| 904 |
이차형식 이용한 고유식 최댓값 구하기에서
|
tlsaudc** |
2022-09-04 |
| 글제목 |
이차형식 이용한 고유식 최댓값 구하기에서 |
| 작성자 |
tlsaudc** |
등록일 |
2022-09-04 |
|
단위구 x^2+y^2+z^2=1 위 라는 조건이 주어져있는데 대체 왜있는거죠? 그냥 고유치 구하면 되는거 아닌가요? |
|
| └ |
이유! |
anamso** |
2022-09-06 |
| 글제목 |
이유! |
| 작성자 |
anamso** |
등록일 |
2022-09-06 |
|
P336 문제를 예를 들어,
주어진 f=XtAX 이죠.
이 값의 최대최소를 물어봤습니다.
이차형식 관계식은
XtAX=람다XtX
람다=XtAX/Xt 이구요
여기서 XtAT = f 이니 보기 좋게 정리하면
f/Xt=람다 입니다.
여기서 Xt = 루트 (x^2+y^2+y^1)이니 이 값이 1이됨다면 XtAX=람다로 쓸 수 있습니다. |
|
| 903 |
110페이지 유형학습 2번 질문
|
dbsekgml5** |
2022-09-04 |
| 글제목 |
110페이지 유형학습 2번 질문 |
| 작성자 |
dbsekgml5** |
등록일 |
2022-09-04 |
|
나열해서 풀지 않고 멱급수의 적분/미분으로는 풀어도 되나요? 
|
|
| └ |
오 |
anamso** |
2022-09-06 |
| 글제목 |
오 |
| 작성자 |
anamso** |
등록일 |
2022-09-06 |
|
오 좋은 풀이입니다.
저도 이 문제풀이 자체를 외워버려서 멱급수 미적으로 풀려고 해본적은 없었는데
되네요! 배워갑니다!
대신, e^x 멱급수는 n=0 인 상수 1부터 시작이나 주어진 값은 n=1부터이니
e^x-1 를 미분해야겠습니다. 어차피 미분해서 없어질 녀석이지만요 :) |
|
| 902 |
행렬 대각화 질문
|
tlsaudc** |
2022-09-03 |
| 글제목 |
행렬 대각화 질문 |
| 작성자 |
tlsaudc** |
등록일 |
2022-09-03 |
|
P P^-1=1 이라는거 det 개념으로 봐서 E ,1이라는건가요? |
|
| └ |
맞습니다! |
anamso** |
2022-09-04 |
| 글제목 |
맞습니다! |
| 작성자 |
anamso** |
등록일 |
2022-09-04 |
|
행렬이 숫자가 나올리가 없기 때문에
|P||P|^-1=1 인것이지요. |
|
| 901 |
유나타리 행렬
|
tlsaudc** |
2022-09-03 |
| 글제목 |
유나타리 행렬 |
| 작성자 |
tlsaudc** |
등록일 |
2022-09-03 |
|
넘기면 되나요 |
|
| └ |
네 |
anamso** |
2022-09-04 |
| 글제목 |
네 |
| 작성자 |
anamso** |
등록일 |
2022-09-04 |
|
넘겨도 됩니다! |
|
| 900 |
34p 유형3번
|
khy65** |
2022-09-02 |
| 글제목 |
34p 유형3번 |
| 작성자 |
khy65** |
등록일 |
2022-09-02 |
|
| 계산 잘하다가 마지막에 1/2ln1/2가 나오는데,
아무리 로그풀어도 -1/2 ln2 밖에 안되지않나요..?
어디서 잘못했는지 답답해요...ㅠㅠ |
|
| └ |
풀이 볼 수 있을까요? |
anamso** |
2022-09-03 |
| 글제목 |
풀이 볼 수 있을까요? |
| 작성자 |
anamso** |
등록일 |
2022-09-03 |
|
그런 경우 정말 작은 연산 실수 때문인데 본인 찾기 힘들죠. 아마 2x의 2 때문에 혹은 0을 집어넣는 과정에서 실수했을거같은데 풀이를 볼 수 있을가요? 아래는 2 때문에 실수할 수 있어서 일부러 따로 떨어트려 푼 풀이입니다.

