가능합니다.
다만 계산할 때는 모양을 바꿔줘야하죠.
(1,2,3,4) 라고 두었는데
다른 (4,3,2,1) 행렬이라고 곱하라고 했을땐 세로로 써야죠. |
|
| 1366 |
22중대2번재질문
|
ipsin** |
2023-01-02 |
| 글제목 |
22중대2번재질문 |
| 작성자 |
ipsin** |
등록일 |
2023-01-02 |
|

|
|
| └ |
답변입니다! |
anamso** |
2023-01-03 |
| 글제목 |
답변입니다! |
| 작성자 |
anamso** |
등록일 |
2023-01-03 |
|
지난 답변에서 열벡터가 공간을 만드는 벡터라고 말했는데요.
열벡터 3개인데 평면이라니 랭크로 줄여야겠습니다.
3 1 1 2 1 2 1 1 3
열벡터 rank 시키면
0 -2 -8 0 -1 -4 1 1 3
이고 (0,1,4) 와 (1,1,3) 벡터가 나오죠.
이 두 벡터가 만드는 평면의 법선벡터는 외적이므로
외적하면 1,-4,1 나오죠.
그래서 평면의 방정식은 x-4y+z=0 이 됩니다.
|
|
| 1365 |
22한양16번
|
ipsin** |
2023-01-02 |
| 글제목 |
22한양16번 |
| 작성자 |
ipsin** |
등록일 |
2023-01-02 |
|


|
|
| └ |
답변입니다! |
anamso** |
2023-01-03 |
| 글제목 |
답변입니다! |
| 작성자 |
anamso** |
등록일 |
2023-01-03 |
|
저라면 8X8이지만 블록행렬이고 0이 많아서 그냥 직접 다 구했을 거 같습니다.
A^2 A^3 A^8 까지.
물론 고유치를 이용할 수 있는데 주어진 식의 8승이라 복잡해서 손도 안됐을 거 같습니다.
해설에 고유치 풀이에서 B만 한 이유는 어차피 1,0,0,0 이라 곱하면 1열 밖에 곱해지지 않아서 B만 구했습니다.
솔직히 다분히 결론적인 풀이죠. (1,0,0,0)^T는 그냥 전치하면 4X1 세로로 쓰면 됩니다. 전치는 정방이 아닐떄도 할 수 있습니다.
마지막은 나머지 정리로 억지로 인수분해한 거 같습니다.
이게 무엇이냐면, x^2+x 를 x-1 로 인수분해가 안되죠.
그래도 x^2+2=(x-1)Q(x)+a 라고 적을 수 있죠
여기서 x=1 집어넣으면 3=a 가 나옵니다. 이런 식으로 억지 인수분해한 거 같습니다.
|
|
| 1364 |
22한양25번
|
ipsin** |
2023-01-02 |
| 글제목 |
22한양25번 |
| 작성자 |
ipsin** |
등록일 |
2023-01-02 |
|

|
|
| └ |
답변입니다! |
anamso** |
2023-01-03 |
| 글제목 |
답변입니다! |
| 작성자 |
anamso** |
등록일 |
2023-01-03 |
|
주어진 형태가 라플라스 합성곱이네요.라플라스라고 언급이 없어서 라플라스라고 판단하기 힘들었을수도 있었겠네요.
그래서 대부분 해설도 라플라스로 풀어났을거에요.
인테그랄 f(t) g(x-t) 에서 g(x-t) 자리에 sin(x-t) 가 들어가는것이죠.
라플라스 씌우면 F(s)*1/(s^2+1) 으로 바꾸고 F(S) 식 전개후 역라플라스를 합니다. |
|
| 1363 |
22한양22번
|
ipsin** |
2023-01-02 |
| 글제목 |
22한양22번 |
| 작성자 |
ipsin** |
등록일 |
2023-01-02 |
|


