| 1354 |
22 중앙대 9번
|
monge6** |
2023-01-01 |
| 글제목 |
22 중앙대 9번 |
| 작성자 |
monge6** |
등록일 |
2023-01-01 |
|

행렬식 값이 고유치의 곱이라는걸 이용해서 풀어야하나 생각해봤는데
일단 고유치를 구하려고하니까 0이 좀있어서 그런지 고유치가 한 개가 나옵니다 그래서 그걸 계산해봤는데 안나와요... 모르겠습니다..
|
|
| └ |
답변입니다! |
anamso** |
2023-01-02 |
| 글제목 |
답변입니다! |
| 작성자 |
anamso** |
등록일 |
2023-01-02 |
|
인수 분해 해야합니다.
A(A-9I)(A+9I) 로 인수분해가 되죠? 이 상태에서 행렬식 구하면 됩니다.
다행히 주대각에 9가 있어서
A-9I 와 A+9I 행렬식 구할만합니다.
고유치로도 풀 수 있는데...고유치의 0 이있나요? 0이 없을겁니다. |
|
| 1353 |
22 중앙대 5번
|
monge6** |
2023-01-01 |
| 글제목 |
22 중앙대 5번 |
| 작성자 |
monge6** |
등록일 |
2023-01-01 |
|

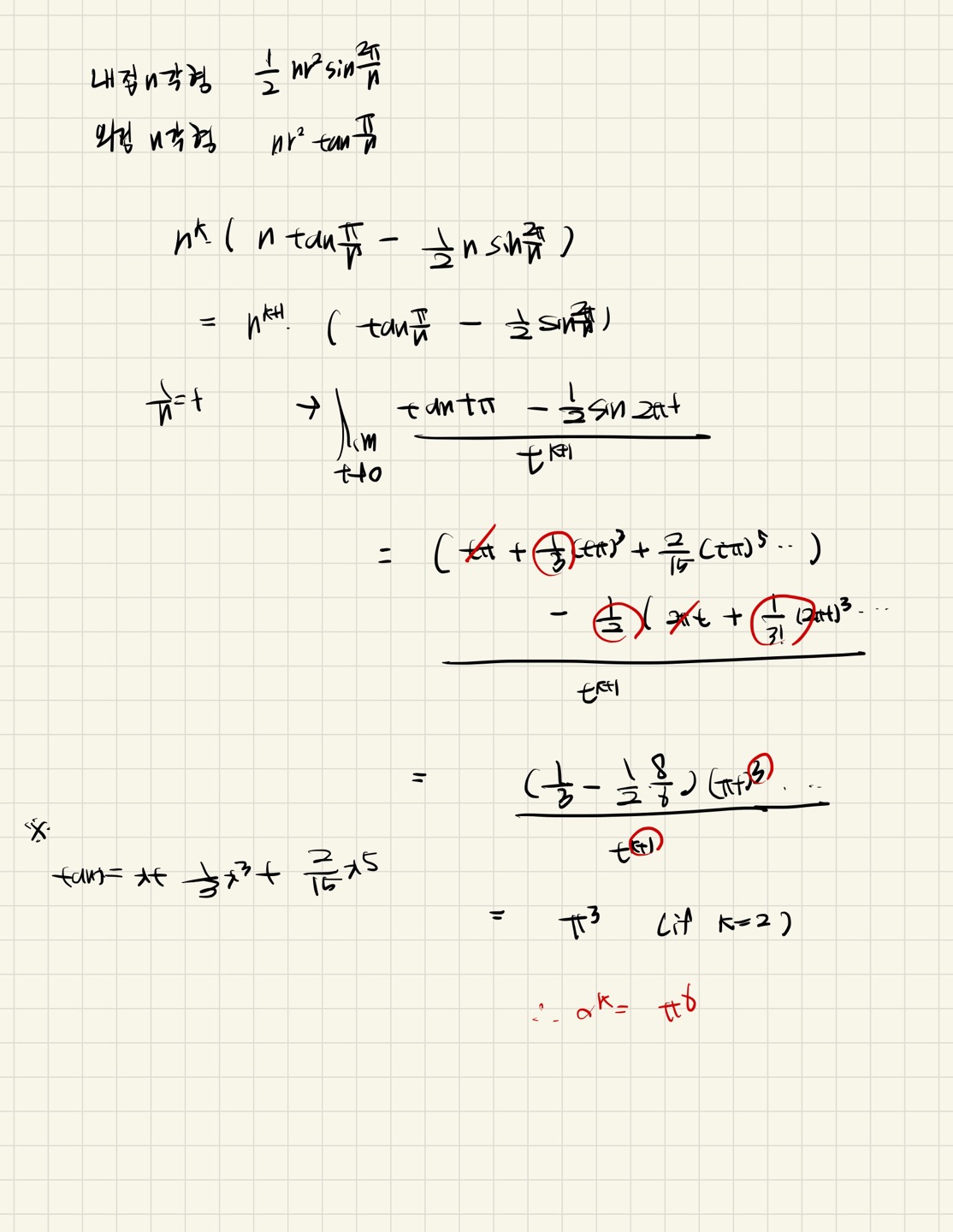
시험에서 이 문제를 봤으면 좀 생각해보다가 오래걸릴거같아서 넘어갔을거같아요..
근데 혼자 연습하는거니까 오래 생각해보면서 풀어보았는데 이상하게 서로 같은식이 나옵니다... 모르겠어요! |
|
| └ |
답변입니다! |
anamso** |
2023-01-02 |
| 글제목 |
답변입니다! |
| 작성자 |
anamso** |
등록일 |
2023-01-02 |
|
아래처럼 극한으로 푸는데..
출제자 얼굴 좀 보고 싶네요.. 중앙대 수학과 대학원생도 못 풀 거 같은데요?

