| 1303 |
21 과기대 17
|
monge6** |
2022-12-27 |
| 글제목 |
21 과기대 17 |
| 작성자 |
monge6** |
등록일 |
2022-12-27 |
|

ㄱ,ㄴ,ㄷ,ㄹ.... 구하는 문제 보자마자 숨이 턱 막히는데 잘풀수있는 팁같은거 있을까요...?
나름 생각하면서 풀어보긴했는데 답이 안나오네요 |
|
| └ |
답변입니다. |
anamso** |
2022-12-28 |
| 글제목 |
답변입니다. |
| 작성자 |
anamso** |
등록일 |
2022-12-28 |
|
저도 맞추면 좋고 아니면 말고 초탈해서 푸는 문제 유형이에요.
게다가 갯수까지.. 출제자 진짜 너무하네요.
잘 푸는 팁은 예를 집어넣는 수 밖에 없습니다. 반례를 잘 찾구요.
rank값이 n 그대로라면 역행렬이 존재하는 것입니다.
AC=AB 에서 A 역행렬 지우면 B=C 같죠.
ㄹ직교행렬과 대칭행렬을 착각해서 예를 집어넣네요 ㅠ |
|
| 1302 |
21 과기대 16
|
monge6** |
2022-12-27 |
| 글제목 |
21 과기대 16 |
| 작성자 |
monge6** |
등록일 |
2022-12-27 |
|

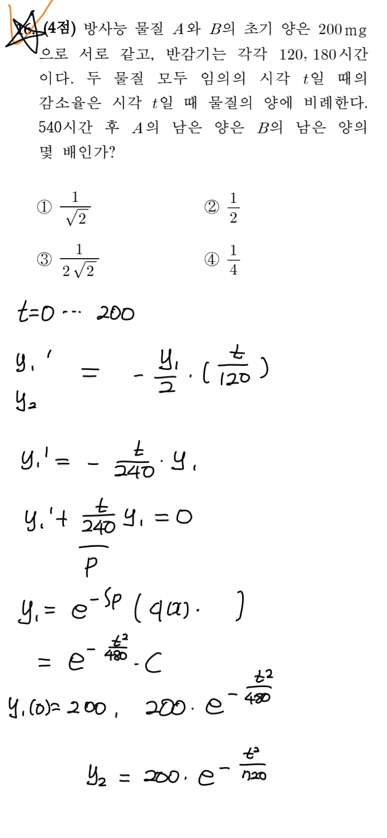
선생님께서 패스하라고 했던 식 없는 소금물 아닌 과학문제인데요
뭔가 풀수있을거같아서 시도해보았지만 못풀었습니다. 제가 몰라서 어려운 문제가 쉬워보이는건지 모르겠네요 |
|
| └ |
반감기 문제 |
anamso** |
2022-12-28 |
| 글제목 |
반감기 문제 |
| 작성자 |
anamso** |
등록일 |
2022-12-28 |
|
반감기 문제입니다. 지구과학이나 화학에서 자주 봤던.
이걸 현장에서 유도하는 건 힘들고 외워야 쉽게 풀 수 있습니다.
반김기 공식은 c(1/2)^(t/T) 입니다.
여기서 c는 초기량 T는 반감기. t 현재 지난 시간입니다.
풀이는 아래와 같습니다.

|
|
| 1301 |
21 과기대 15
|
monge6** |
2022-12-27 |
| 글제목 |
21 과기대 15 |
| 작성자 |
monge6** |
등록일 |
2022-12-27 |
|