|
|
| └ |
답변입니다! |
anamso** |
2023-01-03 |
| 글제목 |
답변입니다! |
| 작성자 |
anamso** |
등록일 |
2023-01-03 |
|
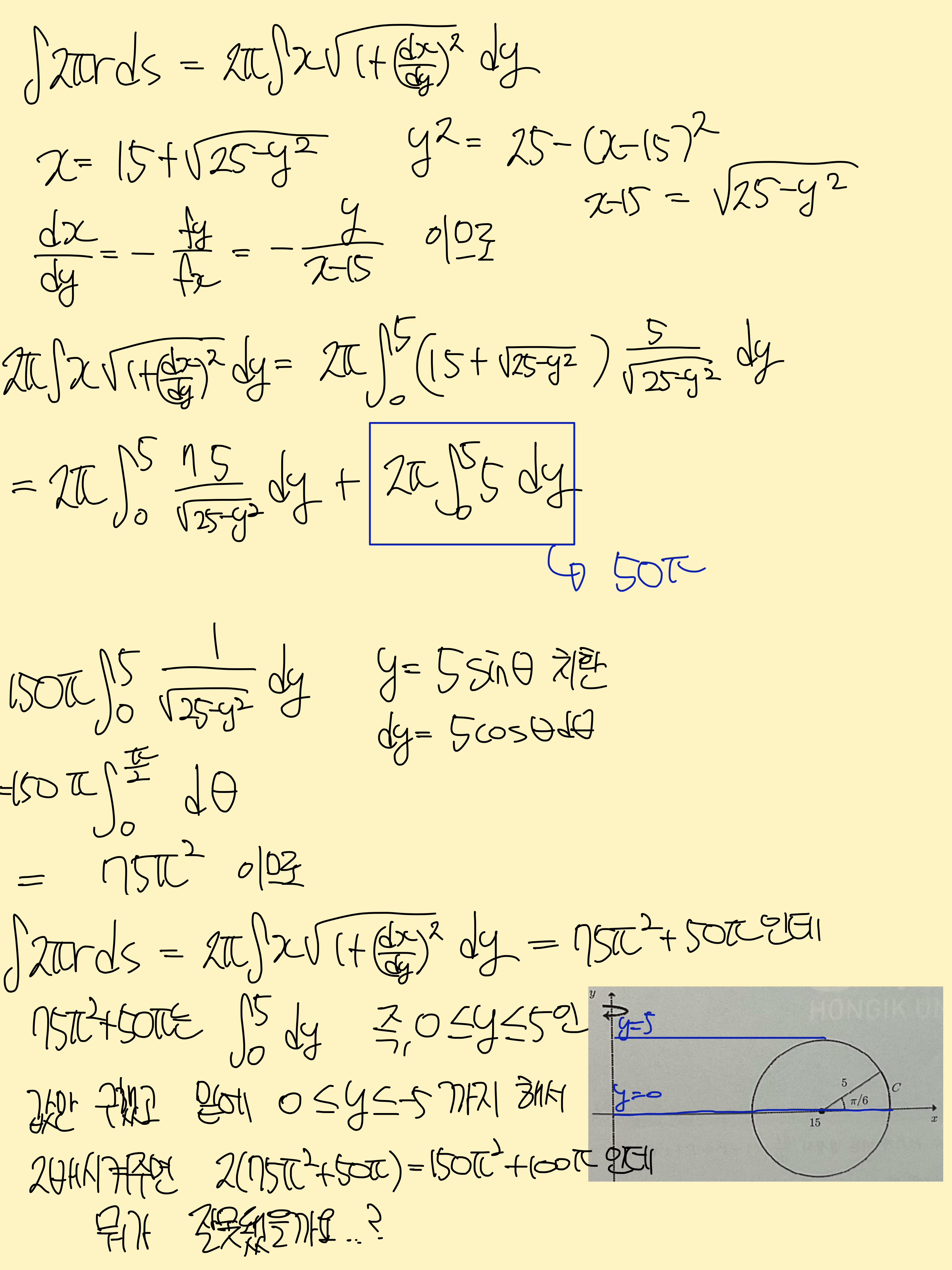
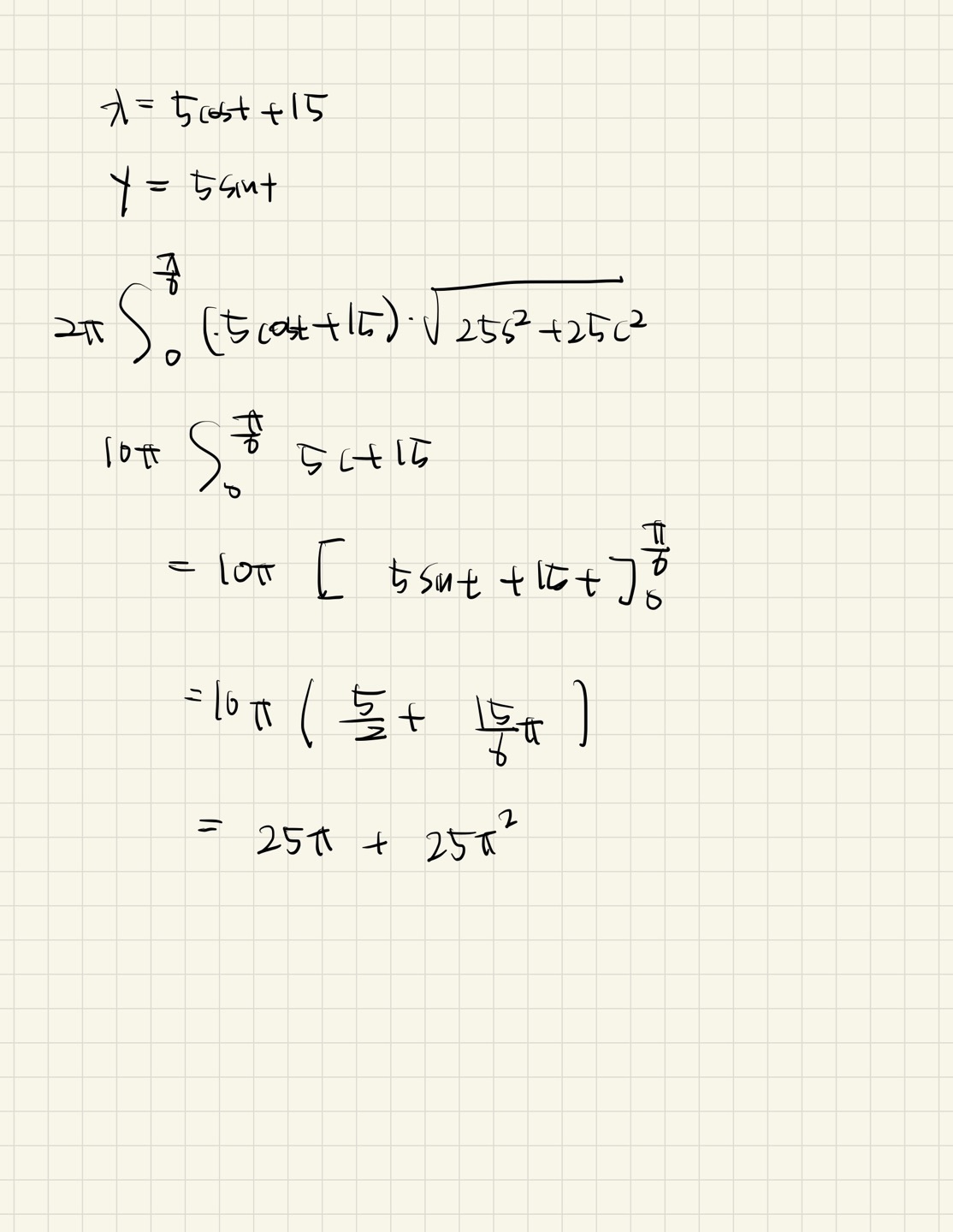
풀이가 복잡하네요.
제곱 이런 부분에서 계산이 복잡해진거 같은데.
애초에 원이라 바로 치환으로 풀면 실수도 없고 금방 풉니다. 아래 적어두겠습니다.