|
|
| 1352 |
22 중앙대 3번
|
monge6** |
2023-01-01 |
| 글제목 |
22 중앙대 3번 |
| 작성자 |
monge6** |
등록일 |
2023-01-01 |
|

좌표 변환 문제라고 생각하고 풀려고했습니다.
하나는 치환하기 좋게 생겼는데 y=x , y=ex를 어떻게 치환해야할지 모르겠어요.. |
|
| └ |
답변입니다! |
anamso** |
2023-01-02 |
| 글제목 |
답변입니다! |
| 작성자 |
anamso** |
등록일 |
2023-01-02 |
|
넘겨서 y/x=1 y/x=e
y/x 를 치환합니다! |
|
| 1351 |
22 중앙대 2번
|
monge6** |
2023-01-01 |
| 글제목 |
22 중앙대 2번 |
| 작성자 |
monge6** |
등록일 |
2023-01-01 |
|

문제 뜻을 모르겠어요 :(
|
|
| └ |
답변입니다. |
anamso** |
2023-01-02 |
| 글제목 |
답변입니다. |
| 작성자 |
anamso** |
등록일 |
2023-01-02 |
|
일단 이 문제 평면의 방정식만 구하면 대칭점의 중점과 평면의 수직벡터를 이용해 구할 수 있죠. 이렇게 선형대수 행렬과 기하를 섞어 내는 문제가 한 문제 정도는 나옵니다.
문제는 치역의 평면의 방정식이 무엇이냐인데요.
이 문제의 키포인트 평면의 방정식을 찾는 것입니다.
찾기만 하면 다른 점대칭 푸는 문제처럼 풀면 되니까요.
행렬과 기하가 섞인 문제네요.
문제는 평면의 방정식이 치역이라는데..
그것은 A 행렬의 열벡터입니다! 왜 일까요?
걍 집어넣어보면 압니다. 쉽게 (1,0,0) 집어넣으면 3,1,1 (0,1,0) 이면 2,1,2 (0,0,1) 이면 1,1,3
그대로 열벡터가 나오죠?
이 벡터3개로 만들어진게 평면이니라고 하니까. RANK를 하면 하나는 지워지겠네요.
그 두 벡터로 평면의 방정식 구하고 대칭 구하면 됩니다.
(a,b,c) 로 두고 중점이 평면을 지나고,
(a,b,c) 와 (1,1,1) 방향벡터는 평면의 법선벡터와 비례식으로. |
|
| 1350 |
재질문
|
ipsin** |
2023-01-01 |
| 글제목 |
재질문 |
| 작성자 |
ipsin** |
등록일 |
2023-01-01 |
|
이 문제 풀고싶어서 올리는 것이 아닌 21한양대 24번 기저행렬에 관한 문제였는데 답변해주신 내용에서 아래 사진과 같이 이해가 안갑니다. 
|
|
| └ |
답변입니다! |
anamso** |
2023-01-02 |
| 글제목 |
답변입니다! |
| 작성자 |
anamso** |
등록일 |
2023-01-02 |
|
T(X)=a+b+c 이면 1,1,1 이니 T(X)=a 이니 1,0,0 입니다. 이걸 세로로 적기로 했구요.
a=v1 입니다. |
|
| 1349 |
18중대18번
|
ipsin** |
2023-01-01 |
| 글제목 |
18중대18번 |
| 작성자 |
ipsin** |
등록일 |
2023-01-01 |
|

