| 829 |
도함수 4강 208p 유형학습1번 질문입니다.
|
khy65** |
2022-07-03 |
| 글제목 |
도함수 4강 208p 유형학습1번 질문입니다. |
| 작성자 |
khy65** |
등록일 |
2022-07-03 |
|
(가),(나) 보기는 삼각비 생각해서 눈으로 금방 풀리는데, (다)는 삼각비로 안풀려서 그래프로 생각해보니... sin-1(-1)은 그래프로 보면 3/2파이 딱 한 부분 밖에 없어서 이해가 되는데, cos-1(-1/2)은 cos 그래프로 보면 -1/2 되는 부분이 2군데 아닌가요..? 그럼 2군데 다 대입해야되는지 헷갈리고 그 뒤에 부분도 괄호안에 음수가 나와서 헷갈리는데 제가 생각하는 방법이 맞는건지 헷갈리네요..
|
|
| └ |
역함수 범위! |
anamso** |
2022-07-04 |
| 글제목 |
역함수 범위! |
| 작성자 |
anamso** |
등록일 |
2022-07-04 |
|
좋은 질문이에요!
cos이 -1/2 되는 값은 두 개죠? 하지만 사실 그러기 위해서 cosx 의 x가 0~2pi 사이일때에요.
하지만 역함수는 애초에 sinx 의 x는 -pi/2 ~ pi/2 cosx의 x는 0~pi 라고 정의를 했습니다. 역함수 조건을 맞추려고!
고로 역함수 계산시 cosx= -1/2 의 x= 5/6pi 뿐입니다! |
|
| 828 |
역함수 정적분 구하기 질문
|
ipsin** |
2022-07-02 |
| 글제목 |
역함수 정적분 구하기 질문 |
| 작성자 |
ipsin** |
등록일 |
2022-07-02 |
|

이렇게 접근한 이유가 일전에 이중적분에서 적분구간이 상수가 아니라 변수가 껴있을 때 순서를 바꿔줄 때
dx와dy의 밑면적 그래프를 그려서 고개를 돌려보고 했던 기억이 떠올라서 이렇게 해봤는데 맞는건지 모르겠습니다. 근데 기존의 x축(가로)을 정의역으로 y축(세로)을 치역으로 봤다가 고개를 돌려서 이번에는 가로가 y축 세로가 x축으로 보니까 역함수의 정의자체가 정의역과 치역이 서로 바뀐건데 이런 논리가 그대로 적용돼서 풀 수 있는게 아닌가 확신까지는 들지 않아서 교수님께 질문을 드리게 되었습니다. 일단 이렇게 하니까 답이 나왔긴 한데 옳게 풀이를 해서 답이 나온 것인지 우연찮게 정답이 나온 것이 궁금합니다. |
|
| └ |
맞습니다. |
anamso** |
2022-07-03 |
| 글제목 |
맞습니다. |
| 작성자 |
anamso** |
등록일 |
2022-07-03 |
|
잘 풀었어요!!
이중적분 배운걸 그대로 적용했네요.