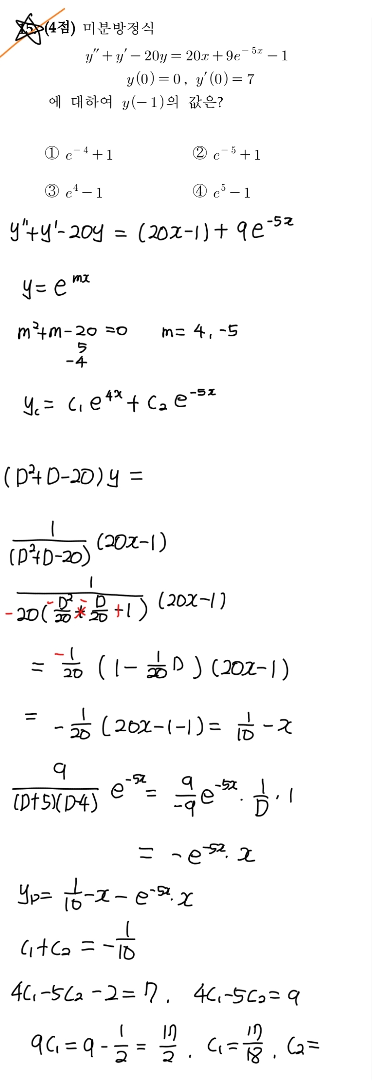
답이 안나와서 어려 번 풀어봤는데도 못풀겠습니다..
c1이 더럽게나와서 c2도 엄청 더럽게 나올거같은데.. 뭔가 잘못푼거같은데 어디서 잘못했는지 모르겠습니다.. |
|
| └ |
답변입니다! |
anamso** |
2022-12-28 |
| 글제목 |
답변입니다! |
| 작성자 |
anamso** |
등록일 |
2022-12-28 |
|
20x-1 중에 연산실수가 있네요!

|
|
| 1300 |
21 과기대 13
|
monge6** |
2022-12-27 |
| 글제목 |
21 과기대 13 |
| 작성자 |
monge6** |
등록일 |
2022-12-27 |
|

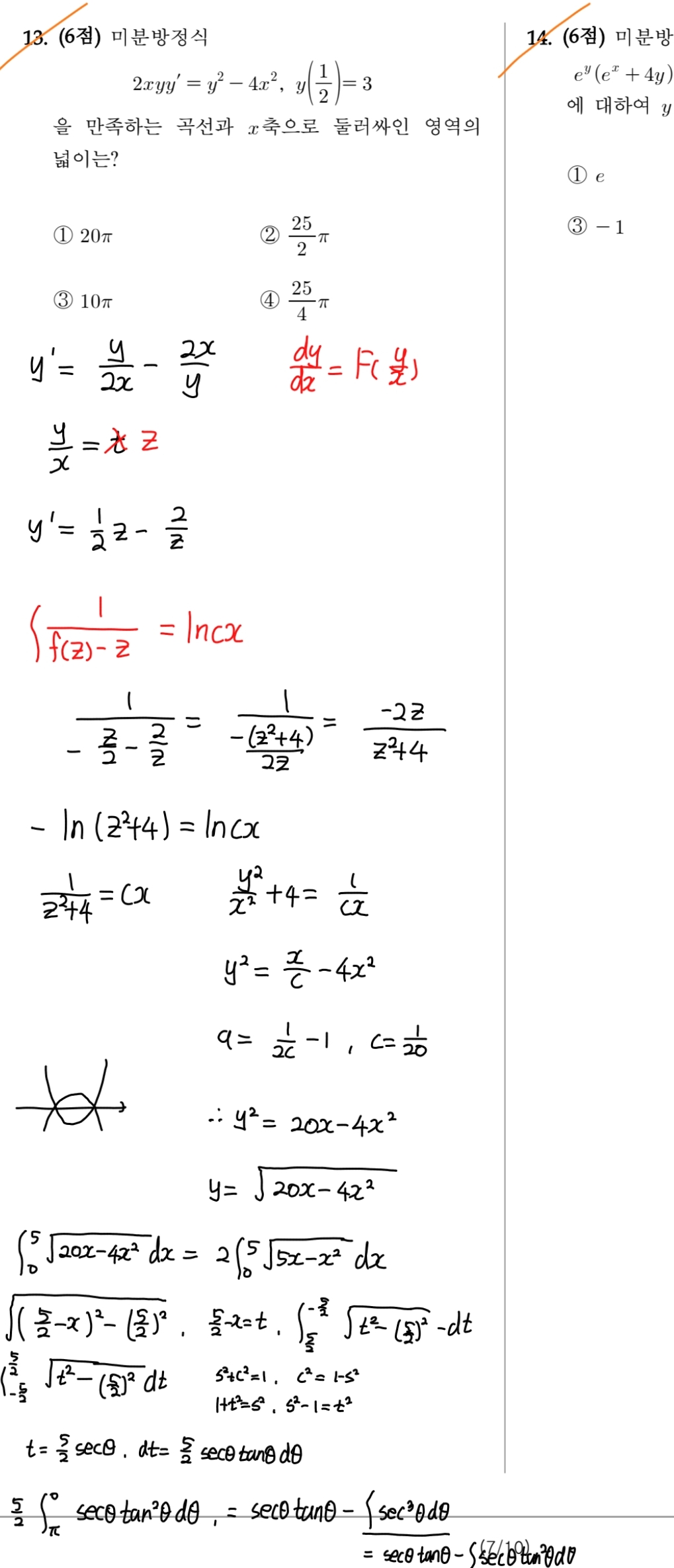
동차형 미분방정식인걸 쉽게 알아차릴수있어서 쉬운 문제인줄 알았는데 푸는데 엄청 오래걸렸습니다.. 결국엔 못풀었어요.. 계산을 중간에 많이 틀려서 여러 번 풀었는데 제가 계산 실수를 해서 복잡하게 나온건지 잘모르겠습니다.
이게 맞다면 마지막에 삼각함수 부분적분이 있는데 이걸 모르겠습니다. sec^3의 적분은 찾아보니까 책에 적어뒀는데 sectan^2적분은 모르겠네요..
|
|
| └ |
답변입니다! |
anamso** |
2022-12-28 |
| 글제목 |
답변입니다! |
| 작성자 |
anamso** |
등록일 |
2022-12-28 |
|
어질어질하네요. ㅠ
저라면 저렇게 시도도 안했을 거 같아요.
맞춰도 저렇게 맞추면 맞춘 것도 아니고.
4x^2-20x+y^2=0을 정리하면
(x-5/2)^2/(25/4) +y^2/25=1
타원이고 타원이 넓이 공식 abpi=5/2*5*pi 입니다.
sectan^2 적분은 아래!

