| 1423 |
p 115쪽 예제 5번, 강좌 17강
|
dbswl6** |
2023-01-29 |
| 글제목 |
p 115쪽 예제 5번, 강좌 17강 |
| 작성자 |
dbswl6** |
등록일 |
2023-01-29 |
|
강의 17강입니다!! 8분 53초에 원의 반지름의 길이가 1이라고 하셔서 내접하는 삼각형 5, 4, 3에 각각 5로 나누어주셨습니다. 근데 반지름의 길이가 1이라는 내용이 아무리 찾아도 없는데 어디서 나온 것인가요??? |
|
| └ |
답변입니다. |
anamso** |
2023-01-30 |
| 글제목 |
답변입니다. |
| 작성자 |
anamso** |
등록일 |
2023-01-30 |
|
삼각함수의 정의 자체가 반지름이 1인 원의 좌표입니다. 이 내용은 삼각함수 할 때 설명을 했을거에요.
x^2+y^2=1 여기서 반지름 1이 빗변이 되고 x=cos@, y=sin@가 되지요. (아래 그림 참고)
다만, 예제5는 삼각비가 3,4,5 이고 여기서 빗변이 5인데. 이를 반지름 1짜리 원 안에 집어넣으려면
빗변이 1이 되야해서 나누기 5를 한 것입니다.
삼각함수를 반지름 1인 원 안에 표현하는 방법이 아직 익숙하지 않을텐데요.
걱정하지 않으셔도 앞으로 이런 유형의 문제를 원 안에 집어넣어서 많이 풀어드릴 꺼니 조금씩 적응하시면 좋겠습니다.
ps: 기초가의가 old/new 버전이 있는데 new 버전은 제가 따로 편집한 자료로 수업을 하니 복습을 하신다면 new버전으로 복습 추천해요. 문제랑 개념설명은 거의 같아서 금방 복습 가능합니다 :)

|
|
| 1422 |
pg.64 유형학습8
|
edga** |
2023-01-28 |
| 글제목 |
pg.64 유형학습8 |
| 작성자 |
edga** |
등록일 |
2023-01-28 |
|


|
|
| └ |
답변입니다! |
anamso** |
2023-01-28 |
| 글제목 |
답변입니다! |
| 작성자 |
anamso** |
등록일 |
2023-01-28 |
|
밑에 문제랑 같은 실수했는데요.
sinx=x로 두는 경우는 x가 0에 수렴할 때만입니다!
만약 x로 둘 수 있다면 x로 두고 구간구해도 답은 나올텐데, 수렴구간에서 그런 문제는 아직 본적이 없네요. |
|
| 1421 |
pg.44 유형학습2
|
edga** |
2023-01-28 |
| 글제목 |
pg.44 유형학습2 |
| 작성자 |
edga** |
등록일 |
2023-01-28 |
|

|
|
| └ |
답변입니다! |
anamso** |
2023-01-28 |
| 글제목 |
답변입니다! |
| 작성자 |
anamso** |
등록일 |
2023-01-28 |
|
자주 하는 실수인데요,
sinx를 x로 두는 경우는 x값이 0 으로 가야 합니다.
sin(n) 에서 n은 무한대로 가서 n으로 두고 소거할 수 없습니다.
라는 조금 까다로운 보기입니다.
라는 코시판정법과 관련이 있는데요. 같은 교재 p.35에 있어요.
코시반정법에서 (An)^(1/n) 의 값이 1보다 작은 경우 An이 수렴입니다.
하지만 1인 경우는 An이 수렴할 수도 아닐 수도 있죠. 중요한 건 아닌 경우가 분명 존재합니다.
아쉽게도 코시판정법의 반례는 직관적인 형태가 아니라 속쉬훤이 보여줄 수 가 없습니다.
아무튼, 1이하라고 해야하는데 1미만이라 해서 틀린 것입니다.
|
|
| 1420 |
pg.146 유형학습3
|
edga** |
2023-01-25 |
| 글제목 |
pg.146 유형학습3 |
| 작성자 |
edga** |
등록일 |
2023-01-25 |
|