PS: 제가 수업 때 역함수 적분에 y 대신에 x로 적으라고 했는데요. Y=X 대칭 시켜서 역함수 그려서 푸는게 원래 역함수 적분의 기본원칙이니 이렇게도 해보세요 :) |
|
| 827 |
피적분함수에서의 불연속인 점을 포함하는 적분구간에서의 적분
|
ipsin** |
2022-06-30 |
| 글제목 |
피적분함수에서의 불연속인 점을 포함하는 적분구간에서의 적분 |
| 작성자 |
ipsin** |
등록일 |
2022-06-30 |
|
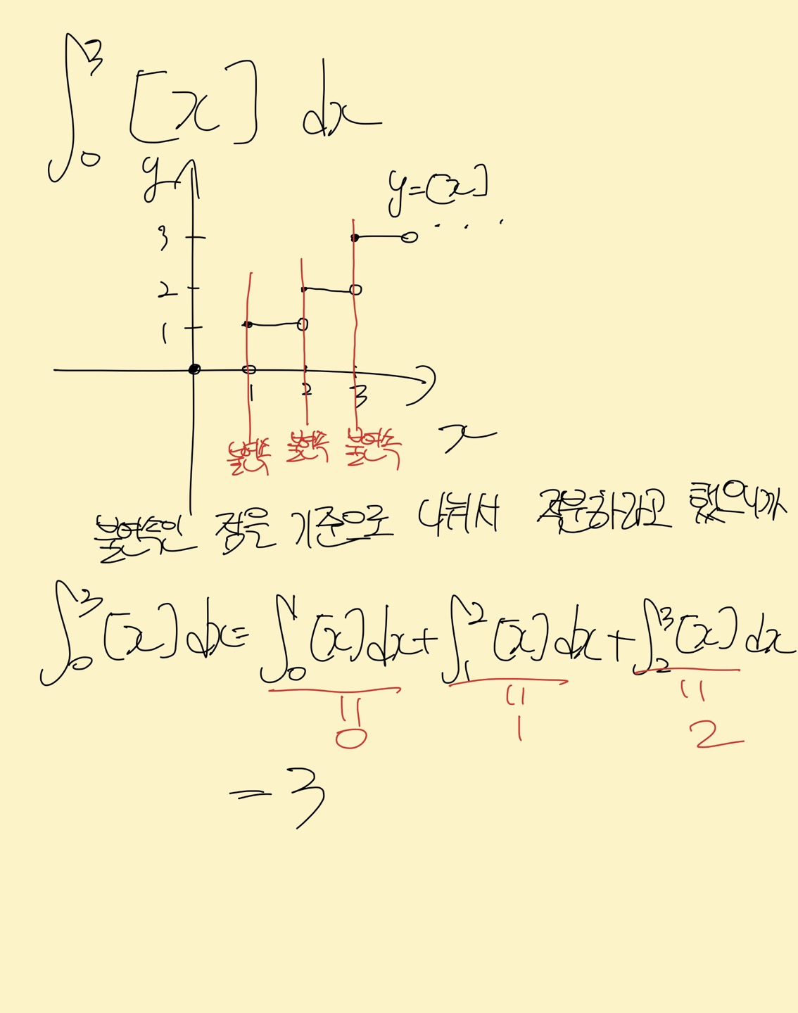
안녕하세요 교수님 적분학 복습하다가 궁금한 점이 있어서 질문글을 올리게 되었습니다. 기본적으로 적분을 하는 전제조건이 이 함수가 연속일때를 전제로 했을 때 하는 것으로 배웠습니다. 그런데 만약에 불연속인 점이 있는 피적분함수를 적분할 때 그 적분구간이 불연속인 부분에 포함되어 있으면 그 불연속인 점을 기준으로 나뉘어서 적분하라고 배웠습니다. 그래서 아래와 같은 첫번째 사진을 풀 때 가우스가 한칸마다 불연속이니까 굳이 표현하자면 0부터 3까지 [x]를 적분할때 불연속인 점 x=1,2을 기준으로 나뉘어서 적분해서 3이라는 적분값을 얻어냈습니다. 
여기까지는 아무 문제가 없는데

여기서 불연속인 점이 x=1 인데(분모가 0이 될수 없으므로) 그러면 불연속인 점 x=1을 기준으로 나눠서 적분하면 되는거 아닌가요? 0부터 1까지 1/(x-1) 적분 1부터3까지 1/(x-1) 적분한거 더해서 적분값을 도출하면 안되는건가요? 이 두 사진의 차이점이 정확하게 구별을 못하겠습니다.. 첫번째 사진처럼 딱 한 점에 불연속인 것과 두번째 사진처럼 한 점에 가까이 가는 것과의 차이인지.. 잘 모르겠습니다.
|
|
| └ |
1/X 적분 |
anamso** |
2022-07-01 |
| 글제목 |
1/X 적분 |
| 작성자 |
anamso** |
등록일 |
2022-07-01 |
|
점을 신경쓰지말고 x축부터 주어진 함수 f(x)까지 높이가 존재하는지 유무로 확인하면 좋아요.