|
|
| └ |
답변입니다! |
anamso** |
2023-01-02 |
| 글제목 |
답변입니다! |
| 작성자 |
anamso** |
등록일 |
2023-01-02 |
|
일단 일대일 때는 실수배이지만 지금 벡터가 3개라 다 같이 판단해야합니다.
벡터가 3개라
c1y1+c2y2+c3y3=0 을 만족하는 c1,c2,c3가 0을 제외하고 존해자면 독립입니다.
독립의 정의죠. 해보면 c1+c2+c3=0 , c1+c20,1+c30.01=0 이라 구해볼 필요없이 존재합니다.
식2개이고 변수 3개이니.
이렇게 판단해도 되고 해설처럼 론스키안으로 판단해도 됩니다. |
|
| 1348 |
19 과기대 20번
|
monge6** |
2022-12-31 |
| 글제목 |
19 과기대 20번 |
| 작성자 |
monge6** |
등록일 |
2022-12-31 |
|

노옴 식이 생각이 안나서 찾아봤는데 제가 적어 놓은거에 함수의 노옴은 나와있는데 행렬관련된 노옴은 뭔지 모르겠습니다 |
|
| └ |
답변입니다! |
anamso** |
2023-01-02 |
| 글제목 |
답변입니다! |
| 작성자 |
anamso** |
등록일 |
2023-01-02 |
|
같은겁니다.
그냥 크기 구하는 것이고
요소의 제곱+제곱 루트 씌우면됩니다.
고유벡터 구하시고 제곱+제곱 루트 씌우면 됩니다.
|
|
| 1347 |
19 과기대 19번
|
monge6** |
2022-12-31 |
| 글제목 |
19 과기대 19번 |
| 작성자 |
monge6** |
등록일 |
2022-12-31 |
|

ㄴ 과 ㄷ이 헷깔리는데 제 생각을 적어놓았습니다. 잘못된게 있다면 알려주세요..! |
|
| └ |
답변입니다! |
anamso** |
2023-01-02 |
| 글제목 |
답변입니다! |
| 작성자 |
anamso** |
등록일 |
2023-01-02 |
|
ㄴ은 자주 나오죠. 대각행렬이랑 주어진 A으 역행렬이랑 상관없습니다. 벡터 P 역행렬이 중요하죠.
ㄷ. 예로 판단하면 좋습니다. 지금 한 예시 아주 좋습니다. 단위 행렬 I는 고유치가 중복이지만 고유벡터가 2개 독립벡터가 나오죠!
0 0 0 0 과 x,y 는
1,0 과 0,1 나오죠 |
|
| 1346 |
19 과기대 15
|
monge6** |
2022-12-31 |
| 글제목 |
19 과기대 15 |
| 작성자 |
monge6** |
등록일 |
2022-12-31 |
|

