| 1474 |
p252 유형학습2번 문제
|
dbswl6** |
2023-05-17 |
| 글제목 |
p252 유형학습2번 문제 |
| 작성자 |
dbswl6** |
등록일 |
2023-05-17 |
|
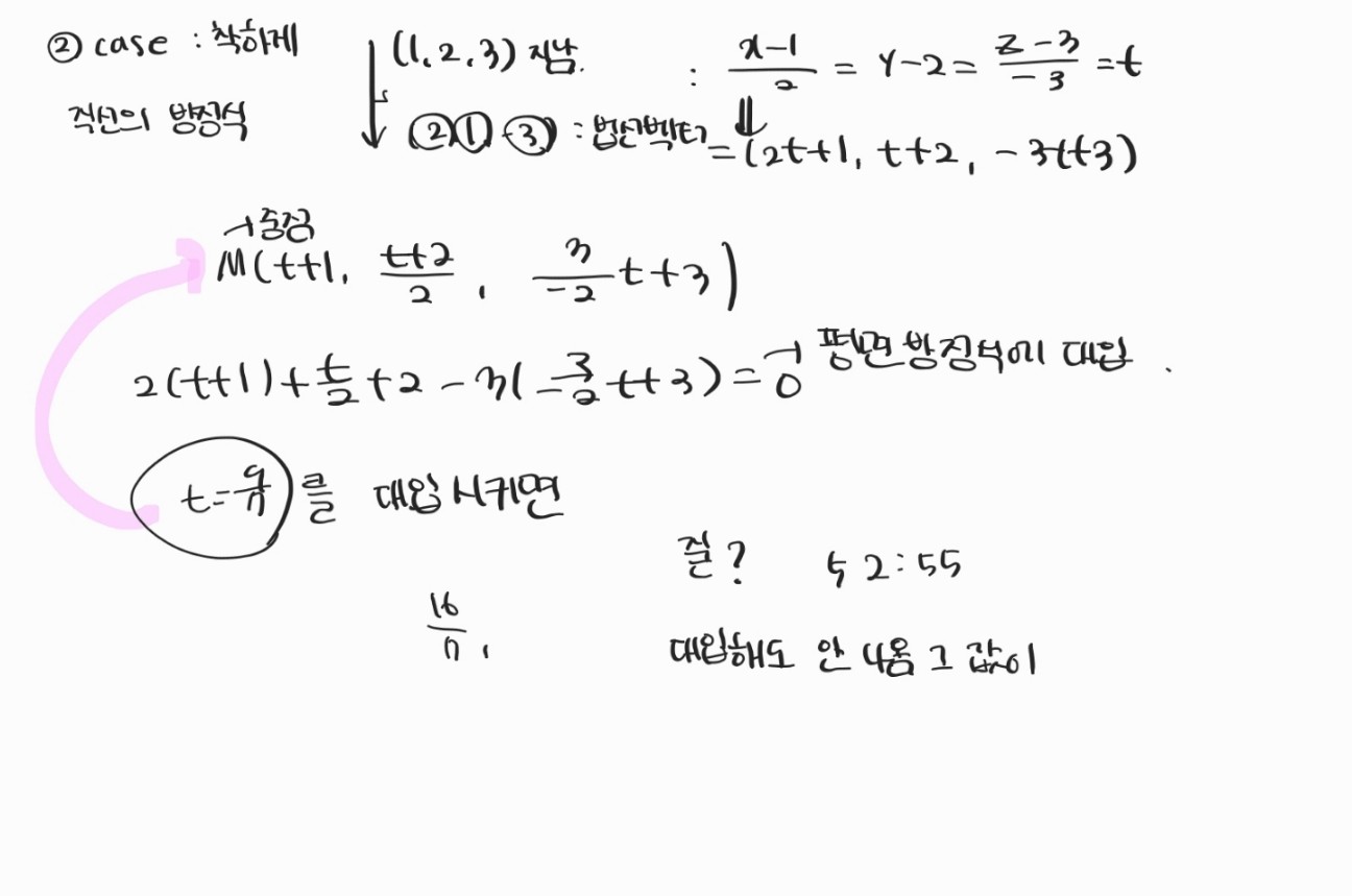
9강 52분 55초에서 t=9/7인 것 까지는 이해가 가는데 교수님께서 t값을 M(t+!. t+2/2, -3/2t+3)의 식에 대입하면 값이 2번으로 나온다고 하셨는데 그렇게 나오지 않아서 궁금해서 질문 드립니다ㅠㅠ 
|
|
| └ |
계산 실수! |
anamso** |
2023-05-18 |
| 글제목 |
계산 실수! |
| 작성자 |
anamso** |
등록일 |
2023-05-18 |
|
빨간색 친부분 계산 실수를 했어요.