|
|
| 1362 |
22한양15번
|
ipsin** |
2023-01-02 |
| 글제목 |
22한양15번 |
| 작성자 |
ipsin** |
등록일 |
2023-01-02 |
|

두번째 질문으로 전글에 질문했던 한양대14번 다시 교수님께 질문을 드리려고 합니다.

저 답변을 보고 궁금한게 한양대 저렇게 2문제씩 딸리는 문제는 13번 14번 서로 관련있는 문제인건가요?
벡터 (4,2,3,1)을 쓰시더라구요 근데 이게 13번에 나와있던 문제였는데 이걸 왜 14번에 쓰는지 모르겠습니다. 벡터(4,2,3,1)을 쓰면 당연히 W로의 정사영을 구할 수가 있겠죠. 하지만 14번에서 정사영T를 구하는데 왜 13번에 나와있는 (4,2,3,1)을 쓰시는지 모르겠습니다. 그래서 제가 이 위에 있는 사진에 보시면 그렇게 적어놨습니다. 정사영을 시키려면 기본적으로 내려찍어야될 벡터가 있어야되는데 13번에는 벡터(4,2,3,1)이 주어져있지만 14번에는 그런 벡터가 주어진게 없고 행렬P를 구하라고 하는데 행렬P가 행렬T의 표준기저에 대한 행렬표현이라고 하는데 행렬T를 구해야 저 표준기저 (1,0,0,0), (0,1,0,0), (0,0,1,0), (0,0,0,1)을 집어넣어서 선형변환시키고 그 값을 (1,0,0,0), (0,1,0,0), (0,0,1,0), (0,0,0,1)에 맞게 실수배시켜서 그걸 다 세로로 쓴 게 행렬P아닌가요? 벡터강의에서 선형변환 마지막에 기저행렬배울때 말씀드리는거에요. 어찌됐든 기저에 대해서 이 기저에 맞게 실수배를 시켜서 P행렬을 구하라!라는 문제가 아닌가요 14번이..?