|
|
| └ |
틀리지 않았씁니다. |
anamso** |
2023-01-27 |
| 글제목 |
틀리지 않았씁니다. |
| 작성자 |
anamso** |
등록일 |
2023-01-27 |
|
잘 계산했어요.
구한 1/5 -7/10-2/5-7/20 계산하면 -5/4 나옵니다.
그런데 해설은 왜 저러냐?
그것은.... 해설이 틀렸기 때문입니다. ㅠ
연립연산자 행렬 풀이를 계산기 없이 사용할 일이 없기에 대부분 잘 쓰지 못해요.
그래서 보통은 행렬을 전혀 쓰지 않고 처음부터 연립연산자로 풀 게 합니다.
|
|
| 1419 |
pg.57 유형학습1
|
edga** |
2023-01-23 |
| 글제목 |
pg.57 유형학습1 |
| 작성자 |
edga** |
등록일 |
2023-01-23 |
|

|
|
| └ |
답변입니다! |
anamso** |
2023-01-24 |
| 글제목 |
답변입니다! |
| 작성자 |
anamso** |
등록일 |
2023-01-24 |
|
이유는 없어요.
일단 첫번쨰로 해서 먹히니까 첫번째로 한 것 뿐입니다.
만약 첫번쨰로 해서 안되었다면 두번쨰걸 하고... 안되면 세번쨰걸..
그래서 적분인자 찾는 문제가 굉장히 번거롭습니다.
그래서 대부분은 첫번째에 나오던가
아니면 보기에 대놓고 밑에 성대 문제처럼 x,y라고 주기도 해요.
아예, 썡으로해서 x,y까지 경우는 드물어요.
그리고 적분인자 문제는 보통 주어진 보기에서 거꾸로 집어넣어서 답을 찾는 꼼수를 많이 씁니다. |
|
| 1418 |
pg29 기출유형2
|
edga** |
2023-01-22 |
| 글제목 |
pg29 기출유형2 |
| 작성자 |
edga** |
등록일 |
2023-01-22 |
|