참고로 평소 실수를 자주 하는 경우, 푼 과정을 리셋하고 다시 푸는 습관이 필요합니다.
이게 본인이 푼 걸 계속 풀면 실수가 정말 안 보입니다.

|
|
| 1473 |
문제응용독해1- ch6) 내용추론 p.81 4번 문제 질문
|
bkb0212** |
2023-05-17 |
| 글제목 |
문제응용독해1- ch6) 내용추론 p.81 4번 문제 질문 |
| 작성자 |
bkb0212** |
등록일 |
2023-05-17 |
|
안녕하세요~!
문제를 풀다가 궁금한 점이 있어서 질문 남깁니다. 티켓 가격이 합리적이어야한다는 점에서 저는 reasonable priced를 골랐는데 강의에서 싸게라는 뜻을 가진건 reasonably라고 설명하시고 넘어가서요... reasonable이 안되는 이유가 뭘까요?
+ 답변 감사합니다 (__) 다시 보니 그러네요..~! |
|
| └ |
답변입니다 |
jk6** |
2023-05-18 |
| 글제목 |
답변입니다 |
| 작성자 |
jk6** |
등록일 |
2023-05-18 |
|
분사인 priced를 수식해야 하므로 부사인 reasonably가 되어야 합니다.
헛! 깜빡 놓친거지요? ^^
그럼, 계속 열공~! |
|
| 1472 |
다음 수강 과목을 정하기가 고민됩니다
|
tidlsl12** |
2023-05-15 |
| 글제목 |
다음 수강 과목을 정하기가 고민됩니다 |
| 작성자 |
tidlsl12** |
등록일 |
2023-05-15 |
|
안녕하세요 강의를 처음 듣고 선생님의 수업을 들으려 마음을 먹었습니다. 이 강의도 머리에 쏙쏙 들어와 기억도 다시 잘나고 너무 잘 들었습니다. 이 강의가 끝난 후에 선생님의 또 다른 강의를 들으려 하는데 어떤 것을 들어야할지 커리큘럼을 잘 모르겠어서 선생님께 여쭤봅니다! 항상 감사합니다 제 목표는 경희대인데 실례가 안된다면 주로 공부해야 할 것들이나 팁같은 조언 부탁드리겠습니다! |
|
| └ |
답변입니다. |
anamso** |
2023-05-16 |
| 글제목 |
답변입니다. |
| 작성자 |
anamso** |
등록일 |
2023-05-16 |
|
안녕하세요!
극한-미분학1 적분학1 선형대수 무한급수 중적분 공업수학 순으로 들으시면 됩니다!
해커스 교재가 내용이 많고 무거워서 다 하려고 하지말고 수업에서 말했던 내용 위주과 진도 우선으로 빠르게 뺴주세요.
진도를 다 빼시고 학교별로 맞춤 복습하시면 됩니다.
경희대 경우 문제가 깔끔하게 전반적으로 나옵니다. 물론 작년에 출제경향이 조금 바껴서 학생들이 당혹스럽긴 했어요. 당장 그런 것은 신경쓰지 마시고, 학교별 맞춤 학습은 일단 전체적인 진도를 다 뺴고 다시 재복습할 때 다시 하면 됩니다. 그 때쯤 제가 게시판을 통해 직접 조언 드리기도 할 겁니다. 질문도 자주 하시면 좋습니다 :)
|
|
| 1471 |
기본독해와 이론독해
|
mina17** |
2023-05-15 |
| 글제목 |
기본독해와 이론독해 |
| 작성자 |
mina17** |
등록일 |
2023-05-15 |
|
최근부터 기본독해를 시작해서 하고 있는데, 솔직히 다른 사람들보다 조금 늦은 감이 있는 거 같아서 질문 드립니다. 지금 이 시점에서 기본독해와 이론독해는 각각 언제까지 끝내는 게 좋나요? 8-9월부터는 기출 들어가는 걸로 아는데, 이 정도 스피드면 9월까지 이론독해까지 못 끝낼 거 같아서 걱정입니다.
|
|
| └ |
답변입니다 |
jk6** |
2023-05-15 |
| 글제목 |
답변입니다 |
| 작성자 |
jk6** |
등록일 |
2023-05-15 |
|
상대적으로 본다면, 지금 기본 독해를 시작하는 것은 늦은 걸 수도 있고 아닐 수도 있습니다.
