| 1279 |
선적분 질문 있습니다!
|
sehyun07** |
2022-12-24 |
| 글제목 |
선적분 질문 있습니다! |
| 작성자 |
sehyun07** |
등록일 |
2022-12-24 |
|
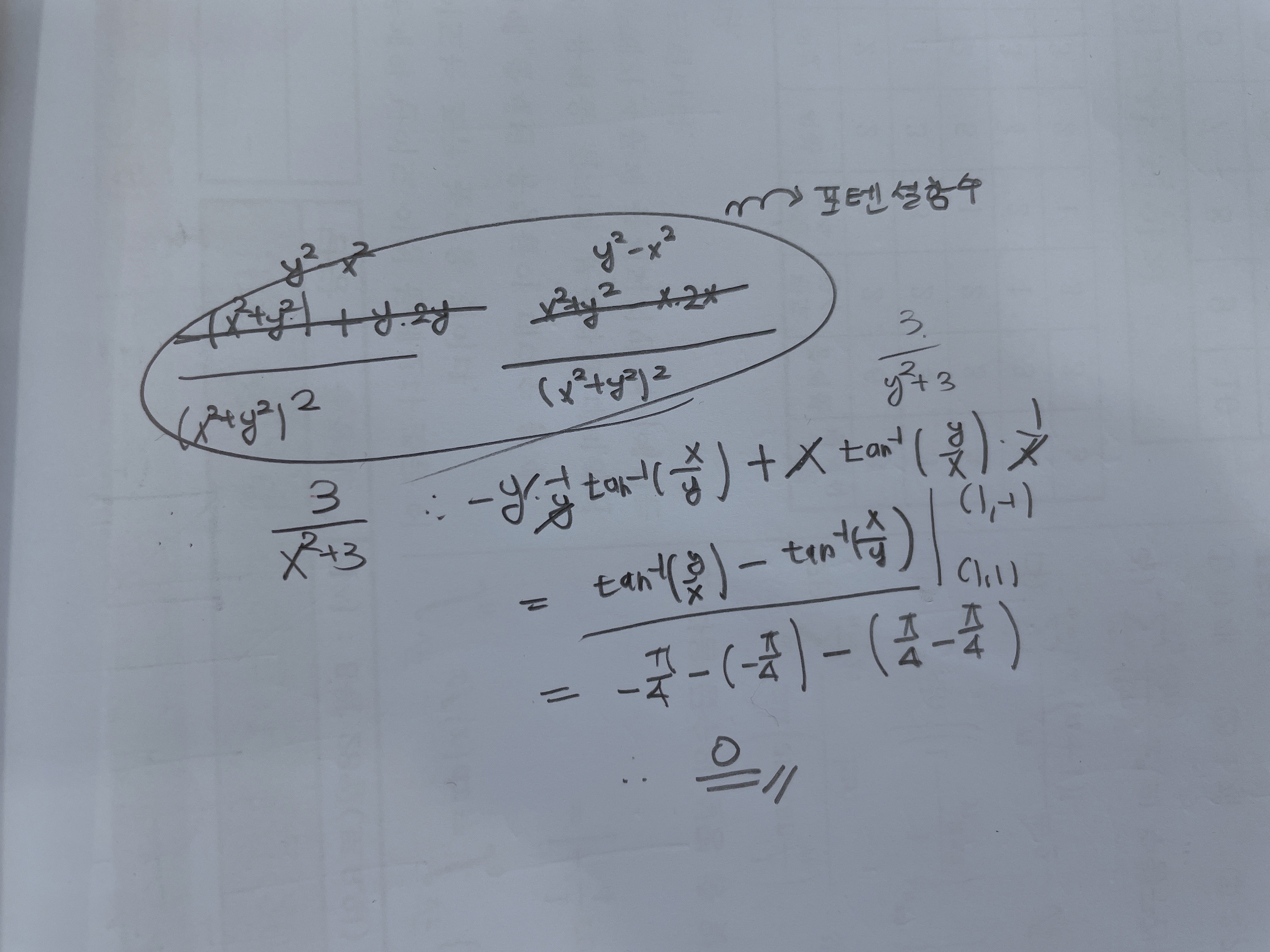
파이널 자료 스칼라 선적분 20년도 세종대 문제입니다. 퍼텐셜 함수인것은 확인했습니다! 그런데 퍼텐션함수는 경로 시작점과 끝점을 대입할 수 있지 않습니까? 그런데 계속 0 이 나오는 이유가 궁금합니다!


