| 1414 |
질문
|
ipsin** |
2023-01-14 |
| 글제목 |
질문 |
| 작성자 |
ipsin** |
등록일 |
2023-01-14 |
|

|
|
| └ |
답변입니다! |
anamso** |
2023-01-14 |
| 글제목 |
답변입니다! |
| 작성자 |
anamso** |
등록일 |
2023-01-14 |
|
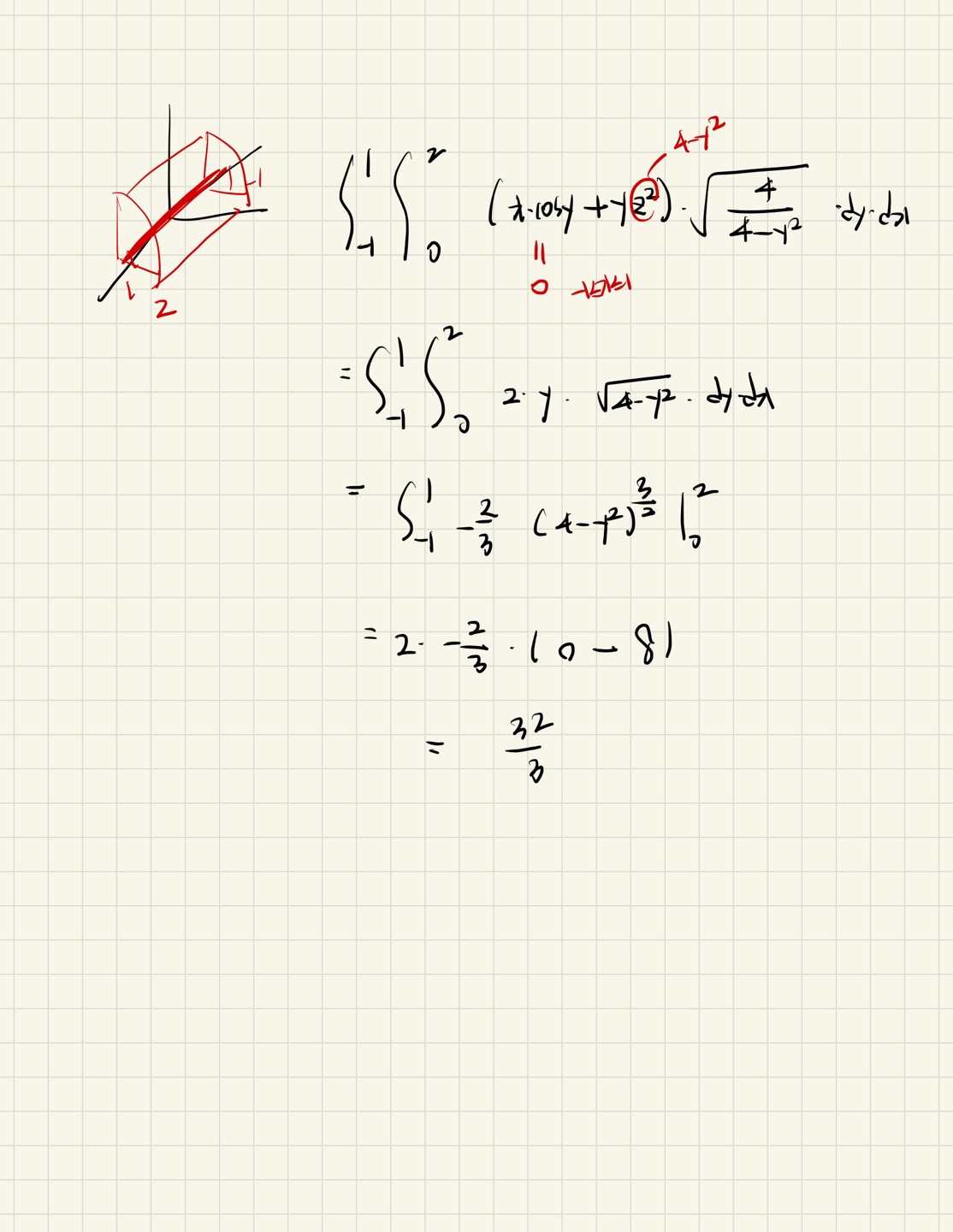
에고 풀이 이미지 올리는 걸 깜빡했네요.