만약, 지금까지 다른 영어 공부라도 계속 하고 있었던 상태라면 늦은게 아니고, 그렇지 않고 지금 시점에 구문 분석이 제대로 안 되어서 문자의 정확한 해석조차 안된다면 늦은게 맞지요.
기본 독해 과정은 일단 정확한 해석 실력을 향상하는 구문 분석에 중점을 둔 과정입니다. 구문이 안되면 아무리 늦었어도 건너 뛰어서는 절대로 안되는 과정이죠. 사실 기본이 잡혀있지 않은 많은 학생들이 중요성을 간과하고 교재의 수준이 별로 높지 않은 것을 보고 그냥 지나쳐서 결국 실패하게 됩니다. 교재의 지문 난이도가 낮은 것은 문제 풀이에 중점을 맞춘 교재가 아니라 구문 분석에 중점을 맞춘 것이란 걸 잊지 마세요.
이론 독해는 그야말로, 지문을 빨리 읽고 문제를 푸는 독해의 시작 입니다. 이제야 슬슬 지문의 난이도가 편입과 비슷해지기 시작하지요. 따라서 구문 실력이 갖추어져 있다면 여기서 부터 열심히 공부해 나가셔도 됩니다.
기출은 9월부터 아니, 10월 부터 풀어도 늦지는 않습니다. 하지만 구문 실력을 갖추지 않고 진도에만 급급하면 모래성 쌓기가 되어 나중에 11월 이후에 무너지기 쉽습니다. 언제까지 무엇을 보다는, 각 과정에서 본인이 무슨 실력을 갖추어야 할 지가 더 중요합니다.
너무 걱정을 많이 하지 말고, 매일 매일을 최선을 다하세요. 무엇을 공부하든 계획과 걱정을 하는 시간에 그냥 공부를 하는 것이 도움이 된다는 점 명심하고요. 건투를 빕니다!! |
|
| 1470 |
효율적인 복습 방법
|
mina17** |
2023-05-12 |
| 글제목 |
효율적인 복습 방법 |
| 작성자 |
mina17** |
등록일 |
2023-05-12 |
|
독해 복습은 공부했던 것 중에 틀린 것과 어려운 지문들만 다시 보면 되나요? 다시 보는 것도 언제 언제 보는 게 좋나요? 어떤식으로 복습해야 효율적으로 공부할 수 있는지 궁금합니다.
|
|
| └ |
답변입니다 |
jk6** |
2023-05-12 |
| 글제목 |
답변입니다 |
| 작성자 |
jk6** |
등록일 |
2023-05-12 |
|
효율적인 독해 복습 방법이 궁금하지요?
여기서 효율이란 시간 대비 학습 효과를 말하는 것입니다. 즉, 최소한의 시간을 들여서 최대한의 학습 효과를 얻는 방법이요.
복습은 강의 직후에 하는 것이 가장 효과가 좋습니다. 방금 수업을 들으면서, 이해되는 부분과 그렇지 않은 부분이 가장 잘 기억에 남아 있을 때지요. 이때, 잘 이해가 안 되는 부분만 다시 보면 됩니다. 어려운 부분이라도 수업 시간에 이해가 되었다면 굳이 시간을 더 들일 필요가 없습니다.
내용은 주로 구문과 관련된 부분을 복습하는 데, 가능하면 이해가 될 때까지 백지에다 문장을 다시 써 가면서 하세요. 구문은 눈으로만 복습하면 효과가 크진 않습니다.
단어와 지문의 내용은 사실 한 번 더 본다고 실력이 많이 좋아지고 그러지는 않습니다. 단어는 복습이 중요한 것이고, 지문의 내용은 아무리 추상적이고 어렵더라도 일단 한글로 수업을 듣고 나면, 더이상 영어로 해석하는 두뇌의 부분이 활성화되지 않기 때문입니다.