|
|
| 1299 |
21 과기대 10 추가 질문
|
monge6** |
2022-12-27 |
| 글제목 |
21 과기대 10 추가 질문 |
| 작성자 |
monge6** |
등록일 |
2022-12-27 |
|

질문에 답변해주신대로 풀어보려고했는데 이해 못하겠는 부분이 있습니다.
먼저 f=x^2+y^2+z 라고 적어주셨는데 원점에서 곡선까지의 거리의 최대 최소를 구하는 문제이니까 f=루트x^2+y^2+z^2이 되야한다고 생각했는데 f=x^2+y^2+z이 어떻게 나온건지 모르겠습니다.
그리고 x=y 대칭 관계를 어떻게 파악하는지 모르겠습니다.
그리고 라그랑지에서 sin cos을 잘 활용하면 좋다고하셨던거같은데 이 문제에서 x^2과 y^2이 있어서 sin cos을 넣어보려고 했는데 뭔가 이상하게 나옵니다.. 이 문제에서는 sin cos을 넣으면 안되는거같은데 왜 넣으면 안되는지 알면 좋을거같은데 그걸 모르겠습니다... |
|
| └ |
답변입니다! |
anamso** |
2022-12-28 |
| 글제목 |
답변입니다! |
| 작성자 |
anamso** |
등록일 |
2022-12-28 |
|
오타에요. z^2 맞습니다 ㅠ
x=y는 주어진 식에서 x,y 를 서로 바꿔도 식이 똑같다면 쓸 수 있는 스킬입니다.
지금 주어진 식에서 x,y 자리 바꿔도 같죠? 그럼 y를 x 두고 풀면 x와 z로 변수가 줄어듭니다.
이 상태에서 cos sin을 쓸 수 있죠.
cos sin은 원의형태를 이용하는 것입니다. 원은 2차원이죠. 그렇기에 변수 x,y,z 인 상태에서 쓰면 식이 복잡해지기에
위에 대칭 관계를 이용해 변수를 줄여주고 써야 쉽게 풀립니다.
|
|
| 1298 |
찍기 문제 가천대 19랑 중앙대 20 질문 있습니다.
|
sehyun07** |
2022-12-27 |
| 글제목 |
찍기 문제 가천대 19랑 중앙대 20 질문 있습니다. |
| 작성자 |
sehyun07** |
등록일 |
2022-12-27 |
|
선생님께서 그래프를 이용해서 찍으시라고 이 문제들을 주신 것으로 이해했습니다. 가천대 19년도 문제는 완전제곱식으로 바꾸어서 계산을 하면 풀리는데 어떻게 그래프로 풉니까? 그리고 그 밑의 중앙대 20년도 문제는 분모의 루트를 t로 치환하면 풀리는데 어떻게 그래프로 쉽게 푸는지 모르겠습니다... |
|
| └ |
이렇게 그립니다. |
anamso** |
2022-12-28 |
| 글제목 |
이렇게 그립니다. |
| 작성자 |
anamso** |
등록일 |
2022-12-28 |
|