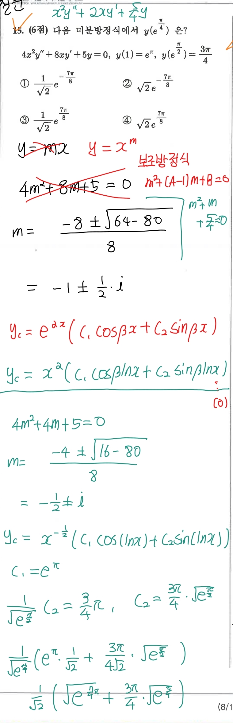
코시 오일러 미분방정식... 한번 풀어봤다가 공식이 생각이 안나서 책을 참고해서 풀어봤습니다.
어디서 잘못푼건지 모르겠는데 답이 안나와요 ㅠㅠ |
|
| └ |
답변입니다! |
anamso** |
2023-01-02 |
| 글제목 |
답변입니다! |
| 작성자 |
anamso** |
등록일 |
2023-01-02 |
|
x^2y+2xy+5/4 이고 코시방정식을 쓰면
m^2+m+5/4=0 입니다.
이는 4m^2+4m+5=0 입니다. m의 계수 계싼실수입니다. |
|
| 1345 |
19 과기대 12번
|
monge6** |
2022-12-31 |
| 글제목 |
19 과기대 12번 |
| 작성자 |
monge6** |
등록일 |
2022-12-31 |
|

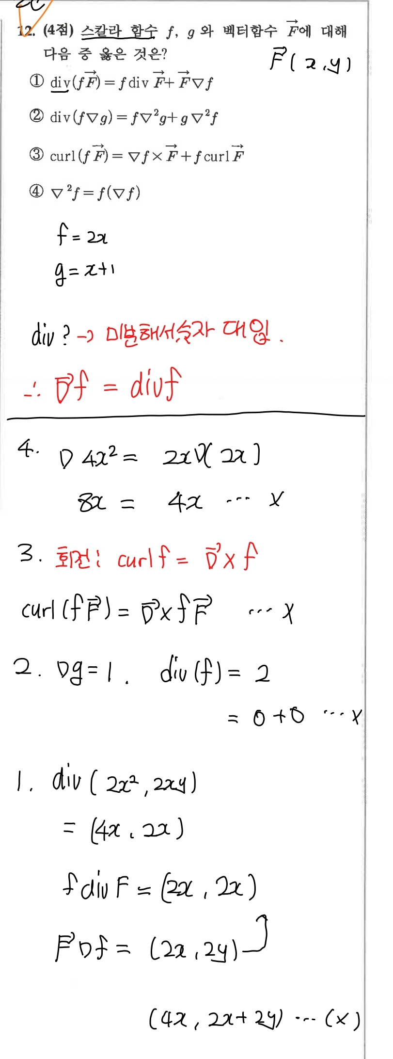
div.... curl... 익숙하지 나와서 당황했습니다..
스칼라 함수 f, g와 벡터함수F를 제 나름대로 쉬운 예로 잡아서 풀어봤는데 제대로 안나오네요..
함수 예시를 잘못 잡은건지 아니면 식이 잘못된건지 모르겠습니다..! |
|
| └ |
답변입니다! |
anamso** |
2023-01-02 |
| 글제목 |
답변입니다! |
| 작성자 |
anamso** |
등록일 |
2023-01-02 |
|
일단 예를 만들어서 집어넣는 판단 좋습니다.
근데 쉬운걸 넣지...좀 복잡한 걸 넣었네요.
저라면 일단 상수만 집어넣고 보기를 거를 거 같습니다.
그리고 curl 연산은 3차원 연산입니다. 하려면 x,y,z 가 있어야 합니다. 지금 x,y만 해서 curl 자체가 안나온것입니다.
한번 상수만 집어넣고 구해보고 중복된 보기 있으면
x,y,z 라고 단순히해서 하면 답 나올겁니다. |
|
| 1344 |
19 과기대 9번
|
monge6** |
2022-12-31 |
| 글제목 |
19 과기대 9번 |
| 작성자 |
monge6** |
등록일 |
2022-12-31 |
|