|
|
| └ |
답변입니다! |
anamso** |
2023-01-24 |
| 글제목 |
답변입니다! |
| 작성자 |
anamso** |
등록일 |
2023-01-24 |
|
일반적으로 별로 걱정할 필요는 없는데요.
그래서 이 문제가 조금 짜증나는 문제 유형이에요..
저라도 시험장에서 답을 5라고 할 수 있을 거 같습니다.
틀리고서야 아 조심해야하는구나, 라고 깨닫는 거죠.
그래서 변수분리 미방 문제는 앞으로 좀 조심을 해야해요.
조건을 체크해서 부호를 체크해줘야합니다.
|
|
| 1417 |
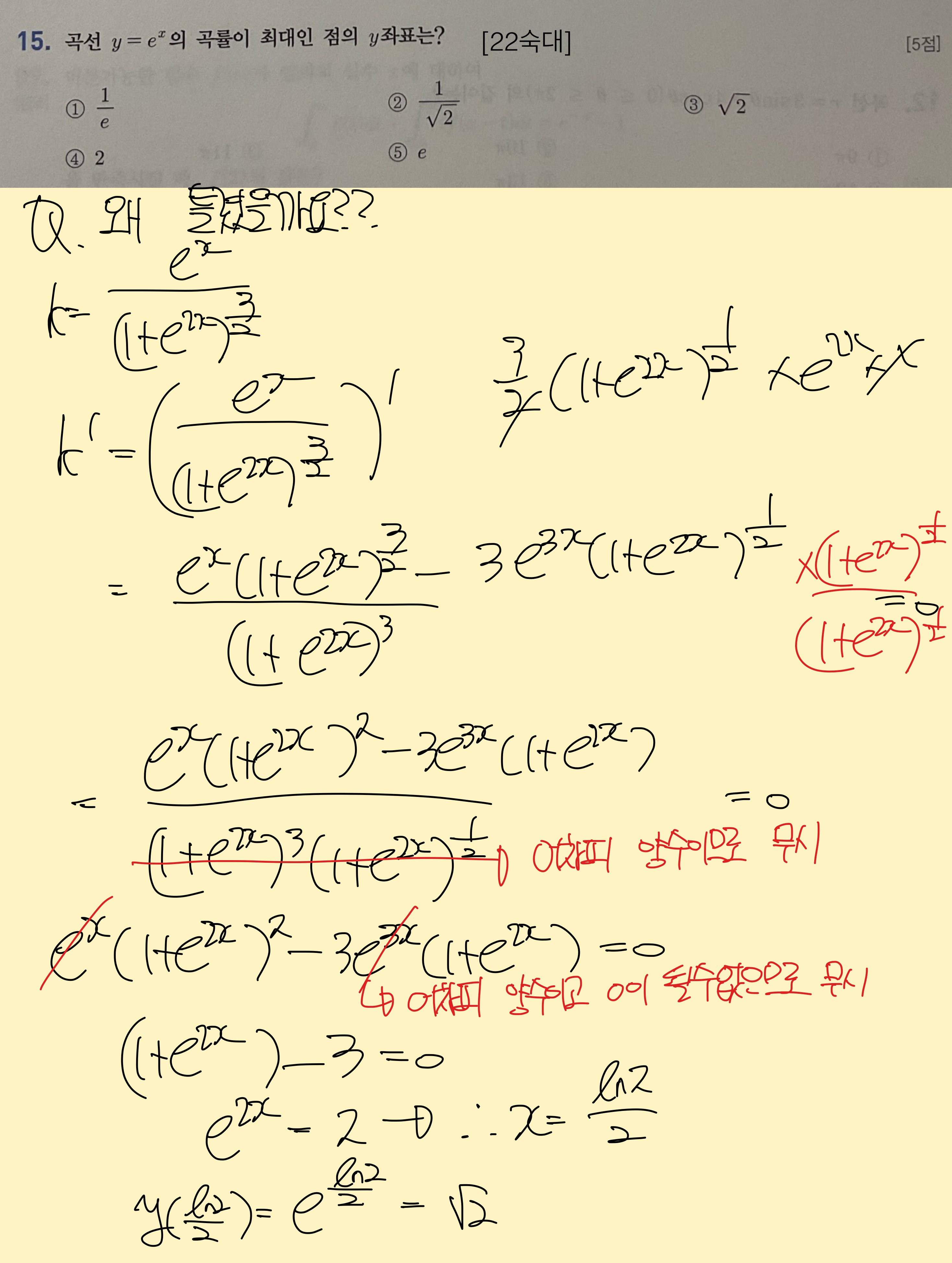
학습에 있어서 질문이 있습니다.
|
dnjsqls13** |
2023-01-22 |
| 글제목 |
학습에 있어서 질문이 있습니다. |
| 작성자 |
dnjsqls13** |
등록일 |
2023-01-22 |
|
선생님 안녕하세요. 전문대 기계과를 올 해 2학년 졸업 후 24년 국민대학교 자동차학과로 편입을 준비하는 대학생입니다.
선생님의 강의로 편입수학을 준비하게된지 3개월 정도 흘렀습니다. 그 동안 고등기초수학,빠르게 정리하는 기초 미적분 과정을 완강하고 미분학1-극한 파트를 현재 듣고 있습니다. 유형학습의 문항을 풀 때는 물 흐르듯 잘 풀리는데 단원이 끝나고 바로 다음장에 있는 출제예상문제를 스스로 모두 풀어보면 60문제 중 정답률이 20퍼센트 밖에 나오지않습니다 ㅠㅠ 선생님의 수업을 듣고 제 스스로가 이해를 못 한 이유 때문일까요..? 선생님께서 추천하시는 학습방법과 국민대를 입학을 위해 꼭 풀어야할 문항유형들 알려주시면 대단히 감사하겠습니다..!
새해 복 많이 받으세요 :)
|
|
| └ |
답변입니다! |
anamso** |
2023-01-24 |
| 글제목 |
답변입니다! |
| 작성자 |
anamso** |
등록일 |
2023-01-24 |
|
이제 막 작년 편입시험이 끝나가고 있는데 벌써 3개월차리 굳굳
다만 너무 빡세게하면 나중에 지칠 수 있으니 슬럼프 올 정도로 열심히는 하지마요 ㅋㅋ
일단 당연히 혼자 다른 문제 풀면 정답률 20퍼대 나옵니다. 다른 학생도 보통 그래요.
이유는
1. 뒷 부분을 배우지 않아서 이게 뒷 부분, 미분학1 내용 그리고 적분학, 심지어 미적분2 까지 한바퀴 돌려야 온전히 다 보이고 쉽게 풀리는 문제들이 많아요. 그래서 아직 뒷내용을 하지 않아서 당장 문제가 굉장히 생소해보여서 접근이 잘 안될 겁니다. 그래서 수업 할 때 말하겠지만, 일단 답답하더라도 진도를 빨리 끝내는 게 우선이다. 진도를 빨리 끝내고 다시 돌아와서 보면 쉽게 보인다. 라고 말합니다.
2. 처음 본 문제들이라 지금은 처음 본 문제라 접근법을 새로 생각해야하는 어려움이 있습니다. 하지만 보통 이런 문제는 계속 돌고 돌거든요. 처음에 생소하지만 나중에 그 문제를 보면 익숙해지고, 심지어는 답까지 외우는 경우도 있습니다. 그래서 반복해서 풀면 분면 쉬워질거에요. 처음 풀면 다 어렵습니다.
3. 진짜 어려운 문제.. 해커스 문제 중에 상위권 적힌 거 있죠? 혹은 한양대/중앙대 문제. 이런 문제 정말 어렵습니다. 실제로 시험장에서 일부로 풀지 않고 넘기는 문제도 있어요. 그래서 지금은 굳이 상위권 문제를 풀지는 마세요.
국민대. 다행히 국민대 문제는 크게 어렵지 않아요. 딱 제가 수업 때 풀어드리는 문제 정도 혹은 그 이하 난이도입니다. 일단 진도 위주로, 수업 때 푼 문제로 복습을 하세요. 그리고 진도를 다 빼면 국민대 기출만 따로 풀고 시험장 들어가면 됩니다. |
|
| 1416 |
2강 예제 2번 문제 질문있습니다.
|
protagon1** |
2023-01-17 |
| 글제목 |
2강 예제 2번 문제 질문있습니다. |
| 작성자 |
protagon1** |
등록일 |
2023-01-17 |
|
로피탈 정리에 의해 lim x->0 4^x-e^2x/tan2x는 lim x->0 4^xln4-2e^2x/2sec^2 2x가 된다는건 이해를 했습니다. 그 다음에 x에 0을 대입하면 분자는 2ln2-2e^2가 되어 분모 2와 약분하면 된다는건 이해했는데, lim x->0 sec^2 2x는 어떻게 계산해야 할지 모르겠습니다! |
|
| └ |
답변입니다! |
anamso** |
2023-01-17 |
| 글제목 |
답변입니다! |
| 작성자 |
anamso** |
등록일 |
2023-01-17 |
|
secx는 1/cosx 입니다.
sec^2(2x) 는 1/cos^2(2x) 일텐데 x 가 0 으로 가면 그냥 cos^2(0) 이고 cos0은 1이죠
그래서 간단히 1이 됩니다 ! |
|
| 1415 |
이차형식 주축형으로 변환시 회전각 구할때
|
edga** |
2023-01-17 |
| 글제목 |
이차형식 주축형으로 변환시 회전각 구할때 |
| 작성자 |
edga** |
등록일 |
2023-01-17 |
|