|
|
| 1297 |
건국대 기출 분석에서 13번 광운대 문제 질문 있습니다.
|
sehyun07** |
2022-12-27 |
| 글제목 |
건국대 기출 분석에서 13번 광운대 문제 질문 있습니다. |
| 작성자 |
sehyun07** |
등록일 |
2022-12-27 |
|
13번 광운대 문제를 극한값을 K라고 설정하고 로그 취하면 n^2이 내려오지 않습니까? ln 안의 곱은 합으로 표현할 수 있으니까 시그마를 쓸 수 있다는 것은 알겠는데 1/2과 n^2을 곱한것은 어떻게 처리합니까? 혹시 어떻게 푸시는지 한번만 보여주실 수 있으십니까?
그리고 극곡선 기출분석에서 case 3. 길이에서 21년도 단국대 2번문제에서 루트안의 사인을 적분해야 하는데 혹시 어떻게 적분해야 합니까? cos이 있으면 공식을 이용할 수 있는데 어떻게 해야 할지 모르겠습니다ㅠㅠㅠㅠㅠㅠㅠ |
|
| └ |
답변입니다! |
anamso** |
2022-12-28 |
| 글제목 |
답변입니다! |
| 작성자 |
anamso** |
등록일 |
2022-12-28 |
|
cos 으로 바꺼서 해도 됩니다. 어차피 모양이 같기 때문이죠. 그런 의미에서 문제를 냈습니다.

|
|
| 1296 |
재질문
|
ipsin** |
2022-12-26 |
| 글제목 |
재질문 |
| 작성자 |
ipsin** |
등록일 |
2022-12-26 |
|

|
|
| └ |
답변입니다! |
anamso** |
2022-12-28 |
| 글제목 |
답변입니다! |
| 작성자 |
anamso** |
등록일 |
2022-12-28 |
|
한바퀴 돌았다는게 중요하지 어디서 돌았는지는 중요하지 않아요.
그래서 교점이 어딘인지는 굳이 찾을 필요없어요. |
|
| 1295 |
18건대31재질문..
|
ipsin** |
2022-12-26 |
| 글제목 |
18건대31재질문.. |
| 작성자 |
ipsin** |
등록일 |
2022-12-26 |
|

제가 문제자체를 이해를 잘 못한거같아요. 직선 l1까지의 거리라는게 어디서부터 시작해서 직선 l1까지의 거리라는건지 잘 모르겠고 직선 l2도 잘 모르겠습니다... |
|
| └ |
답변입니다! |
anamso** |
2022-12-26 |
| 글제목 |
답변입니다! |
| 작성자 |
anamso** |
등록일 |
2022-12-26 |
|
거리는 최단거리입니다.
지금 1+2 라고 쓰인 부분은 최단거리가 아닙니다.
직선까지 거리선이 수직 관계가 되어야죠.
제가 그린 그림은 그냥 그런 수직거리 몇개 찎어보고 이은겁니다. 그럼 사각형이 나오죠.
그 점들은 y=x와 y=-x위에도 존재하죠. 이게 찾기 젤 쉽죠. 직선 거리를 하나를 0 이니 다른 직선거리가 4이기만 한점 찾으면 되니까요.
|
|
| 1294 |
건대 기출분석 문제들질문
|
edga** |
2022-12-26 |
| 글제목 |
건대 기출분석 문제들질문 |
| 작성자 |
edga** |
등록일 |
2022-12-26 |
|
기벡파트 1,3,4,번 어떻게 푸는지 모르겠네요.. 해설 부탁드립니다ㅠ 