처음 보는 도형인 것 같아요.
삼중적분에서 극좌표계로 풀려고해봤는데 원기둥의 밑면이 중심이 아니라서 그냥 제 마음대로 바꿔주었습니다. 그리고 제 나름의 생각으로 삼중적분 식을 세워서 풀어보았는데 이상하게 변수가 사라지지 않네요..
|
|
| └ |
답변입니다! |
anamso** |
2023-01-02 |
| 글제목 |
답변입니다! |
| 작성자 |
anamso** |
등록일 |
2023-01-02 |
|
r값이 중심이 y축 위에 있죠.
그래서 r값은 단순히 상수가 나올 수 없습니다.
이 r값은 삼중적분에서 첨 봤지만 사실 극좌표 문제에서 많이 봤습니다.
r=asin세타입니다. 많이 봤죠? 지름이 2이니 r=2sin세타가 되겠습니다.
그리고 이 식의 한바퀴는 2pi가 아니라 pi 입니다.
그래서 범위가 0~pi, r은 0~2sin세타로 풀어야합니다. |
|
| 1343 |
19 과기대 8번
|
monge6** |
2022-12-31 |
| 글제목 |
19 과기대 8번 |
| 작성자 |
monge6** |
등록일 |
2022-12-31 |
|

x=y 대칭도 아니고 sin cos을 넣어도 식이 더러워보여서 그냥 라그랑지 썼습니다.
그런데 x=-1이 나오면서 최댓값은 제대로 구한거같은데.. 그냥 식을 이리저리 끄적여보다가 최솟값이 나왔습니다.. 풀고 고치는거라서 답도 알고 그래서 풀수있었던거같은 느낌이에요.. 야매로 푼거같아서 선생님의 풀이가 궁금합니다..! |
|
| └ |
답변입니다! |
anamso** |
2023-01-02 |
| 글제목 |
답변입니다! |
| 작성자 |
anamso** |
등록일 |
2023-01-02 |
|
풀이는 아래와 같습니다.
실은 제곱 제곱 완전제곱이라 최손값은 2가 쉽게 나와요. 문제는 최대값인데
cos sin 이용하면 아래처럼 구합니다.
원래 라그랑지를 안쓰려면 감이 좋아야합니다.