|
|
| └ |
답변입니다! |
anamso** |
2022-12-26 |
| 글제목 |
답변입니다! |
| 작성자 |
anamso** |
등록일 |
2022-12-26 |
|
일단 주어진 함수는 정말 잘나오는 포텐셜 함수이기 때문에 굳이 포텐셜인지 체크하지 말구요.
포텐셜이면 위치만 체크하면 되죠?
그래서 f(x,y) 함수로 만들고 위치점만 집어넣었죠. 지금 그렇게 푼 것이구요.
하지만 이 문제유형은 위치로 풀면 안됩니다.
그 이유는, 엄청 복잡한 이론이 있어요. 단순히 설명하자면 분모 x^2+y^2 인데 원점을 끼고 돌게 될 경우 순간 분모가 0 이 되는 부정형이 생겨요. 그러면 단순히 f(x,y) 구한 다음에 처음 위치 마지막 위치로 풀 수가 없어집니다.
그래서 원점을 끼고 돌 경우 경로 변경해서 풉니다.
보통 원으로 돌았다고 가정해요.
x=cost, y=sint 로 두고 풀죠, (1,1)이니 반지름이 root 이니 x=root2cost, y=roo2sint 입니다.
그리고 직접 집어넣고 계산하면 너무 아름답게 1이 나옵니다.
그래서 이 문제는 1로 바로 두고 적분구간 각도만 집어넣고 풉니다.
각만 체크하면 됩니다. 1,1에서 1,-1로 반시계회적 3/2pi가 답이 됩니다
이 문제가 최근 유행인 문제입니다. 22년도 기출문제에서 변형된 문제가 많습니다. 찾아서 꼭 풀어보세요! |
|
| 1278 |
극곡선 파이널 질문 있습니다!
|
sehyun07** |
2022-12-24 |
| 글제목 |
극곡선 파이널 질문 있습니다! |
| 작성자 |
sehyun07** |
등록일 |
2022-12-24 |
|
case 3 원과 극곡선 부분 1번문제입니다. 단위원과 공통부분의 넓이는 반원의 넓이 더하기 90도부터 270도까지 극곡선의 넓이를 구하는거 아닙니까? 3번 풀어봤는데 계속 5/4파이로 답이 나옵니다. 혹시 제가 잘못 생각한 부분이 있습니까? 

|
|
| └ |
죄송합니다. ㅠ |
anamso** |
2022-12-26 |
| 글제목 |
죄송합니다. ㅠ |
| 작성자 |
anamso** |
등록일 |
2022-12-26 |
|
역시 이것도 답체크 오류에요. 현장에서 체크한 걸 수정 못했네요. 번거럽게 게시글 올리게 해서 미안해요.
2번 맞습니다! |
|
| 1277 |
극곡선 파이널 질문 있습니다!
|
sehyun07** |
2022-12-24 |
| 글제목 |
극곡선 파이널 질문 있습니다! |
| 작성자 |
sehyun07** |
등록일 |
2022-12-24 |
|
case 2 넓이 에서 4번문제에 대해서 질문 있습니다! 제가 푼 풀이로는 1/6이 나오는데, 1사분면에서 x축과 둘러싼 부분이면 제가 색칠한 저 부분만을 의미하지 않습니까? 그래서 0부터 30도까지 적분했는데 어디서 제가 잘못 생각한지 모르겠습니다! 

|
|
| └ |
헉 |
anamso** |
2022-12-25 |
| 글제목 |
헉 |
| 작성자 |
anamso** |
등록일 |
2022-12-25 |
|
죄송합니다. 1번이 1/6 답이 맞아요 ㅠ 잘풀엇어요! |
|
| 1276 |
22과기11번
|
ipsin** |
2022-12-23 |
| 글제목 |
22과기11번 |
| 작성자 |
ipsin** |
등록일 |
2022-12-23 |
|