|
|
| └ |
답변입니다! |
anamso** |
2023-01-18 |
| 글제목 |
답변입니다! |
| 작성자 |
anamso** |
등록일 |
2023-01-18 |
|
일단 꼭 첫번쨰 원소를 음수가 되게 할 필요 없어요,
음수도 되고 양수도 됩니다.
그래서 정확히는 +-pi/6 입니다.
그래서 +인지 -인지를 물어본게 아니라 단지 각을 물어본 것이에요.
이게 왜 그런 것이냐면
해설에 하단에 그림에 나와있다시피 주축을 반시계로 돌릴지 시계로 돌릴지의 차이에요.
쉽게 x^2/a^2+y^2/b^2=1 인지 x^2/b^2+y^2/a^2=1 인지의 차이죠.
만약 정확히 이 두 식을 구분하고 싶다면...
x^TP 연산을 해서
x'=root3/2x+1/2y y'=1/2x-root3/2y 를 직접 원본 식에 집어 넣고 푸는 방법이 있는데..
너무 복잡해서 그거까지 진짜 시키는 문제는 아직 출제되지 않았습니다.
|
|
| 1414 |
질문
|
ipsin** |
2023-01-16 |
| 글제목 |
질문 |
| 작성자 |
ipsin** |
등록일 |
2023-01-16 |
|