|
|
| 899 |
행렬대각화 질문
|
tlsaudc** |
2022-09-01 |
| 글제목 |
행렬대각화 질문 |
| 작성자 |
tlsaudc** |
등록일 |
2022-09-01 |
|
고유치가 다른거랑 고유치에 대응되는 벡터가 수직인건 무슨상관이죠? 고유치가 같아도 P의 두 열벡터가 수직일수 있지않나요? |
|
| └ |
정의 표현 |
anamso** |
2022-09-03 |
| 글제목 |
정의 표현 |
| 작성자 |
anamso** |
등록일 |
2022-09-03 |
|
직교행렬일 때 고유치가 다르면 벡터들이 수직이다
라고 정의했죠? 하지만 그렇게 정의했을 뿐 고유치가 꼭 달라야만 수직이란 말은 아니에요.
단위행렬 같은 경우 같아도 수직일 수 있죠.
하지만 확실한 직교행렬에서 고유치가 다르면 100% 수직이란 말이에요.
그럼 왜 그런거냐? 애초에 그렇기 때문에 그런 녀석들을 '직교'행렬이라 정의했기 때문이에요.
이는 A^-1=AT 로 정의되기도 하죠. 이 행렬표현과의 연관성은 깊게 생각하지 않고 정의표현 자체로 받아들이면 좋겠습니다. |
|
| 898 |
극한문제 어떻게 푸는건지 모르겠어요.
|
lovudi** |
2022-09-01 |
| 글제목 |
극한문제 어떻게 푸는건지 모르겠어요. |
| 작성자 |
lovudi** |
등록일 |
2022-09-01 |
|
답지를 봐도 모르겠네요ㅠㅠ |
|
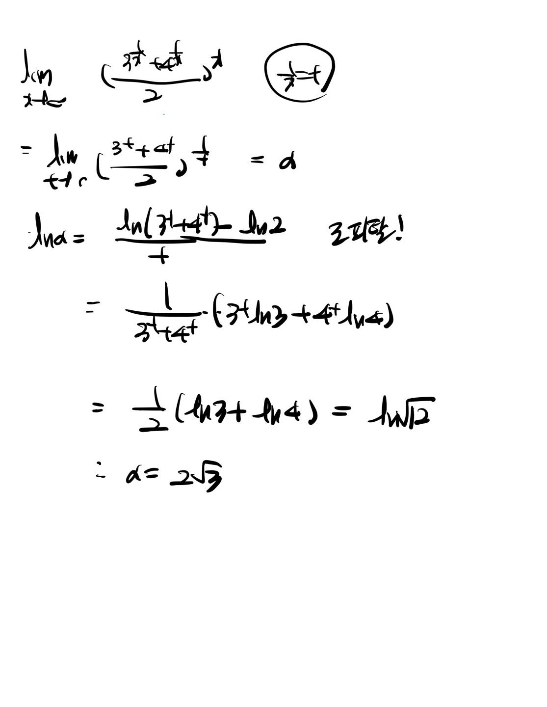
| └ |
ln 취하기! |
anamso** |
2022-09-03 |
| 글제목 |
ln 취하기! |
| 작성자 |
anamso** |
등록일 |
2022-09-03 |
|
치환도 하고 공식 쓰지말고 클래식하게 아래 풀이처럼 ln 취해서 풀어보세요!

|
|
| 897 |
미분.
|
ipsin** |
2022-09-01 |
| 글제목 |
미분. |
| 작성자 |
ipsin** |
등록일 |
2022-09-01 |
|

|
|
| └ |
안돼요! |
anamso** |
2022-09-03 |
| 글제목 |
안돼요! |
| 작성자 |
anamso** |
등록일 |
2022-09-03 |
|
수업때도 절대 dr/d세타랑 dy/dx랑 혼동하지말라고했는데
왜냐면...걍 완전 다른 값이라서 그래요.
접선의 기울기는 미분정의할 때 dy/dx 라고 배웠고 이건 절대 바뀌지 않는 식입니다.
다만 주어진 식에 따라 (dy/dt)/(dy/dt) 식으로 바꺼쓸 뿐이죠.
dr/d세타는 dy/dx랑 상관 없는 값이에요. 굳이 표현하자면 세타변위에 따를 반지름r의 변위 변화율이죠.
그런데 값이 같은 경우가 있다? 그건 우연의 일치입니다.