해설지에서는 경로를 (2cost,sint)로 해줬는데 어떻게 해야 그렇게 만들 수 있나요?
|
|
| └ |
답변입니다! |
anamso** |
2022-12-25 |
| 글제목 |
답변입니다! |
| 작성자 |
anamso** |
등록일 |
2022-12-25 |
|
어차피 포텐셜이라 경로는 무었을해도 상관없습니다!
그런데 적분하기 좋으려면 x=2cos, y=sin 해줘야 4cos^2+4sin^2 으로 이쁘게 정리될수 있죠.
한바퀴 도는 원으로 하는 경우 예를 들어, (1,-1)에서 시작해서 다시 (1,-1)로 돌아오면
x=root2cos, y=root2sin 으로 해볼 수 있지만 그렇게 해봐야 어차피 적분식이 힘듭니다.
물론 적분식 x^2+y^2 인 경우 원으로 하는 경우가 많습니다.
|
|
| 1275 |
22과기8번
|
ipsin** |
2022-12-23 |
| 글제목 |
22과기8번 |
| 작성자 |
ipsin** |
등록일 |
2022-12-23 |
|

|
|
| └ |
풀이입니다. |
anamso** |
2022-12-25 |
| 글제목 |
풀이입니다. |
| 작성자 |
anamso** |
등록일 |
2022-12-25 |
|
풀이는 아래 참고!
좀 어렵네요! 
|
|
| 1274 |
22과기 5번
|
ipsin** |
2022-12-23 |
| 글제목 |
22과기 5번 |
| 작성자 |
ipsin** |
등록일 |
2022-12-23 |
|

|
|
| └ |
쭉 저개하면 됩니다. |
anamso** |
2022-12-25 |
| 글제목 |
쭉 저개하면 됩니다. |
| 작성자 |
anamso** |
등록일 |
2022-12-25 |
|
걍 쭉 다 전개하면 됩니다. 아래참고

|
|
| 1273 |
21 과기대 12
|
monge6** |
2022-12-23 |
| 글제목 |
21 과기대 12 |
| 작성자 |
monge6** |
등록일 |
2022-12-23 |
|

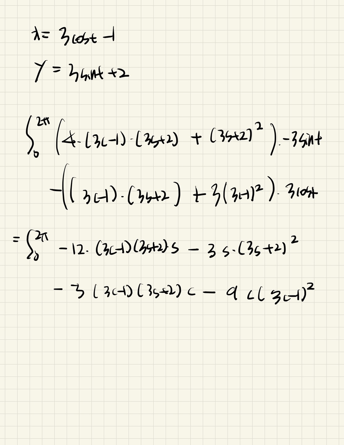
선적분 마지막에 배웠던 유량, 플럭스 식을 사용하는 문제 같은데 부피를 구하려고해봤는데 도형이 처음보는 찌그러져있는 구 같습니다. 찌그러져있는 구 부피를 구하지 않고 풀수있는 다른 방법이 있는건가요?
|
|
| └ |
답변입니다! |
anamso** |
2022-12-25 |
| 글제목 |
답변입니다! |
| 작성자 |
anamso** |
등록일 |
2022-12-25 |
|
살짝 눈린 구... 타구(?)라고 볼 수 있습니다.
타원이 돌아간 것이죠.
타원의 면적 공식 장축a 단축b일 떄 ab파이는 유명합니다.
하지만 타구의 면적공식을 외우는 건 솔직히 좀.....
그래서 치환해서 구로 바꿉니다. 이떄 야코비안 생각보다 쉽게 나오니 걱정마세요.
아래 참고 x3해서 24pi 답