다시 올릴게요!
극좌표 풀기엔 주어진 식이 복잡해서 그냥 푸는 시도를 해야합니다.

|
|
| 1413 |
질문
|
ipsin** |
2023-01-13 |
| 글제목 |
질문 |
| 작성자 |
ipsin** |
등록일 |
2023-01-13 |
|

면적분이라서 ds를 root(fx^2+fy^2+1)dxdy로 바꿔주고 z^2=4-y^2이니까 z=root(4-y^2)이고 이걸 x로 편미분해서 제곱 y로 편미분해서 제곱 그리고 1을 더하면 root(fx^2+fy^2+1)dxdy이 되고 이걸 극좌표로 바꿔줘서 풀어야 되는거 아닌가요? 뭔가 이렇게 풀려고 하니까 더 안풀리는 것 같은 매직에 빠져서 질문드려봅니다.
cf. 중앙대 너무 한 것 아닙니까 10개정도밖에 못풀었네요..ㅎㅎㅋ 아직도 기억나는게 성대도 그렇고 중대?도 그렇고 미방멱급수해법의 수렴반경? 이 문제 나온 것 같은데 어떻게 푸나요? 또 연립미방도 1계나와있는것만 풀어왔는데 이번에 중대 2계연립미방이 나온것보고.. 응? 제 눈이 잘못됐나 싶어서 자세하게 보니까 1계 연립이 아니어서 처음 본 유형이라서 찍고 찍은게 너무 많았네요. 개인적으로는 이번 공수1 문제가 론스키안, 변수분리, 1계미방, 코시오일러방정식 유형인 아는 문제도 있었지만 모르는 유형도 있었습니다. 또 뭔가 약간 트릭도 줬어요. 공수2 tan3i? 문제 그거 하나만 풀고 나머지는 다 3으로 찍은 것 같아요.. 21번앞까지도 모르는 문제가 많거나 뭔가 잘 안풀려서요.. 즉, 어느 한 문제도 가볍지가 않았어요. 계산이 엄청 더러웠다고 해야하나요. 시험 주관하시는 관계자분들은 아주 친절하셨는데 시험 문제는 전혀 친절하지가 않았네요.. 가장 가고 싶었던 학교였는데.. 아쉽게 됐네요. |
|
| └ |
답변입니다! |
anamso** |
2023-01-14 |
| 글제목 |
답변입니다! |
| 작성자 |
anamso** |
등록일 |
2023-01-14 |
|
그렇게 푸는게 일반적으로 맞지만 보다시피 식이 너무 복잡해져서 계산 불능입니다.
무엇보다 밀도식에 cosy가 문제인데.. 이게 없어졌으면 좋겠는데 어차피 x가 -1부터 1 적분이라 y적분과 상관없이 지워질 운명입니다. 이걸 눈치채는게 핵심이었습니다. 빠르게 눈치 채기 쉽지는 않았겠네요.
중대...이번에 경희대도 그렇고 아주대도 그렇고 성대도 그렇고...
편입 문제가 정말 산으로 가는 거 같네요. 정말 서강대가 이제 천사로 보일 정도.
중대 시험 문제는 정말 중대수학과 대학원생이 봐도 떨어질 거 같은데요...
그런데 이럴수록 푼 10문제의 정확도와
나머지 잘 찍기.. 기도메타 시험이 되겠습니다... 다 지금 똑같이 기도하는 상황이에요..