|
|
| └ |
답변입니다! |
anamso** |
2022-12-26 |
| 글제목 |
답변입니다! |
| 작성자 |
anamso** |
등록일 |
2022-12-26 |
|
일단 기벡문제는 현강생들에게 고등 기벡에 자신이 없으면 무조건 풀지 말라고 했습니다.
편입스타일로 푸는 건 절대 하지말고 고등 기벡 개념으로 풀어야 쉽게 풀립니다. 건대 문제는요.
하지만 지금와서 고등 기벡 문제를 온전히 이해하고 푸는 건 사실 불가능합니다. 할 수도 있구요.
기벡 풀이는 아래와 같습니다.
1번은 세점이 일직선 m+n=1입니다. 무조건 이건 수업 중에 한번 유도해드렸는데..
사실 유도과정이 어렵습니다. 그냥 외우시는게 속편합니다. 굉장히 유명한 문제입니다.
다행히 요즘은 나오지 않습니다.
3번과 4번은 아래와 같습니다. 기하성으로 접급한디ㅏ.
4번은 정확히 값을 구하지 않고 내적 크기가 - 가 나올 수 있고 -1보다 더 작은 -9까지 나올수 있기에 답을 1번 찍습니다.
이때 내적은 식으로 접근하지말고, 내적은 두 벡터를 서로 같은 선상에 두고 곱한 값이다. 이 때 방향이 반대면 - 가 나온다. 이걸 생각해야합니다!

|
|
| 1293 |
가천대 기출분석 예상문제 답
|
khy65** |
2022-12-26 |
| 글제목 |
가천대 기출분석 예상문제 답 |
| 작성자 |
khy65** |
등록일 |
2022-12-26 |
|
구글 드라이브로 올려주신 가천대 기출분석 예상문제에 답이 없네요.. 혹시 알 수 있을까요/?? |
|
| └ |
가천대 기출분석 올렸습니다! |
anamso** |
2022-12-26 |
| 글제목 |
가천대 기출분석 올렸습니다! |
| 작성자 |
anamso** |
등록일 |
2022-12-26 |
|
헉 답 볼드칠해서 다시 올렸습니다!! |
|
| 1292 |
건국대 기출예상문제 질문 있습니다.
|
sehyun07** |
2022-12-26 |
| 글제목 |
건국대 기출예상문제 질문 있습니다. |
| 작성자 |
sehyun07** |
등록일 |
2022-12-26 |
|
18번 선적분 문제있지 않습니까? 그린정리를 못쓰니까 경로에 대한 선적분을 생각했습니다. 그래서 x=2cost, y=3sint로 놓고 풀면 0부터 2파이까지 6/4+sin^2세타 를 적분하게 나오는데 혹시 여기서 어떻게 적분을 해야 합니까? 수업시간에 분모에 삼각함수가 있으면 tan세타 혹은 tan2/세타를 t로 치환하라고 했던것은 기억이 납니다. |
|
| └ |
답변입니다! |
anamso** |
2022-12-26 |
| 글제목 |
답변입니다! |
| 작성자 |
anamso** |
등록일 |
2022-12-26 |
|
경로 변경을 할 수 있으니 마음대로 경로 변경해야합니다! x=2cost y=3sint는 주어진 타원 그대로입니다. 적분이 힘들죠?
그냥 x=2cost y=2sint 원으로 바꿔 줍니다. 그래도 한바퀴 돈건 같으니까요.
그러면 식이 1 나옵니다. 이것도 외워두세요. 그럼 한바퀴 돌았으니 2pi |
|
| 1291 |
건국대 기출예상문제 질문 있습니다.
|
sehyun07** |
2022-12-26 |
| 글제목 |
건국대 기출예상문제 질문 있습니다. |
| 작성자 |
sehyun07** |
등록일 |
2022-12-26 |
|
2번 문제 접선의 기울기 혹시 정답이 1/2인가요? 아무리 계산해봐도 1/2이 나오는데 혹시 맞는지 모르겠습니다... 14번,15번문제 접평면과 기하 문제 답이 각각 5번,2번으로 나와있는데 계산이 계속 1번과 5번으로 나옵니다. 혹시 이것도 확인 부탁드리겠습니다... 무한 급수 9번문제도 정답이 3/16이라고 되어있는데 -3/16으로 나옵니다. 혹시 이부분에 있어 제가 잘못 푼것인지 모르겠습니다.
그리고 회전체 부피 건대 22년도 기출변형 4번. 곡선 xy=3과 두 직선 (x+y)^2=16으로 둘러싸인 부분을 y=x로 회전하는 면적을 구하지 않습니까? 찍을려고 해도 정답이 다 촘촘해서 직접구해야 할거 같다고 생각했습니다. 그런데 파프스 정리를 이용해야 하지 않습니까? 그래프를 그려보면 넓이가 2-3/2ln3이 나오고( 범위 나눠서 면적을 구했는데..) 이렇듯 면적을 전부 구간 나눠서 구해야 합니까? |
|
| └ |
흑흑 |
anamso** |
2022-12-26 |
| 글제목 |
흑흑 |
| 작성자 |
anamso** |
등록일 |
2022-12-26 |
|
죄송합니다...1/2 맞습니다 ㅠ
14,15도요... 제가 현장에서 체크 자료 수정을 못했네요. 정말 미안해요 ㅠ
무한급수 9번은 3/16이 맞습니다.
무한급수 문제는 어렵게 풀지말고 그냥 집어넣는게 현명합니다.
n=1부터 집어넣으면
1/3 - 2/9 + 1/9 ... 나오죠, 네번째 항부터는 작기 때문에 1/3-2/9+1/9=2/9로 대략 값을 잡습니다. 이 값과 가장 근접한 값은 3번이죠. 판단이 애매한 경우 항을 더 늘려 체크해볼 수 있습니다.
4번은 사실 풀지 말라고 낸 문제입니다. 말한대로 보기 촘촘해서 찍기도 힘들죠.
파푸스를 써도 되고.... 그러면 또 무게중심 힘들게 구해야하고..
회전을 써도 되고...
파푸스를 쓰던 회전을 쓰던...그냥 풀면 안됩니다..
그래프는 아래와 같습니다.

