선생님께질문하기

번호 제목 작성자 날짜
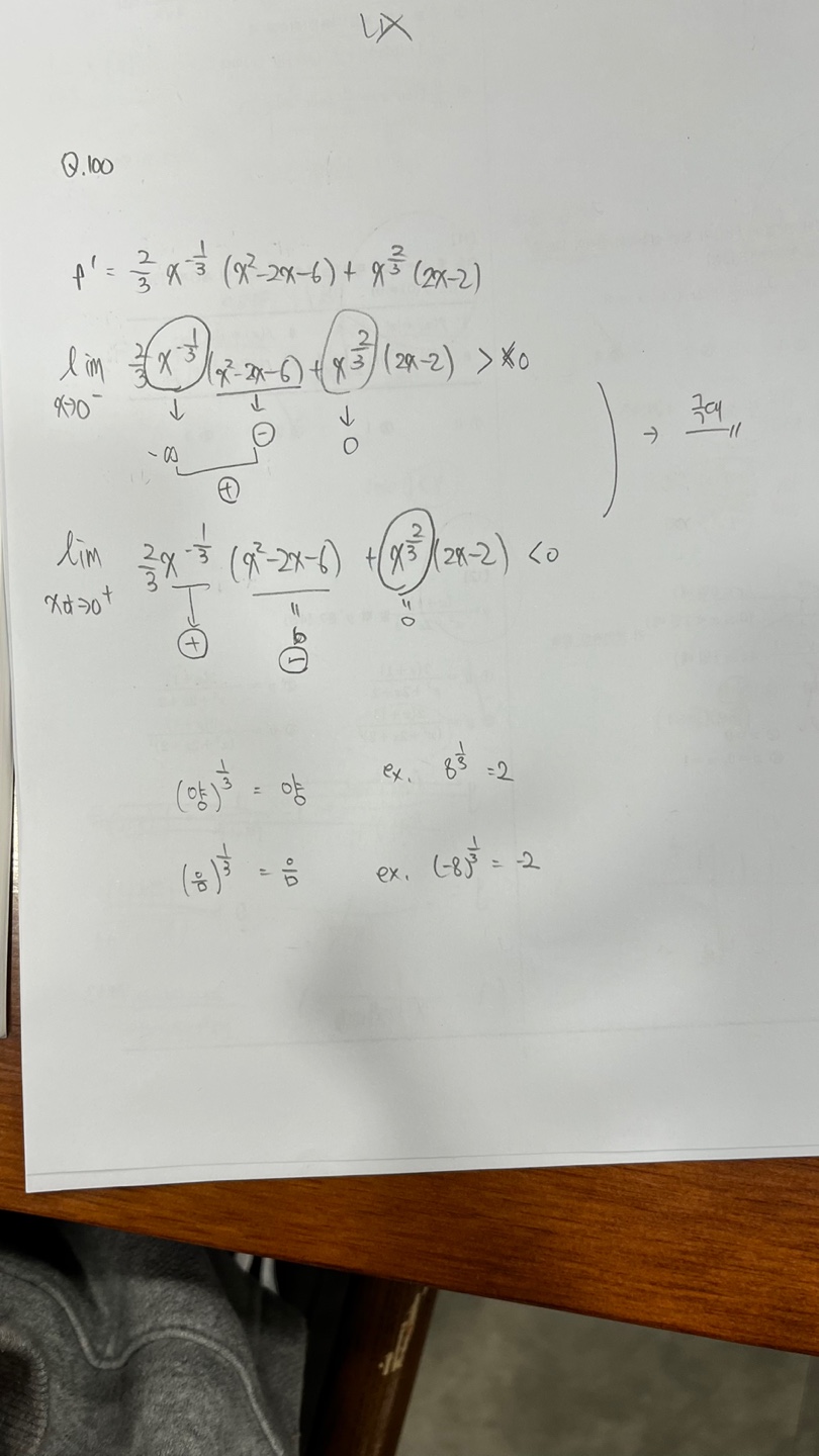
182 8페이지 예제 7,8번 gusxo39** 2022-03-18
답변드립니다. sh_h** 2022-03-18
181 미분 1 WT1 질문있습니다. ssn24** 2022-03-17
답변드립니다. sh_h** 2022-03-18
180 적분 1 3번입니다. ssn24** 2022-03-17
답변드립니다. sh_h** 2022-03-17
179 미분 1 - 156번 질문 있습니다. kkt01198** 2022-03-16
답변드립니다. sh_h** 2022-03-16
178 허성현T 인강수업 복습시스템 gusxo39** 2022-03-14
답변드립니다. sh_h** 2022-03-15
177 미분 1 154, 155, 156, 159번입니다. ssn24** 2022-03-14
답변드립니다. sh_h** 2022-03-15
176 미분 1 128, 129번 강의 내용 궁금증입니다. ssn24** 2022-03-13
답변드립니다. sh_h** 2022-03-14
175 미분 1 121, 149번입니다. ssn24** 2022-03-13
답변드립니다. sh_h** 2022-03-13
174 5-11 hhh05** 2022-03-12
답변드립니다. sh_h** 2022-03-12
173 미분1 107번입니다. ssn24** 2022-03-12
답변드립니다. sh_h** 2022-03-12
172 p.63 변곡점 sb12** 2022-03-12
답변드립니다. sh_h** 2022-03-12
171 sinhx와 x의 교점 sb12** 2022-03-12
답변드립니다. sh_h** 2022-03-12
170 미적분 1 99번입니다. ssn24** 2022-03-11
답변드립니다. sh_h** 2022-03-11
169 미적분 1 100번입니다. ssn24** 2022-03-11
답변드립니다. sh_h** 2022-03-11
168 미적분 1 35, 81번입니다. ssn24** 2022-03-11
답변드립니다. sh_h** 2022-03-11
   191   192   193   194   195   196   197   198   199   200   

위로

에러 x

비밀글을 열람할 권한이 없습니다.