이번에 건대 수학 2개 틀린 에이스도 중대 시험보고 이건 내가 잘해서 붙을 시험이 아니다라고 말했을 정도니까요.
|
|
| 1412 |
pg.87 유형학습 4번
|
edga** |
2023-01-13 |
| 글제목 |
pg.87 유형학습 4번 |
| 작성자 |
edga** |
등록일 |
2023-01-13 |
|

|
|
| └ |
좋은 질문 |
anamso** |
2023-01-14 |
| 글제목 |
좋은 질문 |
| 작성자 |
anamso** |
등록일 |
2023-01-14 |
|
좋은 질문이에요.
그리고 스스로 맞는 답을 내었어요.
(m-4)^4 와 m^4+c3m^3.... 식은 서로 같은 식, 항등식입니다.
y=e^mx 를 직접 m^4+c3m^3....에 집어넣어 전개 한 것이 (m-4)^4 입니다.
방정식이 아니에요.
마치 2x 아 4x1/2x 를 비교한 것과 같아요.
당연히 x에 무슨 값을 넣어도 서로 같죠.
???!!!?!! 알아요. 지금 방정식과 항등식이 뭔가 비슷하면서 다른.... 아...... 저도 비슷한 고민을 했었는데 당시에 더 따지진 않기로 했습니다.
|
|
| 1411 |
시립대 시험 보기 전 고민이 있습니다
|
sehyun07** |
2023-01-13 |
| 글제목 |
시립대 시험 보기 전 고민이 있습니다 |
| 작성자 |
sehyun07** |
등록일 |
2023-01-13 |
|
안녕하세요 교수님! 작년 12월부터 꾸준히 수강해오고 공부해온 수강생입니다 작년에 군대에서 편입공부를 하기로 결심하고 12월 말부터 복무하면서 올해 11월 전역까지 개념을 겨우 마치고 이번 경희대랑 건대 성대 시험을 다 보았습니다. 경희대는 기출문제 다 풀고 건대랑 성대는 5년치 10년치 기출을 풀고 시험장에 갔습니다. 건대는 너무 긴장한 나머지 시험을 못봤고 성대도 좋은 결과를 낸 것 같지 않다는 생각이 듭니다. 특히 제가 영어보다는 수학이 많이 약하다고 생각합니다. 파이널 자료도 다 풀어보고 질문도 여러번 올렸습니다. 지금 시립대 5일 정도 남았는데, 교재에 있는 안풀어본 문제들 정리하고 있는데, 과거의 재수 실패경험과 지금까지 편입 시험이 좋은 성과를 내지 못해서 심적으로 많이 부담이 가는 상황입니다. 기본적인 예제도 잘 안풀리고 푸념일수는 있겠지만 혹시 이런 상황을 쉽게 타개할 수 있었던 선생님의 방법이 있을까요? |
|
| └ |
TIP 2가지 |
anamso** |
2023-01-14 |
| 글제목 |
TIP 2가지 |
| 작성자 |
anamso** |
등록일 |
2023-01-14 |
|
우선 제가 드릴 수 있는 현실적인 TIP은
1. 자기 최면 걸기 겉과 속이 간절하면 뇌가 굳어서 평소 풀리던 문제도 안 풀려요. 그래서 겉으로라도 긴장하지 않기 위해 쿨한 척 연기합니다. 저는 고3 때 "아, 이거 떨어지면 재수하지 뭐 ㅋㅋ" 라고 수능 한달 동안 자기 최면을 걸었어요. 시험 전날은 드라마까지 보고 시험보러 갔죠. 물론 속 저너머론 정말 간절했습니다.
남은 5일 동안 극단적으로 "에라, 모르겠다. 걍 맘편히 보자 ㅋㅋ" 자기최면 거세요. 하루 종일 공부하지 말고 저녁에 겜 한두판 하면서 머리도 좀 식히구요.