1시간동안 생각해봐도 잘 모르겠어서 해설지를 봤는데 이렇게 해설이 되어 있더라구요. 근데 이해가 안됩니다.. |
|
| └ |
답변입니다!ㄹㄹff |
anamso** |
2023-01-03 |
| 글제목 |
답변입니다!ㄹㄹff |
| 작성자 |
anamso** |
등록일 |
2023-01-03 |
|
T 붙은 건 전치입니다.
(0,1,1)^T는
0 1 1
이죠.
풀이는 직접 아래처럼 일일히 구해서 규칙성으로 찾는 수 밖에 없습니다.
요령 피우자면 Ay와 연관성으로 쉽게 하는 법이 있겠지만..시험장에서 불가능할 거 같습니다.
각각 구한 벡터로 내적하면 하면 됩니다. Ay는 생략할게요. Ax처럼 규칙성 찾으면 됩니다.

14번은 4,2,3,1 대신에 a,b,c,d 집어넣어서 찾으면 됩니다. 기출해설에서 행렬 공식 안쓰고 푸는법이죠.
이게 익숙하지 않으면 해설공식 외우는 수 밖에 없습니다. A(A^TA)^-1AT=P 공식입니다.

|
|
| 1361 |
22한양14번
|
ipsin** |
2023-01-01 |
| 글제목 |
22한양14번 |
| 작성자 |
ipsin** |
등록일 |
2023-01-01 |
|


|
|
| └ |
답변입니다! |
anamso** |
2023-01-02 |
| 글제목 |
답변입니다! |
| 작성자 |
anamso** |
등록일 |
2023-01-02 |
|
설명이 이해가 되지 않네요.
1,0,0,0 과 1,1,1,0 으로 만드는 2차원 W가 있고 .. V는 어디서 나온거죠?
해설처럼 행렬로 풀든가..
아니면 제가 좋아하는 기하성을 이용해서 풀어야합니다.
기하 풀이는 아래.
이때 정사영윽 직교하는 단위벡터 만들어야 저런식으로 합치기 가능합니다.

|
|
| 1360 |
22 중앙대 23번
|
monge6** |
2023-01-01 |
| 글제목 |
22 중앙대 23번 |
| 작성자 |
monge6** |
등록일 |
2023-01-01 |
|

푸리에 적분 이라는데..
제가 기억하는 푸리에 어쩌구는 푸리에 계수 밖에 없어서 그거 참고해서 풀어보려고했는데 푸리에 함수가 모든 주기함수를 삼각함수로 표현하는거였던거같은데 일단 주어진 함수가 주기함수가 아닌거같습니다.. 처음 보는 문제인거같은데 혹시 패스해야하는 문제인건가요? |
|
| └ |
답변입니다! |
anamso** |
2023-01-02 |
| 글제목 |
답변입니다! |
| 작성자 |
anamso** |
등록일 |
2023-01-02 |
|
이건 푸세요!
A와 B의 공식이 해설에 적혀있죠? 그대로 따라하시면 됩니다. 부분적분하면 됩니다!
해설 풀이 자체를 외우세요. |
|
| 1359 |
22 중앙대 22번
|
monge6** |
2023-01-01 |
| 글제목 |
22 중앙대 22번 |
| 작성자 |
monge6** |
등록일 |
2023-01-01 |
|

푸리에 계수를 이용해서 푸는 문제인거같은데 일단 주어진 식이 우함수 기함수 둘 다 아닌거같아서 풀기 어렵겠다 생각했습니다
그런데 푸리에 계수 식에 뒤에 시그마 무슨 식이 있는데 비제차 미분방정식 풀때 봤던거같은데 모르겠습니다.. 혹시 패스하는 문제인건가요? |
|
| └ |
답변입니다! |
anamso** |
2023-01-02 |
| 글제목 |
답변입니다! |
| 작성자 |
anamso** |
등록일 |
2023-01-02 |
|
복소함수론 e^-inpix=cosnpix-isinnpix 로 전개를 할 줄 안다면 그나마 할만합니다.
제가 복소함수론을 정말 아주 아주 기초내용만 했는데요. 그 수업을 들었다면 복붙해서 풀 수 있습니다.
그렇다고 쉽다는 건 장담못합니다.
복소함수를 안했다면 스킵합니다. |
|
| 1358 |
22 중앙대 19번
|
monge6** |
2023-01-01 |
| 글제목 |
22 중앙대 19번 |
| 작성자 |
monge6** |
등록일 |
2023-01-01 |
|