그리고, 이렇게 복습에 들이는 시간을 최소화해서 번 시간은 어디에 써야 할까요? 바로 예습에 써야 합니다. 예습과 복습의 시간 배분이 7:3 정도가 될 만큼 실력 향상엔 예습이 필수적입니다. 꼭 예습하고, 그러면서 잘 안되었던 부분을 집중적으로 수업으로 채워야 하는 것이죠.
방법을 알았으면, 이제 실제로 실행에 옮겨야 합니다!. 제일 중요한 건~~~ 하는 것! 이니까요.
|
|
| 1469 |
구문독해 바이블 교재
|
mina17** |
2023-05-12 |
| 글제목 |
구문독해 바이블 교재 |
| 작성자 |
mina17** |
등록일 |
2023-05-12 |
|
구문독해 바이블 교재가 유인물로 되어있는 거 같은데, 자료는 어디서 구해야 하나요? 학습자료실에는 따로 없는 거 같아서 질문드립니다. |
|
| └ |
답변입니다 |
jk6** |
2023-05-12 |
| 글제목 |
답변입니다 |
| 작성자 |
jk6** |
등록일 |
2023-05-12 |
|
관리자 입니다.
해당 강의 자료는 1강에 pdf 화일로 업로드 되어 있습니다.
감사합니다. |
|
| 1468 |
p249 유형학습1
|
jasmh** |
2023-05-11 |
| 글제목 |
p249 유형학습1 |
| 작성자 |
jasmh** |
등록일 |
2023-05-11 |
|
같은거리에 있는 평면의 방정식을 찾는거면 2x+4y+8z에 (2,-1,1)과 (3,1,5)를 대입했을 때 같은 값이 나와야하는거 아닌가요..? 그리고 1번 뿐만 아니라 2,3,4번 모두에 (2,-1,1)과 (3,1,5)를 대입했을 때 두 값이 서로 다릅니다. 
|
|
| └ |
답변입니다. |
anamso** |
2023-05-12 |
| 글제목 |
답변입니다. |
| 작성자 |
anamso** |
등록일 |
2023-05-12 |
|
같은 거리에 있는 것 점과 2x+4y+8z 식에 집어 넣은 것이 같을 이유가 없습니다.
(2,-1,1)과 (3,1,5)는 평면 2x+4y+8z=29 에 속한 점이 아니기 때문입니다.
(1,0) 과 (0,1)은 y=x과 같은 거리에 있지만 보기 표현처럼 x-y=0 으로 바꾸고 x-y 에 (1,0) (0,1)이 같은 값이 안 나오는 이치랑 같습니다.
다만 값의 부호는 평면 혹은 직선보다 위에 있는지 아래 있는지 정도는 체크할 수 있습니다.
|
|
| 1467 |
강의 듣다가 궁금한 내용이 생겼습니당
|
dlwjddls77** |
2023-05-03 |
| 글제목 |
강의 듣다가 궁금한 내용이 생겼습니당 |
| 작성자 |
dlwjddls77** |
등록일 |
2023-05-03 |
|
기본이론 독해 83쪽에 있는 문장인
problems led to the United States and Russian scientists working on Mir together.
이 문장에서 동명사의 의미상 주어가 사람, 인칭대명사면 소유격으로 쓰고 사물이나 부정대명사면 목적격으로 쓴다고 알고있는데 왜 과학자들이 목적격으로 쓰였는지 궁금해요,,ㅠㅠ |
|
| └ |
답변입니다 |
jk6** |
2023-05-06 |
| 글제목 |
답변입니다 |
| 작성자 |
jk6** |
등록일 |
2023-05-06 |
|
답변이 초큼 늦었습니당! ^^;
좋은 질문입니다. 결론부터 말하자면, 인칭대명사 제외하고는 요즘엔 거의 목적격으로 씁니다.