|
|
| 1342 |
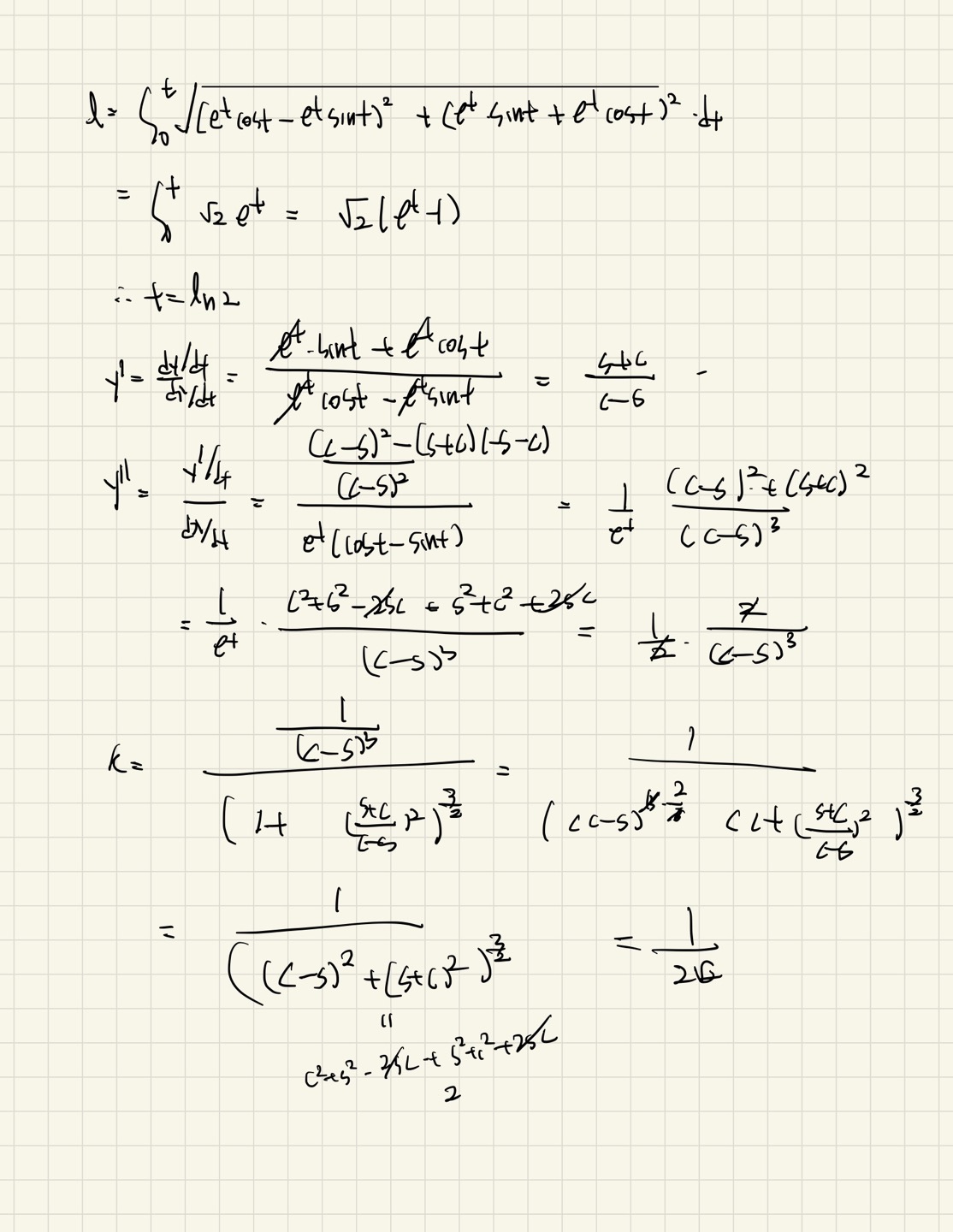
19 과기대 7번
|
monge6** |
2022-12-31 |
| 글제목 |
19 과기대 7번 |
| 작성자 |
monge6** |
등록일 |
2022-12-31 |
|