주어진 식이 역라플라스하기 편하게 생겼는데 라플라스를 하라고하는거같아요.. 모르겠습니다 |
|
| └ |
답변입니다! |
anamso** |
2023-01-02 |
| 글제목 |
답변입니다! |
| 작성자 |
anamso** |
등록일 |
2023-01-02 |
|
아래처럼합니다.

|
|
| 1357 |
22 중앙대 17번
|
monge6** |
2023-01-01 |
| 글제목 |
22 중앙대 17번 |
| 작성자 |
monge6** |
등록일 |
2023-01-01 |
|

필기했던걸 참고해서 풀어보려고했는데
거의 마지막에 c1, c2 구하는게 이상합니다.. 이런거도 미분연산자로 푸는건가요? |
|
| └ |
답변입니다! |
anamso** |
2023-01-02 |
| 글제목 |
답변입니다! |
| 작성자 |
anamso** |
등록일 |
2023-01-02 |
|
정해드릴게요.
행렬 풀이는 오직 다른 두 실근인 경우. 보조해 xh,yh만 구할 때 쓰기!
이 문제는 2x+1 등 외부조건(힘)이 존재하죠. 사실 계산기 없는 경우 풀기 힘듭니다.
지금 풀이는 외부조건은 안구하고 구한 것이구요. 물론 수업 때 이 풀이는 한번 해드렸지만 추천하지 않습니다.
연산자로 쭉 풀어주는게 좋습니다.
그렇다고해서 연산자가 쉽다는 건 아닌데 행렬 풀이는 계산 실수할 확률이 높아서 추천하지 않습니다. |
|
| 1356 |
22 중앙대 15번
|
monge6** |
2023-01-01 |
| 글제목 |
22 중앙대 15번 |
| 작성자 |
monge6** |
등록일 |
2023-01-01 |
|

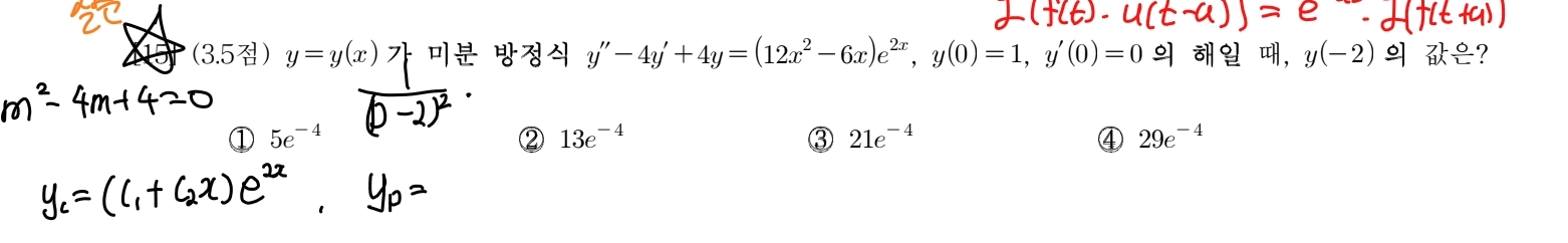
평범한 미분방정식인줄 알았는데 =(12x^2-6x)e^2x 이게 서로 곱해져있는 형태는 처음봅니다. 어떻게 풀어야하나요? |
|
| └ |
답변입니다! |
anamso** |
2023-01-02 |
| 글제목 |
답변입니다! |
| 작성자 |
anamso** |
등록일 |
2023-01-02 |
|
수업 중에 자주 봤던 내용이에요.
연산자를 지수함수 뒤로 보내기

|
|
| 1355 |
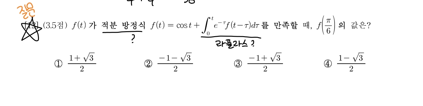
22 중앙대 12
|
monge6** |
2023-01-01 |
| 글제목 |
22 중앙대 12 |
| 작성자 |
monge6** |
등록일 |
2023-01-01 |
|

적분 방정식? 뭔가 처음 보는것같습니다..
뒤에 식은 라플라스에서 봤던 식 같은데 모르겠습니다 |
|
| └ |
답변입니다! |
anamso** |
2023-01-02 |
| 글제목 |
답변입니다! |
| 작성자 |
anamso** |
등록일 |
2023-01-02 |
|
라플라스 가장 마지막에 쯤에 배운 합성곱입니다.
P.186
여기서 f(u)=e^-u g(t-u)=f(t-u) 라고 생각하면 됩니다. |
|