2. 기본 문제에 집중 지금와서 새롭고 어려운 문제 풀지 말아요. 어차피 어렵고 새로운 문제는 시험장에서도 못 풉니다. 극한,미적분1,무한급수,선적분,공수기본 문제 위주로 정리하고 가세요. 아시죠? 긴장 안하고 기본 문제 계산 실수만 안해도 붙습니다.
3. 시립대 시립대는 기출이 없죠. 다들 예상하기를 동국대-경희대 정도 예상하고 있어요. 개인적으로 동국대와 비슷하게 내지 않을까 생각됩니다. 여유 되시면 숙대도 동국대랑 비슷하니 풀어보세요.
1년동안 고생했어요. 시험 점수가 정말 노력한만큼 나온다면 얼마나 좋을까요.
저는 국어에 대한 트라우마가 있어요. 고3 때 어떤 강의를 들어도 어떤 문제집을 풀어도 항상 3등급이였죠. 대학생이 된 후에 국어 때문에 행정고시 3번 떨어지고, 로스쿨 가려는 꿈까지 접었어요. 시험에 계속 떨어지니 패배감과 열등감이 계속 쌓여 20중후반에 우울증까지 왔습니다.
그러다 서른이 넘어서야, 뒤늦게 왜 국어를 못 했는지 조금씩 이해하기 시작했어요. 오랜 사고 습관을 바꾸고 공부를 다시 꾸준히 했습니다. 그리고 작년에 수능을 봐서 드디어..1등급을 받았습니다. 비밀이지만 올해 로스쿨 시험도 다시 도전할 생각이에요.
제 극복 방법은 저랬습니다. 오래 걸렸죠.
짧은 시간 안에 극적으로 뭔가 많이 바뀌긴 힘들어요. 최소 반년에서 길게 1년이상까지.. 제가 직접 시험지도 보면서 조언 해드렸으면 좋았을.. 아쉬움이 있네요.
다만 편입시험은 다른 시험과 다르게 어느정도 준비가 되는 시험이에요. 분명 기출을 많이 풀어봤고 비슷한 문제가 나온다면, 그리고 실수를 안한다면 분명 맞출 수 있고 붙을 수 있어요. 그리고 찍은 거에서 운까지 따라주면 너무 좋죠.
이번 시험 잘 마무리하고 정말 행운이 따르길 바랍니다. 혹시 시험이 끝나구 결과와 상관없이 도움 받고 싶으면 편하게 글올려주세요.
|
|
| 1410 |
rank연산을 통한 벡터의 단순화
|
edga** |
2023-01-11 |
| 글제목 |
rank연산을 통한 벡터의 단순화 |
| 작성자 |
edga** |
등록일 |
2023-01-11 |
|
pg.276의 기출유형 1번과 같이 일차결합에서 좌표벡터를 구할떄는 벡터를 단순화 시켜서 연산하면 안되나요? pg.270의 기출유형2번에서 한것처럼요. |
|
| └ |
답변입니다. |
anamso** |
2023-01-12 |
| 글제목 |
답변입니다. |
| 작성자 |
anamso** |
등록일 |
2023-01-12 |
|
좌표는 단순화(rank)하면 안됩니다.
주어진 문제는 a,b,c를 쓰라고 강요되어있고 보기에도 a,b,c를 쓰게끔 강요되어있죠.
그래서 단순화하면 안됩니다.
예를 들어,
(2,2)을
(1,0), (0,2) 로 좌표화하면 (2,1) 이죠.
하지만 단순화한 (1,0), (0,1) 로 좌표화하면 (2,2) 이죠.
처음부터 기준을 (1,0), (0,2)로 강요했기에 랭크연산으로 단순화하면 안됩니다. |
|
| 1409 |
교재 pg.268, 271
|
edga** |
2023-01-11 |
| 글제목 |
교재 pg.268, 271 |
| 작성자 |
edga** |
등록일 |
2023-01-11 |
|
기출유형1의 (다)보기에서 <(1,1,0),(2,0,1)>이 왜 공간이 되는건지 모르겠습니다. 벡터 두 개를 내적했다는 표현아닌가요?