|
|
| └ |
답변입니다! |
anamso** |
2023-01-17 |
| 글제목 |
답변입니다! |
| 작성자 |
anamso** |
등록일 |
2023-01-17 |
|
e^x 와 e^3x를 동시에 지울 순 없습니다.
지운다는 것은 한쪽으로 통분해서 1/e^x 곱해서 지우는 개념인데
e^x 와 e^3x 는 같지 않으니 동시에 지우지 못합니다.
a-3b 가 1-3 이 되진 않잖아요. |
|
| 1413 |
질문
|
ipsin** |
2023-01-16 |
| 글제목 |
질문 |
| 작성자 |
ipsin** |
등록일 |
2023-01-16 |
|

|
|
| └ |
부분적분 |
anamso** |
2023-01-17 |
| 글제목 |
부분적분 |
| 작성자 |
anamso** |
등록일 |
2023-01-17 |
|
저 식이 왜 나온지는 저도 이해가 되진 않고.
둘이 역함수라 같은 넓이라 어차피 0 입니다.
아래 그림 참조

|
|
| 1412 |
질문
|
ipsin** |
2023-01-16 |
| 글제목 |
질문 |
| 작성자 |
ipsin** |
등록일 |
2023-01-16 |
|

|
|
| └ |
답변입니다! |
anamso** |
2023-01-17 |
| 글제목 |
답변입니다! |
| 작성자 |
anamso** |
등록일 |
2023-01-17 |
|
너무 힘들게 푸는군요.
물론 분수 함수 일 때 그렇게 푸는 게 적성이나
제가 수업 때 변수 늘어나면 차라리 안푸는 게 낫다고 말했지요.
그렇게 풀어선 안되고..
일단 특이하게 유리함수라는 조건이 붙었네요.
조건이 붙었다면 그냥 그 조건에 맞게 끼워맞추면 됩니다. 아래처럼.

|
|
| 1411 |
삼각함수 적분공식 유형28
|
dbswl6** |
2023-01-16 |
| 글제목 |
삼각함수 적분공식 유형28 |
| 작성자 |
dbswl6** |
등록일 |
2023-01-16 |
|
5~78번 공식까지 외워야 하나요?!! 
|
|
| └ |
답변입니다! |
anamso** |
2023-01-17 |
| 글제목 |
답변입니다! |
| 작성자 |
anamso** |
등록일 |
2023-01-17 |
|
8번만 왜우시면 됩니다! 8번도 당장 너무 열심히 외울 필요 없고
나중에 적분1할 때 자연스럽게 외우게 될 거에요. |
|
| 1410 |
질문
|
ipsin** |
2023-01-14 |
| 글제목 |
질문 |
| 작성자 |
ipsin** |
등록일 |
2023-01-14 |
|

|
|
| └ |
답변입니다! |
anamso** |
2023-01-14 |
| 글제목 |
답변입니다! |
| 작성자 |
anamso** |
등록일 |
2023-01-14 |
|
에고 풀이 이미지 올리는 걸 깜빡했네요.
다시 올릴게요!
극좌표 풀기엔 주어진 식이 복잡해서 그냥 푸는 시도를 해야합니다.