귀찮지만 x=rcos, y=rsin 해주세요. |
|
| 896 |
교재에서 질문이 있습니다.
|
woolfisw** |
2022-08-31 |
| 글제목 |
교재에서 질문이 있습니다. |
| 작성자 |
woolfisw** |
등록일 |
2022-08-31 |
|
교수님 안녕하십니까. 항상 수업 감사한 마음으로 듣고 있습니다. 질문이 5개 있습니다.
Q1.기본이론 문법 교재 29쪽 3번에서 질문이 있습니다. spoke랑 asked는 왜 답이 안 되는 것인지요? spoke: 답지는 speak가 자동사라서 그렇다는데 speak the truth 이런문장에서는 speak가 타동사도 되는 것 아닌지요? 사전 보니 어떤 사전은 speak가 자동사라고 하고 어디서는 자타동사 겸한다고 해서 헷갈립니다. 그냥 문법 시험서는 1형식 완전자동사라고 외우면 되는 것인지요? asked: 그리고 asked도 얼핏 보기엔 지극히 자연스러운데 왜 답이 아닌지요?
Q2.기본이론 문법 74쪽 9번에서 this month 의 품사가 헷갈립니다.
사전에 검색해 보니 this month가 명사라고 떠서 complete의 목적어가 this month 인가?하고 헷갈렸습니다. this month가 "이번 달에"로 해석되고, 동사를 수식하니 이 문장에서는 명사 덩어리가 부사처럼 쓰이는 부사구인지요?
Q3. I wish you every success! 라는 문장을 제가 우연히 사전에서 보았습니다. 그런데 every success라는 명사가 목적보어로 쓰인 것을 보고 혼란스러웠습니다. wish의 목적보어 자리에는 to 부정사, to be p.p, p.p만 되는 것 아닌지요? 문법시험에 이런 문장이 나오면 틀렸다고 하면 되는 것인지요?
Q4. stay, lie, stand 모두 "있다, 존재하다" 뜻일 때는 진행형이 불가능한지 궁금합니다. 시제를 배울 때 진행형 파트에서 진행불가 동사를 가르쳐 주셨습니다. 존재동사는 진행시제가 불가능하다고 하셨는데 그러면 앞에 1형식동사 때 배웠던 존재동사들은 싹 다 진행형이 불가능한지요?
Q5. 선생님 자동사 뒤에 to 부정사가 부사적 용법으로는 올 수 있습니까?
감사합니다. |
|
| 895 |
행렬벡터 질문
|
tlsaudc** |
2022-08-29 |
| 글제목 |
행렬벡터 질문 |
| 작성자 |
tlsaudc** |
등록일 |
2022-08-29 |
|
직교행렬이랑 A^-1=A^t 랑 무슨관련이죠? |
|
| └ |
답변입니다. |
anamso** |
2022-08-31 |
| 글제목 |
답변입니다. |
| 작성자 |
anamso** |
등록일 |
2022-08-31 |
|
직교행렬 정의 자체가 역행렬이 전치행렬인 행렬입니다.
그래서 직교행렬인지 아닌지는 역행렬과 전치행렬이 같은지 비교해주면 되죠.
하지만 3x3 이상인 경우 역행렬을 직접 해주기 번거롭기에 일부만 구하거나
혹은 크기가 1인 경우로 검토합니다.
A*AT=I 인데 |A|^2=1 이기 떄문! |
|
| 894 |
사루스법칙은 4차방정에서는 못쓰나요?
|
tlsaudc** |
2022-08-26 |
| 글제목 |
사루스법칙은 4차방정에서는 못쓰나요? |
| 작성자 |
tlsaudc** |
등록일 |
2022-08-26 |
|
서로다른 고유치 구하는 문제에서 3차정방으로 만든담에 사루스법칙써서 하더라구요 원래 그런건가요 |
|
| └ |
네! |
anamso** |
2022-08-28 |
| 글제목 |
네! |
| 작성자 |
anamso** |
등록일 |
2022-08-28 |
|
사루스라는게 연산을 빨리 하기위한 암기식인데
4차이상은 그 방식이 외우기가 복잡하고 힘들기에 쓰지 않습니다. |
|
| 893 |
항등원 역원질문
|
moon32147** |
2022-08-26 |
| 글제목 |
항등원 역원질문 |
| 작성자 |
moon32147** |
등록일 |
2022-08-26 |
|
| a*e=e*a이기 때문에 연산*은 나눗셈과 뺄셈은 해당이 안되는거 맞나요? |
|
| └ |
항등원 |
anamso** |
2022-08-28 |
| 글제목 |
항등원 |
| 작성자 |
anamso** |
등록일 |
2022-08-28 |
|
네! 나눗셈과 뺄셈은 교환법칙이 성립하지 않지요.