|
|
| 1272 |
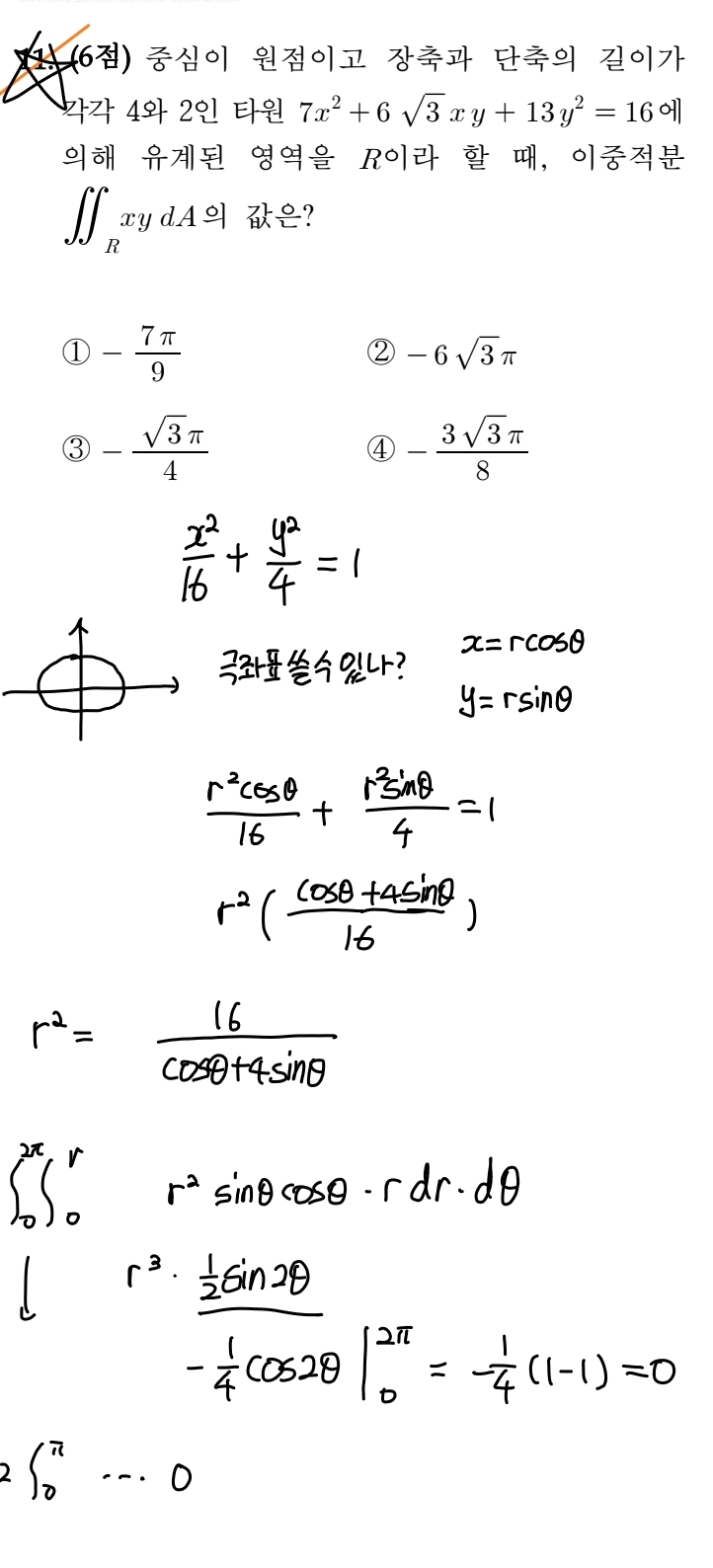
21 과기대 11
|
monge6** |
2022-12-23 |
| 글제목 |
21 과기대 11 |
| 작성자 |
monge6** |
등록일 |
2022-12-23 |
|