[x]는 높이가 [x]를 밑에 있습니다. 그래서 면적이 존재하는 것이구요.
하지만 1/x 는 0 에서 높이는 무한대까지 올라가죠? 넓이는 당연 무한대라 구하지 못합니다.
|
|
| 826 |
수학 인서울 커리 알고 싶습니다.
|
tlsaudc** |
2022-06-29 |
| 글제목 |
수학 인서울 커리 알고 싶습니다. |
| 작성자 |
tlsaudc** |
등록일 |
2022-06-29 |
|
7월초까지 미분학1 적분학1이 끝날 예정입니다 인서울이 목표인데 공업수학 파트까지 진도가 나가야하나요? 몇월까지 어느정도 진도가 다 빠지는게 이상적인가요? |
|
| └ |
답변입니다. |
anamso** |
2022-07-01 |
| 글제목 |
답변입니다. |
| 작성자 |
anamso** |
등록일 |
2022-07-01 |
|
사람마다 다른데요.
보통 4~5등급 일반 편입생 기준 7월초까지 미적1이 끝났다면 좋은 상황입니다.
7월부터 미분학1 부터 시작한 친구들도 많은데요.
그 친구들 중에는 서성한까지 가는 친구도 있습니다.
인서울 중위권 목표로 잡는다면
7월초까지 미적1을 끝내고
8월 중순까지 선형대수
9월말까지 미적2를 끝낸다면 정말 훌륭하겠습니다.
10월에 공업수학 마무리하고 11월부터 기출문제만 계속 풀면 됩니다!
공업수학을 안하는 경우는, 8~9월 정말 뒤늦게 시작하는 친구들에게는 공업수학은 포기하라 합니다.
하지만 7월초까지 미적1이 끝난다면 그럴 필요가 없겠습니다.
공업수학을 포기하면 손해보는 학교가 많거든요.
그리고 공업수학은 한번 끝내면 인서울 중하위권 문제는 공식 풀이라 어렵지도 않아요. |
|
| 825 |
열백터 행벡터
|
ckddnvkc** |
2022-06-29 |
| 글제목 |
열백터 행벡터 |
| 작성자 |
ckddnvkc** |
등록일 |
2022-06-29 |
|
| 안녕하세요 선생님!
선형대수를 거의 다 들었습니다! 그런데 생각이 드는게 좌표(벡터)를 어떤건 열백터(세로로)로 표현하고 어떤건 행벡터로 (가로)로 쭉 쓰고 기준이 있는지 여쭤보고싶습니다…
예를들자면 랭크연산시 좌표들을 가로로 순서대로 쓰는데 일반적인 행렬로 바꿀땐 세로로쓴다던지
하나하나 암기해야하는 부분 일까요… ㅠㅠ |
|
| └ |
답변입니다. |
anamso** |
2022-06-29 |
| 글제목 |
답변입니다. |
| 작성자 |
anamso** |
등록일 |
2022-06-29 |
|
사실 상관없습니다.
일반적인 공식으로 외우는 행렬 표현을 보통 세로로 쓰는 경우가 많아요.
ex) P=A(ATA)^-1ATB 에서 A와 B를 세로로 쓰죠.
물론 여기서 A, B를 가로로 적어도 괜찮습니다.
대신 식 순서가 조금 바뀌게 되고 다시 외워야하는 불편함이 있습니다.
그래서 이 식을 쓸 때는 그냥 세로로 쓴다고 기억해야합니다.
하지만 랭크는 가로로 쓰죠?
사실 랭크 연산은 가로로 쓰나 세로로 쓰나 상관없습니다.
하지만 편의상 그냥 가로로 쓰는 것 뿐이죠.
그래서 보통 공식으로 외우는 건 세로로, 그냥 단순 랭크 연산은 가로로 한다 정도만 기억하면 좋을 거 같아요.