동명사의 의미상 주어로 파악한 것이 아주 잘 한 것입니다. 앞으로도 동명사의 의미상 주어로 인칭대명사 빼고 다 목적격으로 쓰는 예문들을 계속 만나게 될 것입니다. 그 때마다, 오늘의 질문과 대답이 기억나겠지요? ^^
그럼, 계속 열공~~~!! |
|
| 1466 |
학습방법 질문입니다
|
bbc03** |
2023-04-27 |
| 글제목 |
학습방법 질문입니다 |
| 작성자 |
bbc03** |
등록일 |
2023-04-27 |
|
안녕하세요 교수님, 저는 교수님의 수업을 듣는 학생입니다. 제가 현재까지 천일문 기본과 어휘끝 고등 기본까지 독학으로 하다가 교수님 수업을 듣고 있는데요, 지금 5월달이라 제가 기본을 듣는게 좋을지 문제풀이랑 같이 해야할지 고민입니다. 기본만 듣는게 좋을까요 문제풀이도 같이 하는게 좋을까요? 수능 점수는 그렇게 좋진 않았습니다. 수업을 들어봤었는데, 몇몇 단어를 모르는것 빼고는 교수님과 비슷하게 해석을 하고 있습니다. 답변 부탁드립니다! |
|
| └ |
답변입니다 |
jk6** |
2023-04-28 |
| 글제목 |
답변입니다 |
| 작성자 |
jk6** |
등록일 |
2023-04-28 |
|
천일문 기본과 어휘끝은 다 끝냈는지가 우선 궁금하네요. 그리고, 저와 비슷하게 해석을 하고 있다고 했는데, 엄밀히 말하자면 비슷하게 해석하는 것과 같은 수준으로 해석하는 것은 다를 가능성이 매우 큽니다. 일단 수능 점수가 그렇게 좋지 않았다는 것은, 기본에 충실할 필요가 있다고 봅니다. 여기서 기본이란, 문장의 해석부터 정확히 하는 실력을 의미합니다. 그래서, 제가 추천드리는 것은, 만약 천일문과 어휘끝을 다 끝내지 않은 상태라면 그것부터 일단 다 끝내고, 동시에 문제풀이도 할 시간이 난나면, 매우 좋겠지만, 만약 시간이 안 난나면 기본에만 집중하는게 좋을 듯 합니다. 현재 5월이라 마음이 급한건 매우 공감합니다. 하지만 바쁠수록 돌아가라는 말이 있지요? 기본이 안 된 상태에서 문제풀이는 어쩌면 시간 낭비가 될 수 있습니다. 문제풀이는, 일단 해석이 제대로 되야 의미있는 것이기 때문입니다. 기본만 탄탄하다면, 문제풀이는 7월부터 해도 결코 늦지 않습니다. 8월까지 기본에 충실하다 9월부터 문제풀이해서 고득점을 얻는 학생들도 많습니다. 그만큼 기본이 중요합니다!!!! 그리고, 질문을 하지는 않았지만, 노파심에 말씀드리자면, 기본 실력에는 '어휘'실력이 반 이상을 차지 한다는 것 명심하세요! 5월이지만, 만약 어휘 실력이 뛰어나지 않는다면, 현재 시간의 많은 부분을 어휘 암기에 투자해야 합니다. 그래야 나중에 문제풀이를 해도 전혀 문제가 없게 됩니다. 제게 조언을 구했으니, 제 말 명심하시고, 잘 따라오셨으면 좋겠습니다!!! |
|
| 1465 |
p101 유형학습 1번
|
dbswl6** |
2023-04-12 |
| 글제목 |
p101 유형학습 1번 |
| 작성자 |
dbswl6** |
등록일 |
2023-04-12 |
|
저 위에 있는 식이 왜 저렇게 되는 거죠?? 왜 2n이 붙나요? 대각선끼리 곱하고 빼는 것 아닌가요?? 
|
|
| └ |
답변드립니다. |
anamso** |
2023-04-14 |
| 글제목 |
답변드립니다. |
| 작성자 |
anamso** |
등록일 |
2023-04-14 |
|
시스템 문제로 답변이 좀 늦었네요. 미안합니다. 흑흑 ㅠ
행렬식을 구하는 게 아니에요! 행렬식이라 착각한 거 같네요.
문제에서 1행2열 원소를 an이라고 규정햇습니다.
1행 2열의 위치에 2n이 있고 행렬 전체 계수가 1/(2)^n이니 둘이 곱하면 해설에 나온 모양이 됩니다.
|
|
| 1464 |
10강 1시간 15분 50초
|
ujin11** |
2023-04-08 |
| 글제목 |
10강 1시간 15분 50초 |
| 작성자 |
ujin11** |
등록일 |
2023-04-08 |
|
x범위가 1 √(x-2)²가 가장 커봤자 2여서 마이너스가 된다는 게 어떤 원리인지 이해가 안가서 질문 드립니다 ㅠㅠ |
|
| └ |
답변드립니다. |
anamso** |
2023-04-14 |
| 글제목 |
답변드립니다. |
| 작성자 |
anamso** |
등록일 |
2023-04-14 |
|
시스템 문제로 답변을 너무 늦게 달아서 정말 미안해요.ㅠ
일단
√(x)^2 = |x| 와 같은 표현이란 거 아시죠? 필수 암기사항입니다.