일단 타원 저 식이 뭔지 잘모르겠습니다.. 뭔가 회전된거같긴한데 일단 장축과 단축이 나와있어서 회전은 됬지만 면적은 똑같다고 생각하고 간단한 타원 식을 만들어서 풀었습니다.
풀다보니까 강의에서 말씀하셨던 억지로 극좌표로 풀어야되는 이중적분 같은데 이 문제가 패스해야하는 문제인가요? 어려운 식 이전에 간단한 세타부터 없애려고해봤는데 세타에서도 넓이가 0이 나오네요.. |
|
| └ |
답변입니다! |
anamso** |
2022-12-25 |
| 글제목 |
답변입니다! |
| 작성자 |
anamso** |
등록일 |
2022-12-25 |
|
일단 패스하는 문제는 맞습니다.
주어진 식은 타원입니다. 극좌표를 원일 떄 쓸 수 있쬬?
그래서 x/4=u, y/2=v 로 u^2+v^2=1 치환한 후에 u=rcos, v=rsin 극좌표를 쓰면 됩니다.
하지만!!!!
중심이 원점이 아닌 타원이에요. 식에 6루트3xy 보이시나요? 이게 있으면 평행이동했단 얘기이고
원점이 중심아니란 말입니다...
그럼 이걸 원점으로 대칭이동해야하는데... 그러면 갑자기
선형대수 오로지 한양대에서 가끔 물어보던 주축정리를 해야하고 ...
하... 문제 낸 사람 화난다...
아무튼 타원까지는 해볼 수있는 중심이 원점이 아니면 바로 패스해야합니다. |
|
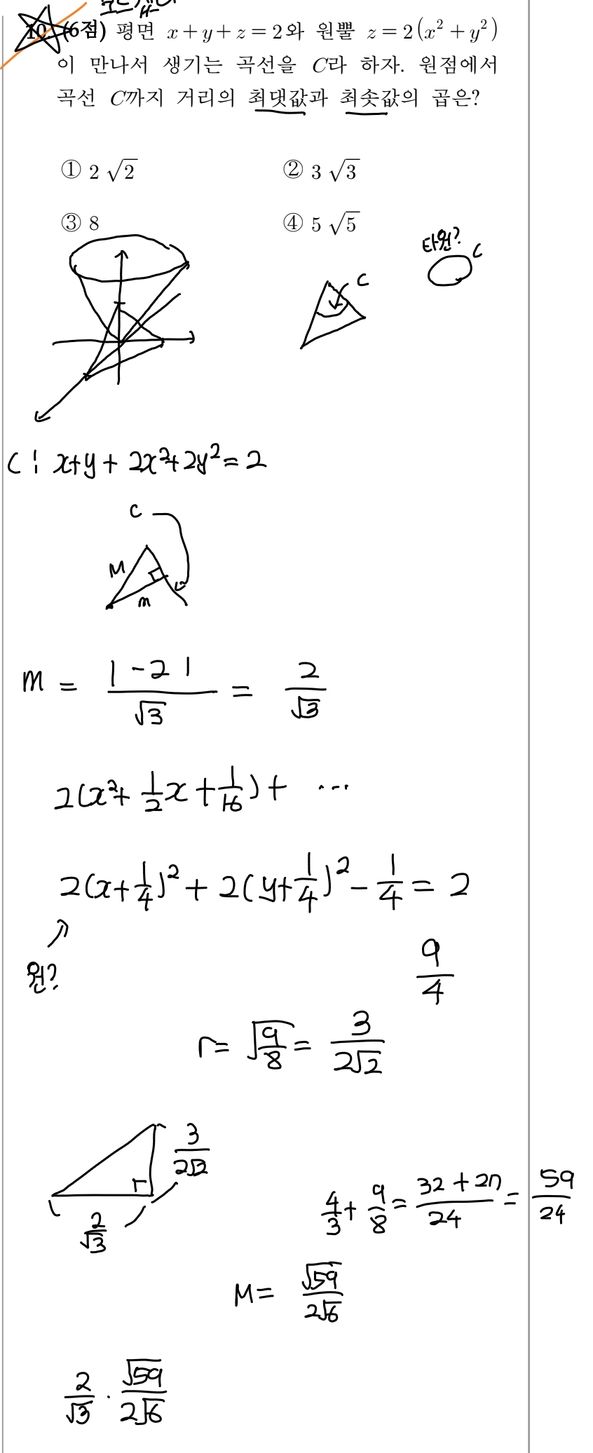
| 1271 |
21 과기대 10
|
monge6** |
2022-12-23 |
| 글제목 |
21 과기대 10 |
| 작성자 |
monge6** |
등록일 |
2022-12-23 |
|

일단 미적분학2 문제인지 벡터 문제인지 잘모르겠습니다..
도형을 생각해보면 곡선 C가 타원이 나올것같은데 대입하니까 원이 나왔습니다. 교선을 구하려면 대입해야했던거같은데 이게 맞는지 모르겠어요. 곡선C 구하는걸 잘못한거같은데.. 모르겠습니다.. 답이 이상하게 나와요 .. |
|
| └ |
답변입니다! |
anamso** |
2022-12-25 |
| 글제목 |
답변입니다! |
| 작성자 |
anamso** |
등록일 |
2022-12-25 |
|
기하적으로 풀려고 한 시도는 아주 좋았습니다.
다만 원이긴 원인데 기울어진 원입니다. 원을 xy 평면과 평행한 원이라고 착각한데서 온 실수입니다.
아래참조..
결국 라그랑지로 풀어야하는데, 라그랑지로 풀어도 어려운건 매한가지인데요.
다행히 수업 중에 강조했떤 x,y 대칭관계라 x=y 같다고해서 풀면 답은 금방 나옵니다.