어차피 앞으로 문제 많이 풀다보면 헷갈리지 않을거에요! |
|
| 824 |
2강 24분
|
vooyon** |
2022-06-29 |
| 글제목 |
2강 24분 |
| 작성자 |
vooyon** |
등록일 |
2022-06-29 |
|
ln(x)는 0에서 정의가 안되는데 적분값인 xln(x)-x에 0을 넣어도 되나요? |
|
| └ |
답변입니다. |
anamso** |
2022-06-29 |
| 글제목 |
답변입니다. |
| 작성자 |
anamso** |
등록일 |
2022-06-29 |
|
좋은 질문입니다.
사실은 x=0을 집어넣을 수 없으니 극한으로 정의해야합니다.
lim (xlnx-x) 로요. 하지만 제가 수업 때 강조했다시피 lnx는 그 어떤 함수랑 붙어도 다 진다고 했죠?
xlnx 는 0*ln0 = 0*-무한대 = 0 이네요! 고로 0 입니다! |
|
| 823 |
다시 질문!
|
ipsin** |
2022-06-28 |
| 글제목 |
다시 질문! |
| 작성자 |
ipsin** |
등록일 |
2022-06-28 |
|
재질문 드리겠습니다.

이렇게 풀었는데 상관없나요? 교수님께서 항상 강조하시는 간단한 케이스 만들어서 문제 푸는 방법으로 적용해봤는데 풀이법을 따로 외워야 되나요? 아니면 두번째 사진처럼 풀수만 있으면 굳이 풀이법을 외우지 않아도 되나요?? |
|
| └ |
당연히 |
anamso** |
2022-06-29 |
| 글제목 |
당연히 |
| 작성자 |
anamso** |
등록일 |
2022-06-29 |
|
가능하죠!
조건이 있을때, 그 조건에 맞는 가자 심플한 예를 집어넣어보는 풀이!
f(x)=1 너무 좋은 심플한 예고 다행히 하나로 걸러지니 그게 답입니다. |
|
| 822 |
질문이 있습니다.
|
jamesj** |
2022-06-27 |
| 글제목 |
질문이 있습니다. |
| 작성자 |
jamesj** |
등록일 |
2022-06-27 |
|
안녕하세요, 강의 잘 듣고 있습니다 ㅎㅎ오랜만에 질문 드립니다. 혹시 경희대학교의 수학 출제 경향이나 스타일등을 조언 받을 수 있을까요? 아직 그거에 맞게 준비한다기 보다는 출제의 방향성 정도는 알고 있고 싶습니다. 추가로 질문은 다른분들은 카카오톡으로 진행되는 것으로 알고 있는데 혹시 이 게시판으로 밖에 안 받으시는걸까요?? 답변을 기다리겠습니다 :) |
|
| └ |
경희대! |
anamso** |
2022-06-27 |
| 글제목 |
경희대! |
| 작성자 |
anamso** |
등록일 |
2022-06-27 |
|
경희대 문제는 굉장히 깔끔하게 나옵니다.
개인적으로 제가 편입시험 문제를 낸다면 경희대처럼 낼 거 같아요.
기본 개념만 확실히 숙지해도 더러운 계산과 공식 없이 풀 수 있는 학교에요.
그리고 상대적으로 고등수학 개념이 중요시되기도 합니다.
비슷한 학교는 이화여대, 외대 정도가 있겠습니다.
경희대는 같은 라인인 중앙대보다 난이도가 낮아요. 토익시험점수가 필요해서요.
따라서 경희대 지망한다하시면 기본개념을 확실히 정립하는 식으로 공부해 나가면 됩니다.
사실 우린 그렇게 하고 있으니 크게 따로 고민할 필요가 없죠?
실제로 제가 가르치는 학생들은 상대적으로 경희대 외대를 많이 갑니다.
질문은 카톡으로도 받습니다. 제가 카톡 아이디가 없어서 제 번호 010-이삼구구-구삼칠1로 등록해서 질문해도 됩니다 :) |
|
| 821 |
안녕하세요 선생님!
|
sju23** |
2022-06-23 |
| 글제목 |
안녕하세요 선생님! |
| 작성자 |
sju23** |
등록일 |
2022-06-23 |
|
항상 강의 잘 듣고 있습니다! 다름이 아니라 학습방향에 질문이 있는데요.