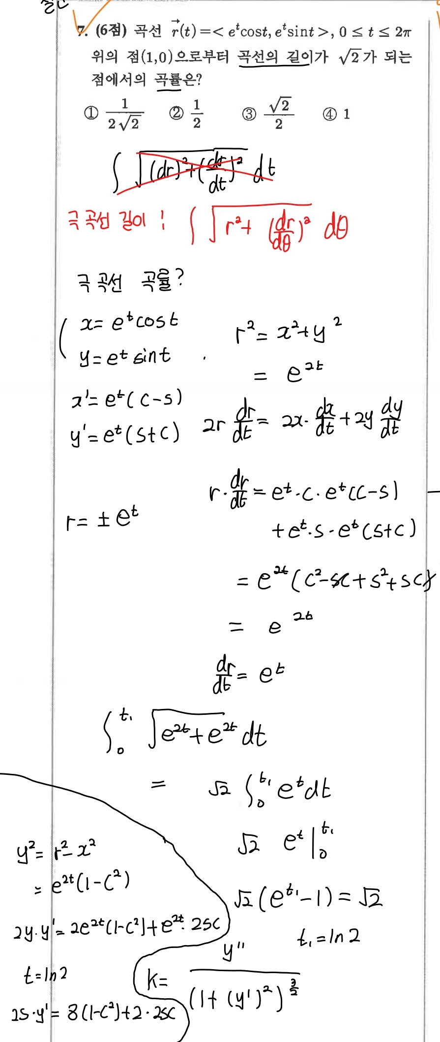
함수가 매개변수로 표현되있는데 곡률구하는 문제는 처음보는것같아요..
y에 대한 식으로 만들어서 풀어보려고했는데 계산을 잘못해서 안나오는건지 다른곳에서 잘못한건지... 못풀겠습니다.. |
|
| └ |
답변입니다! |
anamso** |
2023-01-02 |
| 글제목 |
답변입니다! |
| 작성자 |
anamso** |
등록일 |
2023-01-02 |
|
굳이 어려운 y=f(x) 잡아서 풀지마세요.
그냥 매개변수로 풀면됩니다.
해설엔 공식으로 되어있을텐데 공식을 써도 됩니다. 
|
|
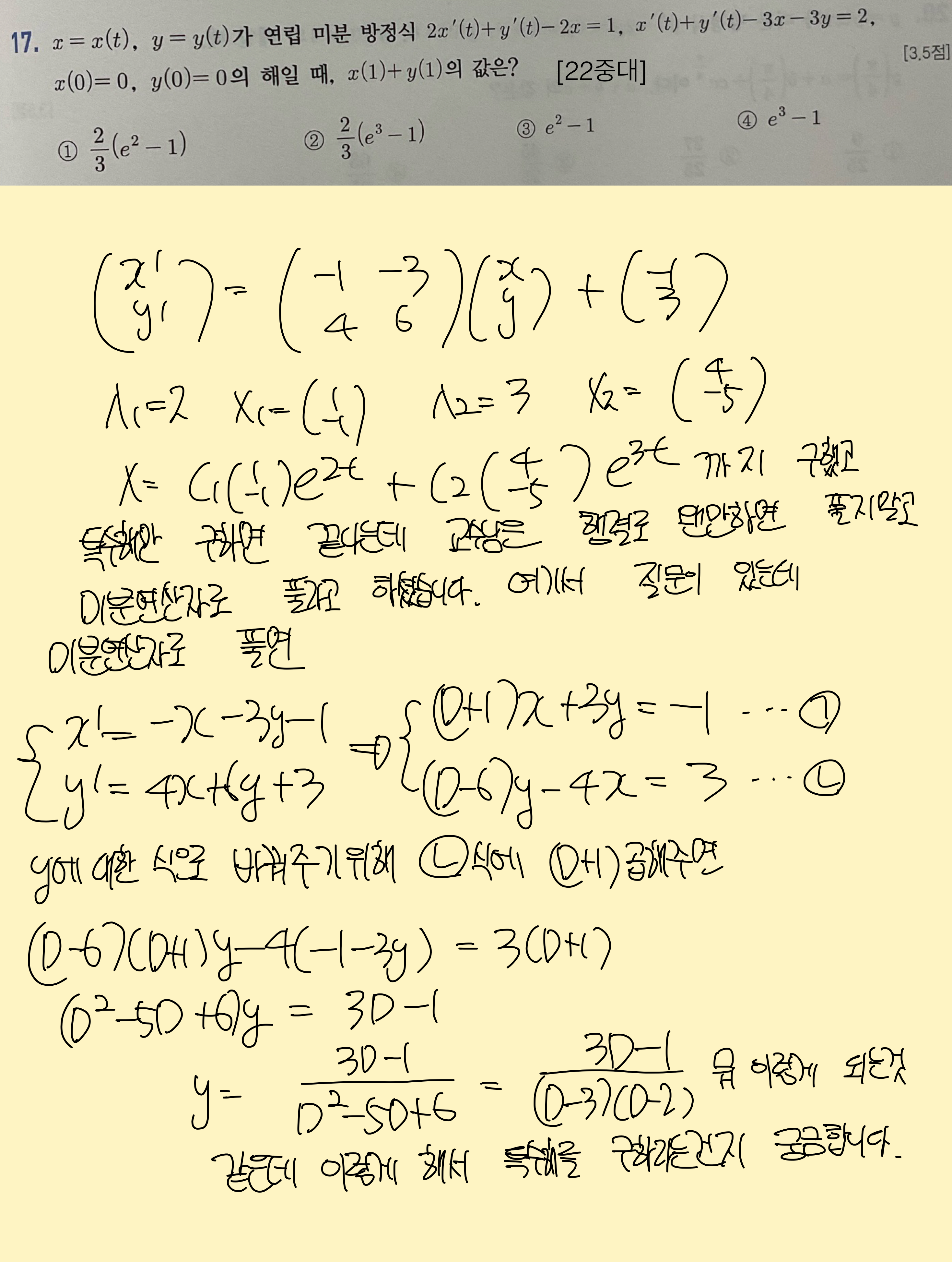
| 1341 |
22중대17번
|
ipsin** |
2022-12-31 |
| 글제목 |
22중대17번 |
| 작성자 |
ipsin** |
등록일 |
2022-12-31 |
|