그리고 유형학습1번의 4번 선지에서 3X3크기의 모든 대칭행렬이 공간이 되는 이유도 궁금합니다.
추가로

|
|
| └ |
답변입니다. |
anamso** |
2023-01-12 |
| 글제목 |
답변입니다. |
| 작성자 |
anamso** |
등록일 |
2023-01-12 |
|
뒤에 공간에서 정확히 배워요!
L(a,b,c)=(a-b,a+b+c,b-c) 관계인데요.
이 뜻은 점 a,b,c를 집어넣었는데 새로운 점 a-b,a+b+c,b-c 가 나왔는데
이를 행렬로 표현은 단순합니다. 단지 a,b,c 앞에 계수를 차례대로 쓰면 돼요.
a-b 는 1,-1,0 a+b+c는 1,1,1 b-c는 0,1,-1
이걸 가로로 쓰면 해설 행렬이 만들어집니다.
이를 나중에 A 행렬로 표현하구요.
실제로 행렬A와 (a,b,c)를 곱하면(a-b,a+b+c,b-c)가 나옵니다. |
|
| 1408 |
2강 곱셈 공식과 인수분해 A5번 문제 질문
|
skanrow** |
2023-01-10 |
| 글제목 |
2강 곱셈 공식과 인수분해 A5번 문제 질문 |
| 작성자 |
skanrow** |
등록일 |
2023-01-10 |
|
질문이 있습니다.
A5번 문제에서 첫번째(x^2 - 2x -1 = 0) 식에 1/x를 곱하는 이유나 기준이 있을까요? |
|
| └ |
답변입니다. |
anamso** |
2023-01-11 |
| 글제목 |
답변입니다. |
| 작성자 |
anamso** |
등록일 |
2023-01-11 |
|
뭔가 뜬금없이 1/x 곱하니 어색하죠?
주어진 x^3-1/x^3 을 곱셈공식 a^3-b^3 을 쓰면
(x-1/x)만 알면 답이 나와요.
그런데 주어진 식은
x^2-2x-1=0 인데 여기에 마침 1/x 을하면
x-2-1/x=0 이고 x-1/x=2 가 나온다는 걸 알 수 있죠.
사실 처음에 이걸 눈치채는 걸 힘듭니다. 한번 틀리고 기억해야하죠.
그래도 이 문제 유형은 고1 과정에서 정말 자주 보는 유형이에요.
아마 기억이 나진 않지만 분명 이런 문제를 고등학교 때 풀어봤을거에요.
까먹었다면 지금 풀고 이 문제에 대한 기억 1스택 쌓고 가면 됩니다. |
|
| 1407 |
교재 32쪽 유형 1번
|
dbswl6** |
2023-01-09 |
| 글제목 |
교재 32쪽 유형 1번 |
| 작성자 |
dbswl6** |
등록일 |
2023-01-09 |
|
33분 23초 강의에서 이강휘 교수님께서 (x+1)/2 를 미분하면 1/2가 된다고 하셨는데 왜 분모에 2가 그대로 있나요? 상수는 미분하면 0이 되는 게 아닌가요? |
|
| └ |
답변입니다. |
anamso** |
2023-01-10 |
| 글제목 |
답변입니다. |
| 작성자 |
anamso** |
등록일 |
2023-01-10 |
|
상수 미분하면 0 맞아요!
(x+1)/2를 풀면 1/2x+1/2 인데요. 여기서 뒤에 1/2은 0이 되고
x를 미분하면 1이라 1/2되는 것입니다! |
|
| 1406 |
이번에 중앙대 시험 보고왔습니다
|
jjh04** |
2023-01-09 |
| 글제목 |
이번에 중앙대 시험 보고왔습니다 |
| 작성자 |
jjh04** |
등록일 |
2023-01-09 |
|
이번에 시럼 보고왔는데 제가 느끼기로는 5개년중 제일 어려웠었는데 객관적으로 어려웠을까요..? 컷이.. 내려갈까요? 학원에서는 학생들 분위기나 시험 난이도를 즉각적으로 들으실수 있을것 같아서 질문드립니다
|
|
| └ |
중앙대 |
anamso** |
2023-01-09 |
| 글제목 |
중앙대 |
| 작성자 |
anamso** |
등록일 |
2023-01-09 |
|
중앙대 이번에 어려웠습니다.