그리고 |x| 안에 있는 x가 양수이면 x 음수이면 -x가 됩니다
사실 |-3|=3 인 이유는 -3이 음수이라 -(-3)=3 이 됩니다.
√(x-2)²=|x-2| 이고 x가 2보다 클 수 없으니 x-2는 음수입니다.
그러므로 -(x-2)가 되고 2-x가 됩니다.
x=2를 직접 집어넣어서 확인하면 3이 나옵니다!
|
|
| 1463 |
역행렬
|
jasmh** |
2023-04-07 |
| 글제목 |
역행렬 |
| 작성자 |
jasmh** |
등록일 |
2023-04-07 |
|

해커스책에 있는 문제는 아니지만 역행렬 풀다가 질문드립니다. k배해서 0으로 만드는 방법으로도 안 풀리고 sarrus법칙으로 풀려고 해도 너무 복잡하던데 어떻게 접근해야하나요?
|
|
| └ |
답변입니다. |
anamso** |
2023-04-08 |
| 글제목 |
답변입니다. |
| 작성자 |
anamso** |
등록일 |
2023-04-08 |
|
이런 문제 유형은 문제를 만든 사람이 방법을 미리 정해놓고 만든 문제에요.
별다른 접근법이 있다기보다 답을 먼저 보지 않고서야 자연스럽게 풀 수가 없습니다.
적어도 제가 가지고 있는 감으로는요.
다만 객관식이라면 a=b=c=1 집어 넣는식으로 어찌하든 답은 낼 수 있을 겁니다.
그게 아니라면 사루수법칙으로 일일히 전개하는 수 밖에 없습니다.
참고로 a=b=c=1 집어넣으니 54가 나오는데, 결과식도 굉장히 복잡한 표현이겠네요.
|
|
| 1462 |
편입 준비를 일찍 시작했는데
|
tjdwns46** |
2023-04-01 |
| 글제목 |
편입 준비를 일찍 시작했는데 |
| 작성자 |
tjdwns46** |
등록일 |
2023-04-01 |
|
안녕하세요 이강휘 선생님 편입준비를 일찍 시작해서 선생님 강의를(미분학1, 적분학1, 미분적분학2, 선형대수) 전부 수강완료했는데요. 선형대수 강의에서 말씀하신것처럼 기출문제 풀면 7~80프로는 풀 수 있을것같아서 목표인 한양대의 기출문제를 뽑아서 풀어봤는데 절반정도밖에 안풀리네요... 올해 하반기부터는 현강도 다닐 생각인데 앞으로 공부를 어떻게 하면 좋을까요? |
|
| └ |
와우 |
anamso** |
2023-04-03 |
| 글제목 |
와우 |
| 작성자 |
anamso** |
등록일 |
2023-04-03 |
|
지금 한양대 기출을 절반 정도 푼 거면 정말 잘 푼 거에요!
걱정하지말고, 한양대 최소 5개년을 계속 반복해서 풀면 됩니다.
지금부터라면 거의 문제를 외우다시피할 정도 가능하겠네요.
풀면서 비슷한 문제 유형을 책에서 찾아서 반복적으로 연습하면 정말 생각보다 쉽게 한양대 붙을 수 있어요!
그리고 한양대는 1차는 영어수학 50대50 이라 영어도 중요합니다. 면접에서는 다시 수학에 가중치가 붙구요.
|
|
| 1461 |
강의 내용 질문드립니다!
|
seonhee0212** |
2023-03-31 |
| 글제목 |
강의 내용 질문드립니다! |
| 작성자 |
seonhee0212** |
등록일 |
2023-03-31 |
|
| 기본독해 4강 24분 11초에 though가 부사라고하면 형용사 두개가 접속사 없이 연결 되어있는데 형용사는 접속사(or 콤마)없이 병치가 되나요?
though가 종속(위)접속사라고 생각하면 뒤에 주어와 동사가 나와야하는데 주어, 동사도 없으니까 등위접속사로 쓰인건가요? |
|
| └ |
답변입니다~! |
jk6** |
2023-03-31 |
| 글제목 |
답변입니다~! |
| 작성자 |
jk6** |
등록일 |
2023-03-31 |
|
선희 학생이 한 질문을 좀 더 정확히 풀어서 답변 드립니다.