다음 달부터 학원을 병행하기로 해서 일정이 빠듯해진 상황인데, 원래 들을려고 했던 독해의 배경지식 강의를 넘겨야 할지 많이 무리해서라도 수강해야 할 지 고민중이에요.
해커스에는 다양한 강사분들이 계시고, 또한 독해파트의 배경지식만을 주제로 하는 강의도 있을 정도인데 이를 다 듣고 외우기엔 생각보다 많은 시간이 소요될 것 같더라구요.
선생님께선 배경지식 없이도 지문을 꼼꼼하게 읽을 줄 안다면 굳이 알아둘 필욘 없다고 말씀해주셨는데, 아직 많이 부족하고 해야 할 게 많은 저이기에 결정을 내리지 못하고 고민만 되네요...
어떤 방향으로 나아가야 할 지 조언해주신다면 정말 감사하겠습니다ㅠ
좋은 강의 감사드리고, 곧 하편도 수강하러 가보겠습니다! |
|
| └ |
답변입니다. |
jk6** |
2022-06-24 |
| 글제목 |
답변입니다. |
| 작성자 |
jk6** |
등록일 |
2022-06-24 |
|
고민이 마음에 징하게 와 닿네요.
세상에 모든 일이 그러하듯 공부도,
핵심을 파악하는게 제일 중요합니다.
언제나 우리에겐 시간이 부족합니다. 공부 뿐 아니라 앞으로 무슨 일을 하며 살아가든지요.
편입 공부에 국한해서 얘기하자면, 단어, 문법, 논리, 독해 등 등 할 일이 많고,
각 영역도 세분해보면, 정욱학생이 얘기하듯 배경 지식, 구문 독해, 맥락 독해, 문제 풀이, 기출 분석 등등등... 독해만 해도 할 게 너무 많지요.
그래서! 결론을 말씀드리자면, 유한한 시간에 최대의 효과를 내기 위해선, 핵심을 공부하시는 겁니다.
정욱학생에게 '배경지식'은 핵심사항인가요? 스스로에게 질문해 보세요. 답이 나올 겁니다.
저 같은 경우는, 배경지식이랑 독해 점수는 상관이 없었습니다. 또한 원천적으로 편입 시험이란 상식 시험이 아니기에 배경지식을 모르는 학생들이 페널티를 받아서는 안되는 시험이죠.
수능 시험에서도 언어영역이나 외국어 영역에서 이과나 문과 학생들이 가지는 배경지식이 유리하게 적용되는 지문들은 항상 사회적으로 집단 항의의 대상이 되는 것만 봐도 알 것입니다.
그럼에도 불구하고, 정욱학생 개인적으로 본인은 배경 지식이 없으면 글을 읽을 수 없다는 생각이 들면, 그건 핵심사항이 되겠지요.
핵심을 파악하고, 공부 프로세스를 단순화 시키세요. 거기에 성공의 비결이 숨어 있습니다.
|
|
| 820 |
커리큘럼 순서 여쭤봅니다.
|
cho07** |
2022-06-23 |
| 글제목 |
커리큘럼 순서 여쭤봅니다. |
| 작성자 |
cho07** |
등록일 |
2022-06-23 |
|
제가 2020학년도 수능 영어에서 90점 초반으로 1등급을 받았습니다.
그래서 이번에 이현수 강사님 기본이론 문법을 수강하려는데 솔직히 제가 문법은 잘 모르는데 해석하는 것에 있어서는 크게 문제가 없습니다.
예를 들어 5형식에 대해 제가 모르는데, 해석을 잘 되는 경우입니다.
이런 경우 기본이론문법을 들어야 할까요? 그냥 필살찍기 260을 듣는 것이 좋을까요?