물론 제가 현장 수험생이 느낀 난이도를 그대로 느끼긴 힘들지만.
건대수학 2개 틀리고 다른 시험에서 불평불만 없도 수험생도 중앙대보고 좌절했다고 했을 정도니까요.
중앙대 보고 서강대시험이 천사처럼 보였다고 하니.. ㄷ ㄷ
이번에 한양대 성대 TO도 많아서 중앙대는 컷이 많이 내려갈 거에요.
얼마나 기본 문제를 실수 없이 풀고 나머지 문제를 잘 찍었느냐가 핵심이 될 거 같아요. 그 어느 때보다 기도메타가 되는 상황입니다. |
|
| 1405 |
질문
|
ipsin** |
2023-01-05 |
| 글제목 |
질문 |
| 작성자 |
ipsin** |
등록일 |
2023-01-05 |
|

|
|
| └ |
답변입니다! |
anamso** |
2023-01-07 |
| 글제목 |
답변입니다! |
| 작성자 |
anamso** |
등록일 |
2023-01-07 |
|
함수의 크기 정의 자체가 root(f(x)^2)=f(x) 입니다.
벡터의 크기와는 정의 자체가 달라요.
왜 그런지는, 왜 그렇게 쓰이는지는, 더 깊은 공부를 하셔야 합니다.
우리가 왜 (a,b,c)를 a+bx+cx^2 으로 더 이해하지 않는 것처럼요 |
|
| 1404 |
행계수와 열계수
|
edga** |
2023-01-05 |
| 글제목 |
행계수와 열계수 |
| 작성자 |
edga** |
등록일 |
2023-01-05 |
|

|
|
| └ |
답변입니다! |
anamso** |
2023-01-05 |
| 글제목 |
답변입니다! |
| 작성자 |
anamso** |
등록일 |
2023-01-05 |
|
rank의 한국말이 계수입니다...이상하죠? ㅠ ...
행랭크와 열랭크 구하며됩니다.
람고로 행랭크 열랭크 같습니다. |
|
| 1403 |
인하대 급합니다.
|
ipsin** |
2023-01-05 |
| 글제목 |
인하대 급합니다. |
| 작성자 |
ipsin** |
등록일 |
2023-01-05 |
|
교수님이 올려주신 강의를 봤는데 6번 해설 하시는 내용이 이해가 안돼서 재질문드려봅니다.
ㅇ |
|
| └ |
답변입니다! |
anamso** |
2023-01-05 |
| 글제목 |
답변입니다! |
| 작성자 |
anamso** |
등록일 |
2023-01-05 |
|
2+root2sin세타 모양이 저런 원이 아니에요.
그래프는 아마 하트 비슷한 모양입니다.
다만 sin만 있어서 영상에서 설명한대로 y축 대칭이니 오른쪽 pi/2~-pi/2 와 왼쪽 pi/2 ~ 3pi/2이 같은 값이라
pi/2~-pi/2 하고 x2하면 됩니다. |
|
| 1402 |
급해요..ㅠ 중대이번시험
|
ipsin** |
2023-01-05 |
| 글제목 |
급해요..ㅠ 중대이번시험 |
| 작성자 |
ipsin** |
등록일 |
2023-01-05 |
|
여기서 흔한 방정식이라는게 무슨 말인가요?? 답변해주신거보니까 sin2x=0이라는데 실수하신거겠죠?? sin2x 값이 0이 안되어야 합니다. 흔한 방정식은 0이 안나온다는데 그러면 안 흔한 방정식은 뭔가요? 그러면 이때 안흔한방정식은 0이 되는건가요?