|
|
| 1270 |
21 과기대 8
|
monge6** |
2022-12-23 |
| 글제목 |
21 과기대 8 |
| 작성자 |
monge6** |
등록일 |
2022-12-23 |
|

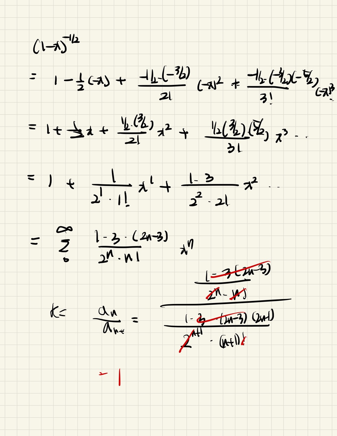
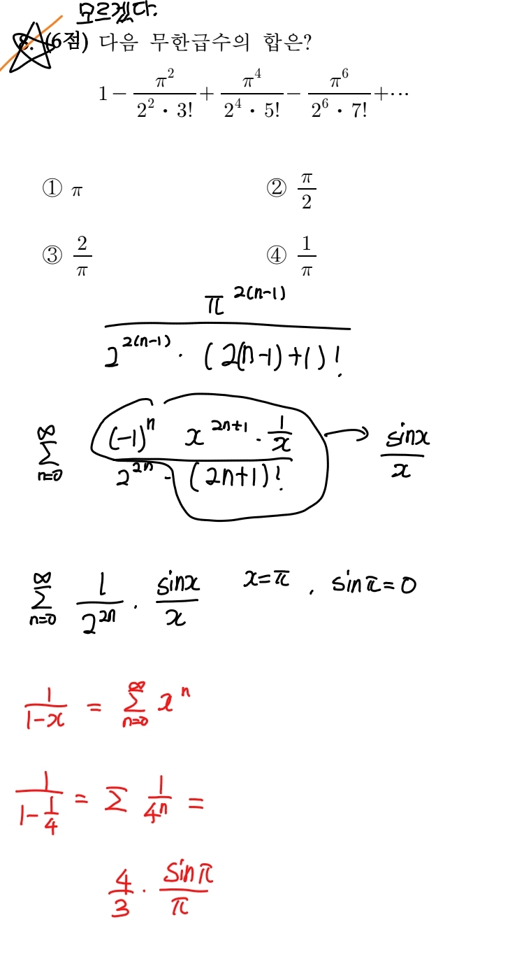
뭔가 맥클로린 급수 sin 비슷하게 나와서 풀어봤는데 파이를 넣어야할거같은데 sin파이는 0이 되는데 이걸 어떻게 처리해야할지 모르겠습니다.
|
|
| └ |
답변입니다! |
anamso** |
2022-12-25 |
| 글제목 |
답변입니다! |
| 작성자 |
anamso** |
등록일 |
2022-12-25 |
|
일단 무한급수 값을 물어보는 문제 경우
어려운 표현 같은 경우도 저조차도 헷갈리고 시간이 오래 걸립니다.
그래서 실전에서는 걍 집어넣고 대략 비슷한 보기 찾는게 가장 좋습니다.
pi=3.1 로 두고
1-9.6/24+90/(16*120) 인데 90/(16*120) 이하부터 값은 너무 작고 대충
1보다 작은 값이 나옵니다. 보기에서 1보다 약간 작은값은 3번 뿐이죠.
쿨하게 3번 찍고 다음 문제 ㄱ!
보여준 풀이에 오류가 있습니다.
묶어준 부분 식이 an이라 한다면 시그마an=sinx 인데 단순히 an=sinx로 두었어요.
그렇게 하지 말고 분모 2^2n을 위 x와 같이 합쳐서 (x/2)^2n으로 두고 풀어야합니다. sinx으로 바꿀거면 시그마가 소거 되어야해요.
|
|
| 1269 |
20한양25번재질문
|
ipsin** |
2022-12-23 |
| 글제목 |
20한양25번재질문 |
| 작성자 |
ipsin** |
등록일 |
2022-12-23 |
|