|
|
| 1409 |
질문
|
ipsin** |
2023-01-13 |
| 글제목 |
질문 |
| 작성자 |
ipsin** |
등록일 |
2023-01-13 |
|

면적분이라서 ds를 root(fx^2+fy^2+1)dxdy로 바꿔주고 z^2=4-y^2이니까 z=root(4-y^2)이고 이걸 x로 편미분해서 제곱 y로 편미분해서 제곱 그리고 1을 더하면 root(fx^2+fy^2+1)dxdy이 되고 이걸 극좌표로 바꿔줘서 풀어야 되는거 아닌가요? 뭔가 이렇게 풀려고 하니까 더 안풀리는 것 같은 매직에 빠져서 질문드려봅니다.
cf. 중앙대 너무 한 것 아닙니까 10개정도밖에 못풀었네요..ㅎㅎㅋ 아직도 기억나는게 성대도 그렇고 중대?도 그렇고 미방멱급수해법의 수렴반경? 이 문제 나온 것 같은데 어떻게 푸나요? 또 연립미방도 1계나와있는것만 풀어왔는데 이번에 중대 2계연립미방이 나온것보고.. 응? 제 눈이 잘못됐나 싶어서 자세하게 보니까 1계 연립이 아니어서 처음 본 유형이라서 찍고 찍은게 너무 많았네요. 개인적으로는 이번 공수1 문제가 론스키안, 변수분리, 1계미방, 코시오일러방정식 유형인 아는 문제도 있었지만 모르는 유형도 있었습니다. 또 뭔가 약간 트릭도 줬어요. 공수2 tan3i? 문제 그거 하나만 풀고 나머지는 다 3으로 찍은 것 같아요.. 21번앞까지도 모르는 문제가 많거나 뭔가 잘 안풀려서요.. 즉, 어느 한 문제도 가볍지가 않았어요. 계산이 엄청 더러웠다고 해야하나요. 시험 주관하시는 관계자분들은 아주 친절하셨는데 시험 문제는 전혀 친절하지가 않았네요.. 가장 가고 싶었던 학교였는데.. 아쉽게 됐네요. |
|
| └ |
답변입니다! |
anamso** |
2023-01-14 |
| 글제목 |
답변입니다! |
| 작성자 |
anamso** |
등록일 |
2023-01-14 |
|
그렇게 푸는게 일반적으로 맞지만 보다시피 식이 너무 복잡해져서 계산 불능입니다.
무엇보다 밀도식에 cosy가 문제인데.. 이게 없어졌으면 좋겠는데 어차피 x가 -1부터 1 적분이라 y적분과 상관없이 지워질 운명입니다. 이걸 눈치채는게 핵심이었습니다. 빠르게 눈치 채기 쉽지는 않았겠네요.
중대...이번에 경희대도 그렇고 아주대도 그렇고 성대도 그렇고...
편입 문제가 정말 산으로 가는 거 같네요. 정말 서강대가 이제 천사로 보일 정도.
중대 시험 문제는 정말 중대수학과 대학원생이 봐도 떨어질 거 같은데요...
그런데 이럴수록 푼 10문제의 정확도와
나머지 잘 찍기.. 기도메타 시험이 되겠습니다... 다 지금 똑같이 기도하는 상황이에요..
이번에 건대 수학 2개 틀린 에이스도 중대 시험보고 이건 내가 잘해서 붙을 시험이 아니다라고 말했을 정도니까요.
|
|