일단 제가 정리해본게 x값은 정의해 줄 수 있는게 아니라고 하셧으니까 sin2x가 x를 전체적으로 본다면 이게 0이 되는 유한한 x값 특정값에서만 0이 되니까 정의해줄 수 없어서 결국 행렬식은 0은 아니다. 이렇게 정리하고 넘어갈까요?
그리고 마지막 한 질문은 중대 5개년을 돌려보니까 종속과 독립 판단문제를 2문제가 있어서 재질문한 이 문제도 그렇고 저번에도 올렸었는데 애초에 일대응대응으로 실수배해서 독립과 종속 판단을 할 수 있지 않나요? 물론 벡터 하나하나마다 독립이냐 종속이냐하면 랭크나 행렬식을 이용해서 써야되지만 물어보고 있는게 전체적으로 봤을때 전체적으로 독립이냐 종속이냐를 물어본 것이잖아요. 전체적으로!! 전체적으로 독립이면 모든 벡터가 다 독립이고 종속이면 비록 전체적으로는 다 종속이지만 그 세부적인 것까지는 다 종속이 아니다 독립도 있다라고 분명히 정규수업에서 말씀해주신 기억이 납니다. 그렇게해서 일대일 대응으로 실수배해서 판단했을 때 종속이라면 전체적으로 종속이니까 그렇게 빠르게 판단하면 되는거 아닌가요? 막 랭크나 행렬식으로 이용하는 것보다요! 만약 실수배를 했는데 독립이 나왔다면 빠르게 다른 방법을 이용해서 해야 되겠지만요. |
|
| └ |
답변입니다! |
anamso** |
2023-01-05 |
| 글제목 |
답변입니다! |
| 작성자 |
anamso** |
등록일 |
2023-01-05 |
|
sin2x=0 이 될 수 있다 판단한게 x=pi 집어넣으면 0 이라고 판단한 것이지요?
이걸 마치 방정식이나 함수 f(x)라 생각하고 x에 어떤 특정값을 집어넣은 것인데 그렇게 할 수 없다는 말입니다.
아래 저번에 설명한대로 풀었으니 참고하세요.
랭크가 안되니 선대교재 p.274에 나온 독립종속 정의로 풀어야합니다.
이게 싫으면 론스키안으로 하는 법이 있구요.

|
|
| 1401 |
18한양23번
|
ipsin** |
2023-01-05 |
| 글제목 |
18한양23번 |
| 작성자 |
ipsin** |
등록일 |
2023-01-05 |
|

|
|
| └ |
답변입니다! |
anamso** |
2023-01-05 |
| 글제목 |
답변입니다! |
| 작성자 |
anamso** |
등록일 |
2023-01-05 |
|
부분적분할 때 말릴 거 같아요.
tanhx=sinhx/coshx 이고 coshx 미분하면 sinhx 이니
tanhx 적분하면 lncoshx 입니다. |
|
| 1400 |
21년 동국대 16번
|
dlatnqls9** |
2023-01-04 |
| 글제목 |
21년 동국대 16번 |
| 작성자 |
dlatnqls9** |
등록일 |
2023-01-04 |
|
스톡스 정리로 풀어야하는 것같아서 풀어봤는데, 뭔가 이상한 것같아서 교수님께 질문드립니다ㅠㅠ 스톡스 정리로 푸는게 맞는 걸까요? 그리고 가능하시다면 풀이과정 부탁드리겠습니다. 
|
|
| └ |
답변입니다! |
anamso** |
2023-01-05 |
| 글제목 |
답변입니다! |
| 작성자 |
anamso** |
등록일 |
2023-01-05 |
|
항상 스톡스일 때 스톡스 안 쓰고 선적분으로 풀 수 있을까 고민해보세요?! 
|
|