|
|
| └ |
답변입니다! |
anamso** |
2022-12-25 |
| 글제목 |
답변입니다! |
| 작성자 |
anamso** |
등록일 |
2022-12-25 |
|
앗 상수를 언급안했군요. 저는 일차식이하 부산물 없애고 판단했습니다.
왜 상수까지 지우냐고 물어본다면, 9와 4를 두고 계산과정을 펼쳐야 하는데,
9와 4가 조합이 짝홀이라 상수가 다른 값으로 존재한다면 정수가 나오기 힘듭니다.
자세한 풀이는 아래 적겠습니다!
ps: 성대 안보고 한양대 보러가나보군요? 현강에선 성대 지원자가 많아 이 문제는 한양대 한정 문제라 이 문제까지는 풀지 않았씁니다.

|
|
| 1268 |
교재 pg.473 27번
|
edga** |
2022-12-23 |
| 글제목 |
교재 pg.473 27번 |
| 작성자 |
edga** |
등록일 |
2022-12-23 |
|

|
|
| └ |
답변입니다! |
anamso** |
2022-12-25 |
| 글제목 |
답변입니다! |
| 작성자 |
anamso** |
등록일 |
2022-12-25 |
|
변함없습니다.
이렇게 해도 돼? 네 됩니다!
원기둥이니 주면 좌표계를 쓰는게 좋은데 하필
x가 아닌 z네요.
그래서 z를 x라 생각하고, 즉 zy 평면 기준으로 주면좌표계를 잡았죠.
'xy평면위에 세줘진다'가 아닌 지금 보여준 페이진 왼쪽 모양입니다.
여기서 x는 원래 z의 역할을 하죠.
정말, 이해가 안되시면 그냥 x를 z라고 두고 z를 x라 두고 다 바꺼서 푸는 것도 방법입니다.
|
|
| 1267 |
교재 pg.470 17번
|
edga** |
2022-12-23 |
| 글제목 |
교재 pg.470 17번 |
| 작성자 |
edga** |
등록일 |
2022-12-23 |
|

|
|
| └ |
오 |
anamso** |
2022-12-23 |
| 글제목 |
오 |
| 작성자 |
anamso** |
등록일 |
2022-12-23 |
|
오, 아주 잘햇습니다.
그런데 사실 문제가 좀 문제(?)가 있습니다.
방향을 주지 않았거든요.
그래서 사실 + 가 나올 수도 -가 나올 수 있습니다.
기본적으로는 반시계방향
양의 z 축 방향입니다.
그래서 풀이 자체는 맞았습니다.
해설과 왜 다르냐면
문제는 x+y=2 라 z축이 없습니다. 그래서 문제에서 어느 방향인지 명확히 줘야했는데 안줬으니 +- 둘다 답입니다. |
|
| 1266 |
교재 pg.469 14번
|
edga** |
2022-12-23 |
| 글제목 |
교재 pg.469 14번 |
| 작성자 |
edga** |
등록일 |
2022-12-23 |
|

|
|
| └ |
답변입니다. |
anamso** |
2022-12-23 |
| 글제목 |
답변입니다. |
| 작성자 |
anamso** |
등록일 |
2022-12-23 |
|
무조건 c^2+s^2=1 형태가 되면 됩니다. 아래처럼요!
그런데.... 문제는... 저 이후에 계산하는 과정이 조금 빡십니다.
다행히 2pi까지라 소거되는건 많을거에요. 그 이후 계산은.... 염치없지만 학생분에게 맡기겠습니다..

|
|
| 1265 |
경희대 미방 급합니다!!
|
jjh04** |
2022-12-23 |
| 글제목 |
경희대 미방 급합니다!! |
| 작성자 |
jjh04** |
등록일 |
2022-12-23 |
|
저렇게 했는데 상수가 안 없어 집니다 내일 시험이라 빠르게 답변 부탁드립니다! 
|
|
| └ |
빠르게 답변!! |
anamso** |
2022-12-23 |
| 글제목 |
빠르게 답변!! |
| 작성자 |
anamso** |
등록일 |
2022-12-23 |
|
엄청 고생했군요. 풀이는 아래와 같습니다. 참고로 제가 쓰는 D^2인 경우 공식 썼는데 공식 쓰기 싫으면 급수로 바꿔서 하면 됩니다.

|
|