|
|
| 1290 |
코시오일러미방 lnx^3
|
ipsin** |
2022-12-25 |
| 글제목 |
코시오일러미방 lnx^3 |
| 작성자 |
ipsin** |
등록일 |
2022-12-25 |
|

이거 경희대에서 나온 문제였는데 당황해서 못 풀었네요 ㅠ.. 적분인수미방도 그렇고.. |
|
| └ |
흑흑 |
anamso** |
2022-12-26 |
| 글제목 |
흑흑 |
| 작성자 |
anamso** |
등록일 |
2022-12-26 |
|
이번 경희대 미방이 겁나 어렵게 나왔다죠.
작년 연립미방도 그렇고..
그래서 딱 봐도 어려운 미방이라면 마지막에 푸는게 최선입니다
코시오일러가 e^z=x , z=lnx 치환이죠. 과정이 들어가죠.
그 과정이 복잡해서 우린 식으로 외우고 있구요.
z=lnx^3 이란 말은 x^3=e^z로 치환했다는 말입니다.
아직 문제를 온전히 확인 못했는데.... 출제자 너무하네요. ㅠ |
|
| 1289 |
단순계산과정
|
ipsin** |
2022-12-25 |
| 글제목 |
단순계산과정 |
| 작성자 |
ipsin** |
등록일 |
2022-12-25 |
|

여기까지는 풀었는데 여기에서
s값과 t값을 바로 구할 수가 없어서 그냥 아쉽게 하다 찍은 문제입니다.. s값과 t값을 구하기 위해서 좀 식을 간결하게 정리해서 구해줘야 되는데 그게 어려워서 질문드렸습니다. 어떻게 정리해줘야 쉽게 풀 수 있을까요? |
|
| └ |
답변입니다! |
anamso** |
2022-12-26 |
| 글제목 |
답변입니다! |
| 작성자 |
anamso** |
등록일 |
2022-12-26 |
|
이변수가 나오고 이변수의 최대최소는
fs=0 식이 더 간단하니 여기서 t= 식 만들어주고 대입합니다. 풀이는 아래와 같습니다.
억지로 안보이는거 묶지말고 다 풀고 합니다.

|
|