|
|
| └ |
답변입니다! |
anamso** |
2023-01-02 |
| 글제목 |
답변입니다! |
| 작성자 |
anamso** |
등록일 |
2023-01-02 |
|
방법은 맞는데 연산자 실수를 했네요.

|
|
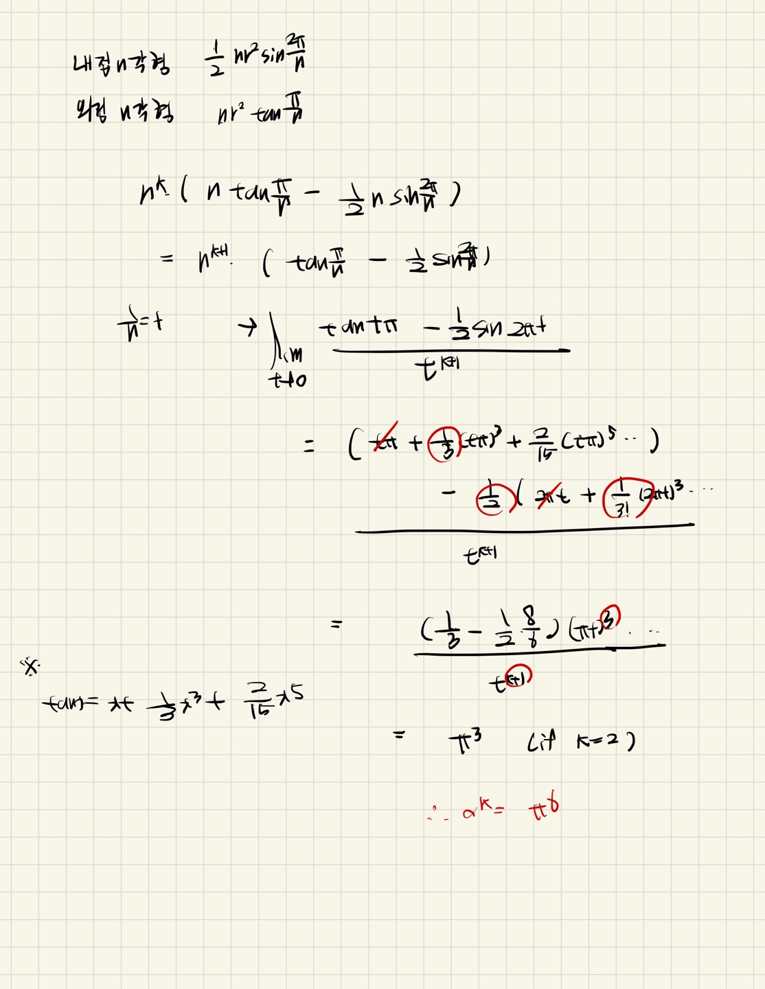
| 1340 |
22중대5번
|
ipsin** |
2022-12-31 |
| 글제목 |
22중대5번 |
| 작성자 |
ipsin** |
등록일 |
2022-12-31 |
|

|
|
| └ |
답변입니다. |
anamso** |
2023-01-02 |
| 글제목 |
답변입니다. |
| 작성자 |
anamso** |
등록일 |
2023-01-02 |
|
일단 일반적으로 못 푸는 문제입니다. 내접 외적 n각형 공식을 유도하기 힘들고 외워야 그나마 풀 수 있는 문제입니다.

|
|