ps: 항등원 역원은 사실 시험에서 크게 중요하게 다루는 개념은 아니니 깊게 할 필요 없습니다 :) |
|
| 892 |
기출풀때...
|
khy65** |
2022-08-26 |
| 글제목 |
기출풀때... |
| 작성자 |
khy65** |
등록일 |
2022-08-26 |
|
| 이제 슬슬 기출문제를 한번 풀어보려고 하는데요.. 기출문제 풀때 희망하고자하는 학교 최소 몇개년치를 풀어야하나요??
또 해커스 교재보니까 여러학교들 기출문제들이 섞어서 나오던데..
한 학교 기출만 5개년치 파는 것 보다는, 주요학교 기출문제를 전체적으로 풀어보는게 더 도움이 될까요???
해커스 교재만 복습해도 양이 좀 많은 것 같아서요... |
|
| └ |
기출 |
anamso** |
2022-08-28 |
| 글제목 |
기출 |
| 작성자 |
anamso** |
등록일 |
2022-08-28 |
|
당연히 한 학교만 5개년 푸는게 아니구요.
보통은, 주요 목표 서너대학 3개년~5내년 풉니다.
기출 처음풀면 좀 오래걸리지만 그 스타일과 유형에 익숙해지면 금방 또 하니 걱정말아요!
그리고 지금 아직 진도와 복습을 안했다면 어차피 교재 문제가 기출문제이기에 교재로 복습 한번 돌리고
시작해도 좋아요.
기출은 보통 빠르면 9~10월 늦으면11월부터 풀게 합니다.
결론 : 전체적으로 복습을 끝내고 10월 기출을 시작해도 충분! |
|
| 891 |
행동등 행렬이 대체 뭐죠
|
tlsaudc** |
2022-08-25 |
| 글제목 |
행동등 행렬이 대체 뭐죠 |
| 작성자 |
tlsaudc** |
등록일 |
2022-08-25 |
|
뒷목잡히네요 진짜.. |
|
| └ |
헉 |
anamso** |
2022-08-26 |
| 글제목 |
헉 |
| 작성자 |
anamso** |
등록일 |
2022-08-26 |
|
그런 단어가 나왔나요? 그런 생소한 단어 정의도 안해주고 물어보다니.. 나쁜 출제자 ㅠ
행동등 행상등 행동치 영어로 row equivalent 인데요.
행연상(랭크연산)에서 나온 행렬 관계를 행동등이라고 정의합니다.
그냥 우리 평상시 어떤 행렬A를 랭크연산하죠? 그 랭크 연산과정 중에 나온 부산물들 모두를 행동등이라 해요.
별 것도 아닌데 이걸 그런식으로 물어보다니 나쁘네요.
|
|
| 890 |
미분학 1 복습하는 편이 좋나요?
|
tlsaudc** |
2022-08-24 |
| 글제목 |
미분학 1 복습하는 편이 좋나요? |
| 작성자 |
tlsaudc** |
등록일 |
2022-08-24 |
|
편도함수 하는중인데 미분학1이랑 결이 조금 다른것 같아서요 |
|
| └ |
미분학1 복습 |
anamso** |
2022-08-25 |
| 글제목 |
미분학1 복습 |
| 작성자 |
anamso** |
등록일 |
2022-08-25 |
|
중적분이랑 적분1이랑은 비슷한데
편도함수랑 미분1이랑 다르죠. 그 이유는 수업 때 말했다시피 진짜로 똑같게 공부하면 너무 어려워 출제가 안되기 떄문.
아무튼 편도함수를위해 미분1을 복습할 필요는 없습니다.
오히려 벡터 부분을 복습해야할 거에요 :)
대신 뒤에 나갈 중적분에서는 적분을 두번하는 것이기에 강제적으로 적분1을 복습할 수 밖에 없습니다. |
|