목표 대학은 건동홍 위 모든 대학 생각하고 있습니다.
|
|
| 819 |
적분 풀이법 질문
|
ipsin** |
2022-06-23 |
| 글제목 |
적분 풀이법 질문 |
| 작성자 |
ipsin** |
등록일 |
2022-06-23 |
|

안녕하세요 교수님 위 문제의 해설지에는 딱 결과로만 나와있어서 그 과정이 궁금한데 교수님께서 풀이해주셔서 올려주실 수 있으신가요?
|
|
| └ |
답변입니다! |
anamso** |
2022-06-24 |
| 글제목 |
답변입니다! |
| 작성자 |
anamso** |
등록일 |
2022-06-24 |
|

|
|
| 818 |
커리큘럼 관련 질문 드립니다.
|
jamesj** |
2022-06-21 |
| 글제목 |
커리큘럼 관련 질문 드립니다. |
| 작성자 |
jamesj** |
등록일 |
2022-06-21 |
|
혹시 상계와 하계, 리만적분은 따로 진도를 안나가시나요? 적분법 이후에 바로 무한급수로 넘어가시던데 이 부분은 뒤에 따로 다뤄지는건가요? |
|
| └ |
상계 하계 리만적분 |
anamso** |
2022-06-22 |
| 글제목 |
상계 하계 리만적분 |
| 작성자 |
anamso** |
등록일 |
2022-06-22 |
|
상계 하계 리만적분, 과거 강의에서 수업을 했는데 최신 강의에서는 뺏습니다.
이유는 중요하지도 않고 시험에 나올 일이 없습니다. 광운대만 빼구요.
그래서 이 내용은 광운대 준비하는 친구들 따로 특강을 합니다.
사실 이 내용 말고도 제가 스킵하는 내용 많죠? 시험 최대 효율성을 위해서 스킵하고 최대한 중요 내용만 한건데요.
그렇게 해도 상위대학 모두 갈 수 있으니 너무 걱정마시고 진도를 끝내시고
혹시 내가 지망하는 대학에 이런 유형을 잘 안다뤘다? 그건 파이날 기출 풀면서 보강하시거나
저에게 질문 주시면 자세히 알려드리겠습니다! |
|
| 817 |
249p 유형학습1
|
anfamil** |
2022-06-20 |
| 글제목 |
249p 유형학습1 |
| 작성자 |
anfamil** |
등록일 |
2022-06-20 |
|
점(2,-1,1) 와 평면의 거리와 점 (3,1,5) 평면의 거리가 같아야 된다는 설명까지 이해 했고
풀이 중에서 1번에 평면 방정식에 대입해서 4-4+8 = 6+4+40 나오는데 둘이 같지 않아서 정답이 된다는 설명이 잘 이해가 안됩니다. |
|
| └ |
답변입니다! |
anamso** |
2022-06-22 |
| 글제목 |
답변입니다! |
| 작성자 |
anamso** |
등록일 |
2022-06-22 |
|
어제 분명 답했는데 날아가버렸네요 미안해요 ㅠ
편입은 객관식을 최대한 이용해야 합니다. 이건 선택이 아니라 상위권 도약을 위한 필수 풀이법이에요.
점평면거리공식을 쓰면 어차피 (2,-1,1) 이나 (3,1,5) 분모는 동일하고 좌표를 주어진 식 값에 넣은 것이 중요하죠.
2x+4y+8z-29=0 인데 여기 넣은 값의 절대값이 같으면 답입니다. 그게 바로 1번이구요.
그런데 둘이 같지 않는 말을 썻다는데 제가 혼동을 주는 언어를 사용한 거 같아요 .
2x+4y+8z-29=0 에서 29를 뺀 왼쪽 2x+4y+8z 만 생각하면
4-4+8 = 8 6+4+40 = 50 이죠.
같이 달라고 오른쪽 29 가 넘어와서 -21, 21 다른값이 만들어지지만 절대값 취하면 같게 되겠습니다.
오히려 부호가 같은 값이 나오면 이상한 것이죠?