먼저, 형용사 두 개가 and 나 콤마 없이 병치가 됩니다!!! 예) He is a handsome old man. 다음, 형용사 두 개가 and 없이 콤마로 병치가 됩니다. 예) He is a handsome, old man.
그리고, though는 등위 접속사가 아예 없습니다. 부사절 종속 접속사만 있지요.
참고로 등위접속사는 다음의 7가지가 있다고 배웠지요? and, or, nor, but, so, yet, for
문법에서 배운 지식들을 활용하려고 노력하는 모습이 보입니다. 좋은 학습 태도입니다. ^^
그런데, 질문 내용을 보면 제가 강의에서 강조했던, 등위 접속사와 병치(병렬구조)의 차이에 대해 잊어버린 것 같습니다.
문법에서 말하는 것과 다른 방식으로, 보다 명확하게 이해하는 방식으로 둘의 차이를 제 구문 강의와 입문 강의에서 설명했었지요? 그 부분을 다시 한 번 보면서 문법에서 말하는 것과 어떻게 다른 지 숙고해 본다면, 보다 정확하고 쉽게 이해할 수 있을 겁니다.
그럼, 계속해서 열공! 응원합니다.
|
|
| 1460 |
군복무하면서 편입 준비중인 공대생입니다
|
dldbsgud1** |
2023-03-30 |
| 글제목 |
군복무하면서 편입 준비중인 공대생입니다 |
| 작성자 |
dldbsgud1** |
등록일 |
2023-03-30 |
|
| 안녕하세요 강휘 선생님.
현역 공병으로 복무하면서 편입 수학 강의 잘 듣고 있습니다.
제가 23년 1월부터 편입 준비중이며 목표 학과는 동일계학과(현 강원대 건축공학 재학 중)이고 목표 학교는 서울과기대 정도인데, 다른 비슷한 난이도의 학교가 어디인지 궁금해서 글 남깁니다. 또 과기대 정도 난이도면 제가 노력파인데 재능 없으면 합격이 어려운지도 궁금합니다..!
항상 열심히 하고 싶은데 코로나도 끝나 훈련도 많고 공병이라 빡세서 상황이 어려워 아쉬움이 크고 포기 할까 생각도 가끔 듭니다. ㅠㅠ 그래도 최선들 다해 남는 시간 동안 매일 강의 잘 듣고 있습니다. 선생님 감사합니다. |
|
| └ |
답변입니다. |
anamso** |
2023-04-01 |
| 글제목 |
답변입니다. |
| 작성자 |
anamso** |
등록일 |
2023-04-01 |
|
안녕하세요. 의외로 군복무하면서 강의를 듣는 학생이 많네요 ㅋㅋ
일단 알아야 할 것이 편입 난이도는 학교 난이도랑 상관이 크게 없습니다.
과기대는요.... 문제 난이도 자체로 따지면 서성한보다 비슷하거나 더 어려워요. ㅠ
문제가 많이 불합리하고 계산도 더럽고... 도무지 출제 교수의 의도를 모르겠는 문제가 나옵니다.
그렇다고 엄청 잘해야 붙는 건 아닙니다. 서성한 붙는 친구들은 당연 과기대 붙겠죠?
어차피 상대 평가니까요!
문제가 어려워도 같이 본 남들보다 한 두문제 더 맞춘다는 마인드로 똑같이 시험 보면 됩니다.
나중에 시험 직전에 과기대팁을 알려드릴테니, 과기대 난이도 너무 신경쓰지말고 쭉 준비하세요!
질문을 요약하자면,
1. 과기대랑 비슷한 문제 난이도의 학교 : 서강대/성대/한양대/중대
2. 재능을 어디까지 보냐에 따라 다르겠지만, 강원대 재학생 정도면 과기대는 충분히 가고 남는다!
3. 저도 건축공학 전공했습니다. 건설 회사에 다니기도 했고(힘들어서 퇴사했지만ㅜ) 힘내세요! |
|