그 말은 너무 신경쓰지말고 그냥 거리공식 넣은 분자값이 같으면 같다고 정리하면 될 거 같습니다 :) |
|
| 816 |
질문..
|
ipsin** |
2022-06-18 |
| 글제목 |
질문.. |
| 작성자 |
ipsin** |
등록일 |
2022-06-18 |
|

이게 중적분 첫 강에서 가르쳐주시는 내용인데요
x를 먼저 본다고 하면 y는 고려하지 않고 x만 먼저 보기때문에 이 부분에 대한 범위를 구하는 것에 있어서는 쉽게 이해를 했는데 문제점이 이제 y를 보면 x까지 고려하여 본다고 하셨는데 이 부분이 잘 이해가 가지 않습니다.. 시간을 두고 생각을 해봤는데 도저히 이해가 안가서 질문을 드리게 되었습니다.
결론적으로 2차원적으로 바라봤을 때 범위를 구하는 것이 이해가 전혀 안가는데 어떻게 해야할까요? 위 사진 속의 내용은 y부터 먼저 보고 x를 그 다음으로 보는건데 위 사진 속의 이해안가는 부분도 이와 같습니다.. |
|
| └ |
범위잡아주기! |
anamso** |
2022-06-19 |
| 글제목 |
범위잡아주기! |
| 작성자 |
anamso** |
등록일 |
2022-06-19 |
|
x부터 볼까요? 이때 y는 신경쓰지말고 x만 본다면 x는 0~1 사이값입니다. 이건 쉽죠?
이제 y까지 같이 볼까요? y만 본다면 당연히 y도 0~1 사이지만, 이미 x를 본 상황이라 x를 고려해야죠?
때문에 y=x^2 를 무시할 수 없고 y는 값들은 확실히 곡선 y=x^2보다 아래 있습니다. 그래서 표현을
y=0보단 크고 y=x^2보다 작다고 해야 합니다.
반대로 해볼까요? y부터 보고 y만 생각한다면 0~1 사이죠. 이제 x를 볼건데 이미 y를 전에 고려했으니 x를 잡을때
y도 생각해야합니다. 따라서 y가 들어간 곡선 x=루트y (y=x^2) 를 고려해야 하고 이 곡선보다는 위에 있죠? (고개를 돌려본다면..)
그래서 이 때 x값은 곡선식보다 위 x=1보단 아래 잡아야합니다.
저도 학부생 때 이 내용에서 참 힘들었는데요. 그 때는 교수님들이 설명도 잘 안해줘서 기계적으로 막했던 기억이 납니다.
그러다보면 자연스럽게 손에 익혀서 자연스럽게 하게 되었죠.
제 설명이 조금 부족하다면 일단 많이 해보세요. 그럼 어느순간 자연스럽게 스며들듯이 하게 될 겁니다!
참고로 나중에는 이걸 3차원까지 범위잡아주는데 그 때는 머리가 터질거에요 ㅠ
|
|
| 815 |
위에 있는 점에 대해서
|
ipsin** |
2022-06-16 |
| 글제목 |
위에 있는 점에 대해서 |
| 작성자 |
ipsin** |
등록일 |
2022-06-16 |
|
안녕하세요 교수님 갑자기 좀 딜레마(?)가 온 것 같아 헷갈려서 교수님께 질문을 드리게 되었습니다.

|
|
| └ |
평면은 |
anamso** |
2022-06-18 |
| 글제목 |
평면은 |
| 작성자 |
anamso** |
등록일 |
2022-06-18 |
|
평면은 안짤려 있어요! 평면은 초록색 부분 그 자체입니다.
경계선 빨간색은 이게 평면임을 시각적으로 인지하기 위해 없는 걸 단순 표현한 것 뿐이에요.
우리가 종이나 칠판은 2D이라 3차원 속 살고 있는 평면을 표현하기 힘들죠.
그래서 빨간 경계선 그어 이게 평면임 보여준거죠.
안 그러면 칠판 전체를 색칠해야하니 ㅠ ㅋㅋ
|
|